Suppr超能文献

米兰标准内可切除肝细胞癌初始治疗方法的比较:一项基于全国性调查的观察性研究

Comparison of initial treatments for resectable hepatocellular carcinoma within Milan criteria: an observational study based on a nationwide survey.

作者信息

Kim Sang Jin, Jeong Woo Kyoung, Han Hyung-Joon, Choi Gyu-Seong, Kim Kyun-Hwan, Kim Jongman

机构信息

Division of Hepatobiliary-Pancreas and Transplant Surgery, Department of Surgery, Korea University Ansan Hospital, Ansan, Korea.

Department of Radiology and Center for Imaging Sciences, Samsung Medical Center, Sungkyunkwan University School of Medicine, Seoul, Korea.

出版信息

Ann Surg Treat Res. 2025 May;108(5):279-294. doi: 10.4174/astr.2025.108.5.279. Epub 2025 Apr 28.

Abstract

PURPOSE

Treatment options for hepatocellular carcinoma (HCC) vary according to known guidelines among liver resection (LR), liver transplantation (LT), radiofrequency ablation (RFA), and transarterial chemoembolization (TACE). This study aimed to compare the outcomes of initial treatment for patients with resectable HCC within Milan criteria (MC) via nationwide data.

METHODS

Patients with resectable HCC (Child-Pugh class A; platelet count, ≥100,000/µL) within MC from the Korean Liver Cancer Association databank were analyzed, retrospectively. Outcomes according to initial treatment and subgroups according to tumor size and number were analyzed. Overall survival (OS) rates after initial treatment were compared.

RESULTS

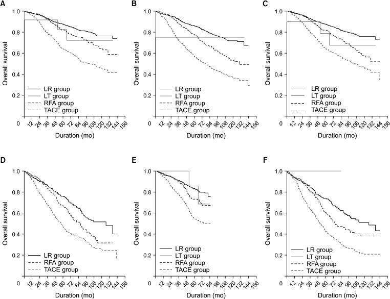
A total of 3,241 patients who underwent LR (n = 1,371), LT (n = 12), RFA (n = 679), or TACE (n = 1,179) were included. The 5-year OS rates differed significantly between the groups (P < 0.05), except for LT (LR, 84.9%; LT, 82.5%; RFA, 76.2%; and TACE, 59.9%). For patients with a single tumor of any size, the 5-year OS rates of the LR group were significantly higher than RFA and TACE groups. For patients with multiple tumors, the 5-year OS rates were 78.2%, 100%, 74.3%, and 53.0% for the LR, LT, RFA, and TACE groups, respectively, but without significant difference between LR and RFA (P = 0.86).

CONCLUSION

For resectable HCC within MC, the LR had the highest OS rate for a single tumor of any size. LR and RFA showed no significant differences in OS rate for multiple tumors. LR has a much more optimistic outlook for HCC within MC.

摘要

目的

肝细胞癌(HCC)的治疗方案根据已知指南在肝切除术(LR)、肝移植术(LT)、射频消融术(RFA)和经动脉化疗栓塞术(TACE)之间有所不同。本研究旨在通过全国性数据比较符合米兰标准(MC)的可切除HCC患者初始治疗的结果。

方法

回顾性分析韩国肝癌协会数据库中符合MC的可切除HCC患者(Child-Pugh A级;血小板计数≥100,000/µL)。分析根据初始治疗的结果以及根据肿瘤大小和数量的亚组情况。比较初始治疗后的总生存率(OS)。

结果

总共纳入了3241例接受LR(n = 1371)、LT(n = 12)、RFA(n = 679)或TACE(n = 1179)的患者。除LT组外,各组间5年OS率差异有统计学意义(P < 0.05)(LR组为84.9%;LT组为82.5%;RFA组为76.2%;TACE组为59.9%)。对于任何大小的单个肿瘤患者,LR组的5年OS率显著高于RFA组和TACE组。对于多个肿瘤患者,LR、LT、RFA和TACE组的5年OS率分别为78.2%、100%、74.3%和53.0%,但LR组和RFA组之间无显著差异(P = 0.86)。

结论

对于符合MC的可切除HCC,LR对于任何大小的单个肿瘤的OS率最高。LR和RFA在多个肿瘤的OS率方面无显著差异。对于符合MC的HCC,LR的前景更为乐观。

https://cdn.ncbi.nlm.nih.gov/pmc/blobs/daa6/12059244/b494a8c1778a/astr-108-279-g001.jpg

文献检索

告别复杂PubMed语法,用中文像聊天一样搜索,搜遍4000万医学文献。AI智能推荐,让科研检索更轻松。

立即免费搜索

文件翻译

保留排版,准确专业,支持PDF/Word/PPT等文件格式,支持 12+语言互译。

免费翻译文档

深度研究

AI帮你快速写综述,25分钟生成高质量综述,智能提取关键信息,辅助科研写作。

立即免费体验