• 文献检索
  • 文档翻译
  • 深度研究
  • 学术资讯
  • Suppr Zotero 插件Zotero 插件
  • 邀请有礼
  • 套餐&价格
  • 历史记录
应用&插件
Suppr Zotero 插件Zotero 插件浏览器插件Mac 客户端Windows 客户端微信小程序
定价
高级版会员购买积分包购买API积分包
服务
文献检索文档翻译深度研究API 文档MCP 服务
关于我们
关于 Suppr公司介绍联系我们用户协议隐私条款
关注我们

Suppr 超能文献

核心技术专利:CN118964589B侵权必究
粤ICP备2023148730 号-1Suppr @ 2026

文献检索

告别复杂PubMed语法,用中文像聊天一样搜索,搜遍4000万医学文献。AI智能推荐,让科研检索更轻松。

立即免费搜索

文件翻译

保留排版,准确专业,支持PDF/Word/PPT等文件格式,支持 12+语言互译。

免费翻译文档

深度研究

AI帮你快速写综述,25分钟生成高质量综述,智能提取关键信息,辅助科研写作。

立即免费体验

新生儿喂养评估工具-母乳喂养(NeoEAT-母乳喂养)土耳其语版本的心理测量特性。

Psychometric properties of the Turkish version of the neonatal eating assessment tool-breastfeeding (NeoEAT-Breastfeeding).

作者信息

Gözen Duygu, Aykanat Girgin Burcu, Pados Britt, Çarikçi Fatma, Kul Yağmur

机构信息

Koç University School of Nursing, Istanbul, Türkiye.

Hamidiye Faculty of Nursing, University of Health Sciences, Istanbul, Türkiye.

出版信息

BMC Nurs. 2025 May 7;24(1):496. doi: 10.1186/s12912-025-03120-x.

DOI:10.1186/s12912-025-03120-x
PMID:40336052
原文链接:https://pmc.ncbi.nlm.nih.gov/articles/PMC12057221/
Abstract

BACKGROUND

Literature reports indicate that breastfeeding is often ended earlier than planned, within the first 6 months. Assessment tools can help nursing professionals identify early breastfeeding problems to identify interventions to support families in meeting their breastfeeding goals. Here we present our analyses of the validity/reliability of the Neonatal Eating Assessment Tool (NeoEAT)-Breastfeeding adapted to the Turkish language for use in post-discharge infants in Türkiye.

METHODS

A Turkish version of the NeoEAT-Breastfeeding was created and applied to 310 mothers of term and preterm infants (corrected age < 7 months) between June 2023 and April 2024. Validity and reliability were assessed using Cronbach's α coefficients, exploratory/confirmatory factor analysis, and item-total correlation, test-retest, and known-groups analysis.

RESULTS

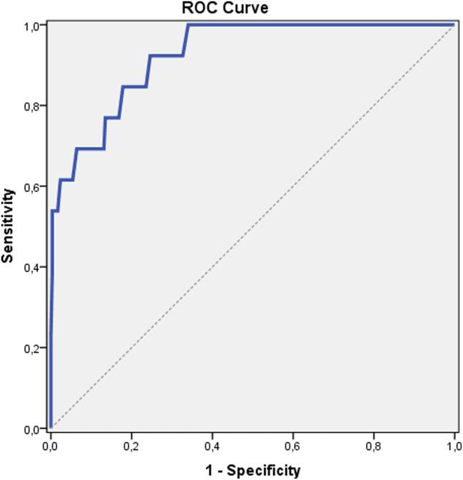
The Turkish NeoEAT-Breastfeeding includes 59 items in 6 factors with 48.047% total explained variance. Exploratory factor analysis indicated that item factor loadings ranged from 0.314 to 0.788. Known-group analysis confirmed that infants with diagnosed feeding problems had higher total and subscale scores than those without (P < 0.05). The Cronbach's α coefficient was 0.87. Item-total correlations were sufficient (0.302-0.753; P < 0.01). There was excellent agreement between test values and retest values obtained after a two-week interval (intraclass correlation coefficients = 0.904-1.000).

CONCLUSION

The Turkish NeoEAT-Breastfeeding was shown to be a reliable and valid parent-reported measure of feeding problems in breastfed infants younger than 7 months of corrected age after discharge.

