Suppr超能文献

组织嗜酸性粒细胞水平作为伴鼻息肉慢性鼻-鼻窦炎控制、严重程度及复发的预测指标。

Tissue eosinophil level as a predictor of control, severity, and recurrence of Chronic Rhinosinusitis with Nasal Polyps.

作者信息

Vizcarra-Melgar Julissa, Sánchez-Gómez Serafín, López-González Nuria, Moreno-Luna Ramón, González-García Jaime, Maza-Solano Juan

机构信息

Department of Otorhinolaryngology and Head and Neck Surgery, Consorci Sanitari Integral, Sant Joan Despí Moisés Broggi Hospital, Barcelona, Spain.

Department of Surgery, University of Seville, Seville, Spain.

出版信息

Front Allergy. 2025 Apr 25;6:1549332. doi: 10.3389/falgy.2025.1549332. eCollection 2025.

Abstract

INTRODUCTION

The histopathologic study of nasal polyps establishes endotype features of chronic rhinosinusitis (CRS). A tissular eosinophil count greater than 10 per high power field (HPF) classifies this condition as type 2 inflammation. Blood and mucosal eosinophils are suggested as biomarkers of severity and control of CRS. Additionally, a tissular eosinophil count greater than 55 per HPF has been related to a high risk of recurrence in the Asian population. Our study aims to determine whether tissue eosinophil count is associated with the control, severity, and recurrence of Chronic Rhinosinusitis with Nasal Polyps (CRSwNP).

METHODS

An observational study of patients with CRSwNP who underwent nasal mucosa biopsy was conducted between June 2021 and November 2023. Histopathologic features, asthma control, CRSwNP control and severity according to the POLINA consensus, quality of life parameters, recurrence of CRSwNP, and laboratory markers were recorded and compared with the tissular eosinophil count.

RESULTS

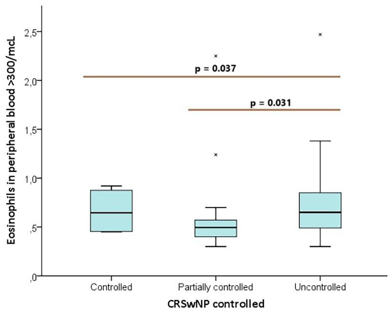
A total of 108 cases were included. The majority (70.4%) had concomitant asthma, with 31.5% of the cases having well-controlled disease. Most patients had uncontrolled (57.4%) and severe (62%) CRSwNP. Fifty-four cases underwent surgery and 43.5% experienced recurrence. More than half had a SNOT-22 score greater than 50 points. Eighty-one percent of patients had a tissular eosinophil count greater than 10 per HPF, and 60.2% had blood eosinophilia greater than . Blood eosinophilia was related to CRSwNP severity and control. No significant differences were found between tissue eosinophil count and the severity, control, and recurrence of CRSwNP.

CONCLUSION

Tissue eosinophil levels were not a marker of control, severity, and recurrence of CRSwNP in our data. Blood eosinophil levels, however, were a marker of CRSwNP control and severity.

摘要

引言

鼻息肉的组织病理学研究确定了慢性鼻-鼻窦炎(CRS)的内型特征。每高倍视野(HPF)组织嗜酸性粒细胞计数大于10将这种情况归类为2型炎症。血液和黏膜嗜酸性粒细胞被认为是CRS严重程度和控制情况的生物标志物。此外,每HPF组织嗜酸性粒细胞计数大于55与亚洲人群的高复发风险相关。我们的研究旨在确定组织嗜酸性粒细胞计数是否与伴鼻息肉的慢性鼻-鼻窦炎(CRSwNP)的控制、严重程度和复发有关。

方法

对2021年6月至2023年11月期间接受鼻黏膜活检的CRSwNP患者进行了一项观察性研究。记录组织病理学特征、哮喘控制情况、根据POLINA共识的CRSwNP控制和严重程度、生活质量参数、CRSwNP的复发情况以及实验室指标,并与组织嗜酸性粒细胞计数进行比较。

结果

共纳入108例病例。大多数(70.4%)伴有哮喘,其中31.5%的病例疾病控制良好。大多数患者的CRSwNP未得到控制(57.4%)且病情严重(62%)。54例患者接受了手术,43.5%经历了复发。超过一半的患者SNOT-22评分大于50分。81%的患者每HPF组织嗜酸性粒细胞计数大于10,60.2%的患者血液嗜酸性粒细胞增多大于 。血液嗜酸性粒细胞增多与CRSwNP的严重程度和控制情况有关。在组织嗜酸性粒细胞计数与CRSwNP的严重程度、控制情况和复发之间未发现显著差异。

结论

在我们的数据中,组织嗜酸性粒细胞水平不是CRSwNP控制、严重程度和复发的标志物。然而,血液嗜酸性粒细胞水平是CRSwNP控制和严重程度的标志物。

https://cdn.ncbi.nlm.nih.gov/pmc/blobs/e228/12061883/2e6ce4ef63d8/falgy-06-1549332-g001.jpg

文献检索

告别复杂PubMed语法,用中文像聊天一样搜索,搜遍4000万医学文献。AI智能推荐,让科研检索更轻松。

立即免费搜索

文件翻译

保留排版,准确专业,支持PDF/Word/PPT等文件格式,支持 12+语言互译。

免费翻译文档

深度研究

AI帮你快速写综述,25分钟生成高质量综述,智能提取关键信息,辅助科研写作。

立即免费体验