Suppr超能文献

有效的吸入器技术教育是可以实现的——对五种吸入器装置错误的评估与比较。

Effective inhaler technique education is achievable - assessment and comparison of five inhaler devices errors.

作者信息

Marko Monika, Klimczak Magdalena, Sobczak Marharyta, Wojakiewicz Maciej, Dębowski Tomasz, Emeryk Andrzej, Pawliczak Rafał

机构信息

Department of Immunopathology, Faculty of Medicine, Division of Biomedical Science, Medical University of Lodz, Lodz, Poland.

Department of Pulmonary Rehabilitation, Lung Diseases Treatment and Rehabilitation Center in Lodz, Lodz, Poland.

出版信息

Front Pharmacol. 2025 Apr 24;16:1538283. doi: 10.3389/fphar.2025.1538283. eCollection 2025.

Abstract

OBJECTIVE

The study is based on a respiratory educational program aimed at training medical personnel to use inhalers correctly and educating patients on improving their inhalation skills.

METHODS

Adult patients with asthma were divided into groups according to the inhaler: Ellipta, Diskus, Cyclohaler, Pressurized metered-dose inhaler (pMDI), and Turbuhaler. Patients were assessed for inhalation skills and then educated by previously trained nurses. The results were collected in forms allowing the evaluation of the number of critical and other errors made by patients.

RESULTS

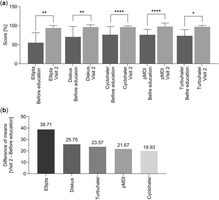
The number of errors during inhalers use decreased at subsequent visits after education. The number of critical errors was lower than other errors for each device before and after education. Statistically significant differences in the inhalation technique assessment (before education, visit 1, and visit 2) were shown for Cyclohaler and pMDI (p < 0.0001), Turbuhaler (p = 0.0014), Diskus (p = 0.0025) and Ellipta (p = 0.0091).

CONCLUSION

Before education, the least technical difficulties were observed for the Cyclohaler, while in the Ellipta group, patients made the most errors. Education resulted in equalizing the level of correctness of inhalation, which was similarly high for each type of device. This means that after education, all inhalers have similar difficulty levels in performing the correct inhalation technique. However, achieved improvement may be influenced by other factors such as practice effects or confounding variables due to real-life nature of the study.

摘要

目的

本研究基于一项呼吸教育项目,旨在培训医务人员正确使用吸入器,并教育患者提高其吸入技巧。

方法

成年哮喘患者根据所使用的吸入器分为不同组:椭圆型吸入器(Ellipta)组、都保装置(Diskus)组、环式吸入器(Cyclohaler)组、压力定量吸入器(pMDI)组和准纳器(Turbuhaler)组。对患者的吸入技巧进行评估,然后由先前受过培训的护士进行教育。结果通过表格收集,以便评估患者所犯的严重错误和其他错误的数量。

结果

教育后随访时,吸入器使用过程中的错误数量减少。对于每种装置,教育前后严重错误的数量均低于其他错误。环式吸入器和压力定量吸入器(p < 0.0001)、准纳器(p = 0.0014)、都保装置(p = 0.0025)和椭圆型吸入器(p = 0.0091)在吸入技术评估方面(教育前、第1次随访和第2次随访)显示出统计学上的显著差异。

结论

教育前,环式吸入器观察到的技术困难最少,而椭圆型吸入器组患者犯的错误最多。教育使吸入的正确程度趋于均衡,每种类型的装置都同样高。这意味着教育后,所有吸入器在执行正确吸入技术方面的困难程度相似。然而,所取得的改善可能受到其他因素的影响,如练习效应或由于研究的现实性质导致的混杂变量。

https://cdn.ncbi.nlm.nih.gov/pmc/blobs/7a4c/12058497/1c911ab28f74/fphar-16-1538283-g001.jpg

文献AI研究员

20分钟写一篇综述,助力文献阅读效率提升50倍。

立即体验

用中文搜PubMed

大模型驱动的PubMed中文搜索引擎

马上搜索

文档翻译

学术文献翻译模型,支持多种主流文档格式。

立即体验