摘要

背景

文献报告表明,母乳喂养往往比计划提前结束,通常在出生后的前6个月内。评估工具可以帮助护理专业人员识别早期母乳喂养问题,以便确定干预措施,帮助家庭实现母乳喂养目标。在此,我们展示了对新生儿进食评估工具(NeoEAT)-母乳喂养的有效性/可靠性分析,该工具已改编为土耳其语,用于土耳其出院后的婴儿。

方法

创建了土耳其语版的NeoEAT-母乳喂养工具,并于2023年6月至2024年4月应用于310名足月儿和早产儿(矫正年龄<7个月)的母亲。使用克朗巴赫α系数、探索性/验证性因素分析、项目-总分相关性、重测法和已知组分析来评估有效性和可靠性。

结果

土耳其语版的NeoEAT-母乳喂养工具包括6个因素中的59个项目,总解释方差为48.047%。探索性因素分析表明,项目因素负荷范围为0.314至0.788。已知组分析证实,被诊断有喂养问题的婴儿的总分和子量表得分高于无喂养问题的婴儿(P<0.05)。克朗巴赫α系数为0.87。项目-总分相关性良好(0.302-至0.753;P<0.01)。两周间隔后获得的测试值和重测值之间具有极好的一致性(组内相关系数=0.904-1.000)。

结论

土耳其语版的NeoEAT-母乳喂养工具被证明是一种可靠且有效的家长报告的测量工具,可用于评估矫正年龄小于7个月的出院后母乳喂养婴儿的喂养问题。

https://cdn.ncbi.nlm.nih.gov/pmc/blobs/ae80/12057221/2cd9e2e43a7a/12912_2025_3120_Fig2_HTML.jpg
https://cdn.ncbi.nlm.nih.gov/pmc/blobs/ae80/12057221/2777df2ee9dd/12912_2025_3120_Fig1_HTML.jpg
https://cdn.ncbi.nlm.nih.gov/pmc/blobs/ae80/12057221/2cd9e2e43a7a/12912_2025_3120_Fig2_HTML.jpg
https://cdn.ncbi.nlm.nih.gov/pmc/blobs/ae80/12057221/2777df2ee9dd/12912_2025_3120_Fig1_HTML.jpg
https://cdn.ncbi.nlm.nih.gov/pmc/blobs/ae80/12057221/2cd9e2e43a7a/12912_2025_3120_Fig2_HTML.jpg

相似文献

1
Psychometric properties of the Turkish version of the neonatal eating assessment tool-breastfeeding (NeoEAT-Breastfeeding).新生儿喂养评估工具-母乳喂养(NeoEAT-母乳喂养)土耳其语版本的心理测量特性。
BMC Nurs. 2025 May 7;24(1):496. doi: 10.1186/s12912-025-03120-x.
2
Turkish adaptation of the Neonatal Eating Assessment Tool-Bottle-Feeding in preterm infants discharged to home.新生儿经口喂养评估工具-奶瓶喂养在早产儿出院回家中的土耳其适应性研究。
Turk J Med Sci. 2024 May 23;54(4):631-643. doi: 10.55730/1300-0144.5832. eCollection 2024.
3
Neonatal Eating Assessment Tool - Mixed Breastfeeding and Bottle-Feeding (NeoEAT - Mixed Feeding): factor analysis and psychometric properties.新生儿喂养评估工具 - 混合母乳喂养和奶瓶喂养(NeoEAT - 混合喂养):因素分析和心理测量特性
Matern Health Neonatol Perinatol. 2019 Jul 31;5:12. doi: 10.1186/s40748-019-0107-7. eCollection 2019.
4
Cross-Cultural Adaptation and Psychometric Evaluation of the Neonatal Eating Assessment Tool-Breastfeeding Into Tamil.新生儿进食评估工具-母乳喂养泰米尔文的跨文化调适和心理计量学评估。
J Obstet Gynecol Neonatal Nurs. 2022 Jul;51(4):450-460. doi: 10.1016/j.jogn.2022.03.005. Epub 2022 May 12.
5
Factor Structure and Psychometric Properties of the Neonatal Eating Assessment Tool-Breastfeeding.新生儿喂养评估工具-母乳喂养的因子结构和心理测量特性
J Obstet Gynecol Neonatal Nurs. 2018 May;47(3):396-414. doi: 10.1016/j.jogn.2018.02.014. Epub 2018 Apr 9.
6
Factor Structure and Psychometric Properties of the Neonatal Eating Assessment Tool-Bottle-Feeding (NeoEAT-Bottle-Feeding).新生儿喂养评估工具-奶瓶喂养版(NeoEAT-奶瓶喂养版)的因子结构和心理测量学特性
Adv Neonatal Care. 2018 Jun;18(3):232-242. doi: 10.1097/ANC.0000000000000494.
7
Factors associated with feeding problems in bottle-fed preterm infants: A descriptive cross-sectional study.瓶喂早产儿喂养问题的相关因素:一项描述性横断面研究。
Nutr Clin Pract. 2025 Apr 10. doi: 10.1002/ncp.11294.
8
The Neonatal Eating Assessment Tool: Development and Content Validation.新生儿进食评估工具:开发与内容效度验证
Neonatal Netw. 2017 Nov 1;36(6):359-367. doi: 10.1891/0730-0832.36.6.359.
9
Development, Psychometric Testing, and Reference Values of the Infant Eating Assessment Tool (InfantEAT).婴儿进食评估工具(InfantEAT)的开发、心理测量测试及参考值
Adv Neonatal Care. 2024 Feb 1;24(1):E2-E10. doi: 10.1097/ANC.0000000000001132. Epub 2024 Jan 5.
10
Validity and reliability of the Turkish version of the paternal breastfeeding self-efficacy scale - Short form for fathers.土耳其语版父亲母乳喂养自我效能量表简表(适用于父亲)的效度和信度
Midwifery. 2023 Jan;116:103513. doi: 10.1016/j.midw.2022.103513. Epub 2022 Oct 22.

本文引用的文献

1
Development, Psychometric Testing, and Reference Values of the Infant Eating Assessment Tool (InfantEAT).婴儿进食评估工具(InfantEAT)的开发、心理测量测试及参考值
Adv Neonatal Care. 2024 Feb 1;24(1):E2-E10. doi: 10.1097/ANC.0000000000001132. Epub 2024 Jan 5.
2
Breastfeeding and respiratory, ear and gastro-intestinal infections, in children, under the age of one year, admitted through the paediatric emergency departments of five hospitals.在五家医院的儿科急诊科就诊的一岁以下儿童的母乳喂养与呼吸道、耳部及胃肠道感染情况。
Front Pediatr. 2023 Feb 15;10:1053473. doi: 10.3389/fped.2022.1053473. eCollection 2022.
3
The Benefits of Breastfeeding on Child Intelligence, Behavior, and Executive Function: A Review of Recent Evidence.
母乳喂养对儿童智力、行为和执行功能的益处:近期证据综述。
Breastfeed Med. 2023 Mar;18(3):172-187. doi: 10.1089/bfm.2022.0192. Epub 2023 Feb 7.
4
Policy Statement: Breastfeeding and the Use of Human Milk.政策声明:母乳喂养与人类母乳的使用。
Pediatrics. 2022 Jul 1;150(1). doi: 10.1542/peds.2022-057988.
5
Associations of Maternal Milk Feeding With Neurodevelopmental Outcomes at 7 Years of Age in Former Preterm Infants.母乳喂养与早产儿 7 岁时神经发育结局的相关性研究。
JAMA Netw Open. 2022 Jul 1;5(7):e2221608. doi: 10.1001/jamanetworkopen.2022.21608.
6
Cross-Cultural Adaptation and Psychometric Evaluation of the Neonatal Eating Assessment Tool-Breastfeeding Into Tamil.新生儿进食评估工具-母乳喂养泰米尔文的跨文化调适和心理计量学评估。
J Obstet Gynecol Neonatal Nurs. 2022 Jul;51(4):450-460. doi: 10.1016/j.jogn.2022.03.005. Epub 2022 May 12.
7
Feeding Problems as an Indicator of Developmental Delay in Early Childhood.喂养问题作为幼儿发育迟缓的指标。
J Pediatr. 2022 Mar;242:184-191.e5. doi: 10.1016/j.jpeds.2021.11.010. Epub 2021 Nov 11.
8
Evaluation of Diagnostic Tests.诊断试验评价。
Methods Mol Biol. 2021;2249:319-333. doi: 10.1007/978-1-0716-1138-8_18.
9
Prevalence of problematic feeding in young children born prematurely: a meta-analysis.早产儿幼儿中存在问题性喂养的流行情况:一项荟萃分析。
BMC Pediatr. 2021 Mar 6;21(1):110. doi: 10.1186/s12887-021-02574-7.
10
Breastfeeding assessment tools for at-risk and malnourished infants aged under 6 months old: a systematic review.针对 6 个月以下、有风险和营养不良婴儿的母乳喂养评估工具:系统评价。
F1000Res. 2020 Nov 10;9:1310. doi: 10.12688/f1000research.24516.2. eCollection 2020.