• 文献检索
  • 文档翻译
  • 深度研究
  • 学术资讯
  • Suppr Zotero 插件Zotero 插件
  • 邀请有礼
  • 套餐&价格
  • 历史记录
应用&插件
Suppr Zotero 插件Zotero 插件浏览器插件Mac 客户端Windows 客户端微信小程序
定价
高级版会员购买积分包购买API积分包
服务
文献检索文档翻译深度研究API 文档MCP 服务
关于我们
关于 Suppr公司介绍联系我们用户协议隐私条款
关注我们

Suppr 超能文献

核心技术专利:CN118964589B侵权必究
粤ICP备2023148730 号-1Suppr @ 2026

文献检索

告别复杂PubMed语法,用中文像聊天一样搜索,搜遍4000万医学文献。AI智能推荐,让科研检索更轻松。

立即免费搜索

文件翻译

保留排版,准确专业,支持PDF/Word/PPT等文件格式,支持 12+语言互译。

免费翻译文档

深度研究

AI帮你快速写综述,25分钟生成高质量综述,智能提取关键信息,辅助科研写作。

立即免费体验

代谢组和转录组分析揭示了两个马铃薯(茄属)品种对冷胁迫的分子响应。

Metabolome and transcriptome analyses reveal molecular responses of two potato ( L.) cultivars to cold stress.

作者信息

Li Xiang, Zheng Zhenzhen, Zhou Yun, Yang Shenglong, Su Wang, Guo Heng, Ye Guangji, Wang Jian

机构信息

Academy of Agriculture and Forestry Sciences, Qinghai University, Xining, China.

Qinghai Provincial Key Laboratory of Potato Breeding, Qinghai University, Xining, China.

出版信息

Front Plant Sci. 2025 Apr 25;16:1543380. doi: 10.3389/fpls.2025.1543380. eCollection 2025.

DOI:10.3389/fpls.2025.1543380
PMID:40353224
原文链接:https://pmc.ncbi.nlm.nih.gov/articles/PMC12062144/
Abstract

INTRODUCTION

Potato ( L.), as an important food crop on the Qinghai-Tibet Plateau, is prone to low temperature and frost damage during the seedling stage, causing economic losses for farmers.

METHODS

In this study, metabolome and transcriptome analyses were conducted on the leaves of Atlantic (cold-resistant) and KY140 (cold-sensitive) potato varieties following exposure to cold stress (CS).

RESULTS

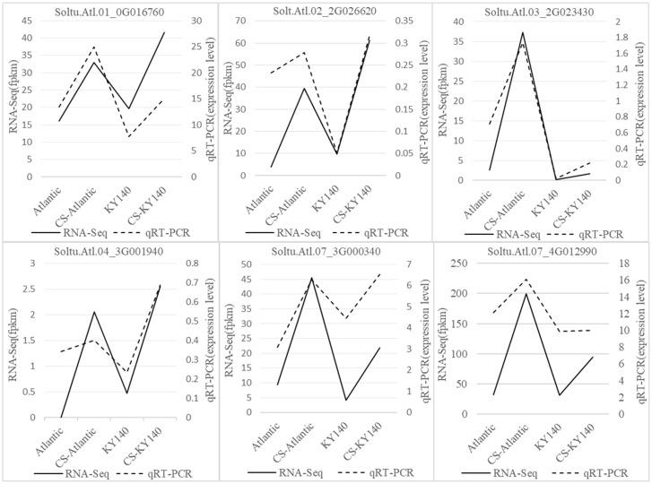
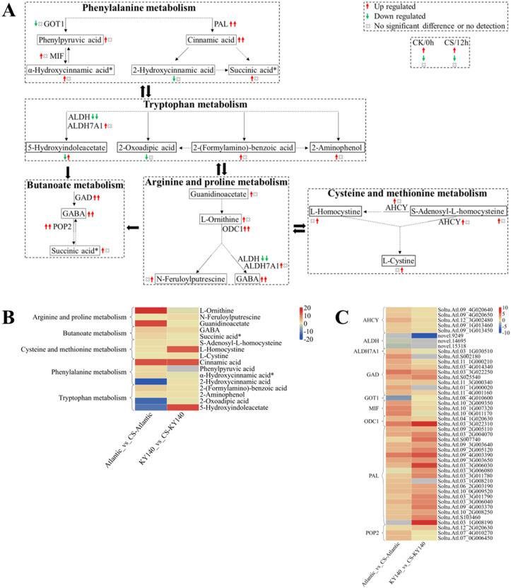
After CS, 298 and 195 differentially accumulated metabolites (DAMs) were identified in Atlantic and KY140, respectively, with 124 common DAMs, including lipids, flavonoids, alkaloids, organic acids, amino acids and their derivatives, nucleotides and their derivatives, lignans and coumarins, phenolic acids, and terpenoids. A total of 6928 and 2428 differentially expressed genes(DEGs) were identified in Atlantic and KY140, respectively, with 1131 common DEGs. Joint analysis of DAMs and DEGs, "flavonoid-related metabolism," "lipid metabolism," and "amino acid metabolism" were plotted. Cinnamic acid, caffeic acid, naringenin, and γ-aminobutyric acid (GABA) might participate in the regulation of potato resistance to CS. The genes and encode enzymes responsible for the biosynthesis of cinnamic acid and GABA, respectively, suggesting their involvement in the regulation of cold resistance in potato.

DISCUSSION

Our results provided novel insights into the molecular mechanisms underlying cold resistance in potato.

摘要

引言

马铃薯(L.)作为青藏高原上的一种重要粮食作物,在苗期易受低温和霜冻危害,给农民造成经济损失。

方法

本研究对耐冷品种大西洋和冷敏品种KY140的马铃薯叶片在冷胁迫(CS)处理后进行了代谢组和转录组分析。

结果

冷胁迫处理后,大西洋品种和KY140品种分别鉴定出298个和195个差异积累代谢物(DAM),其中有124个共有DAM,包括脂质、黄酮类化合物、生物碱、有机酸、氨基酸及其衍生物、核苷酸及其衍生物、木脂素和香豆素、酚酸和萜类化合物。大西洋品种和KY140品种分别鉴定出6928个和2428个差异表达基因(DEG),其中有1131个共有DEG。对DAM和DEG进行联合分析,绘制了“类黄酮相关代谢”“脂质代谢”和“氨基酸代谢”图。肉桂酸、咖啡酸、柚皮素和γ-氨基丁酸(GABA)可能参与马铃薯对冷胁迫抗性的调控。基因 和 分别编码负责肉桂酸和GABA生物合成的酶,表明它们参与马铃薯抗冷性的调控。

讨论

我们的结果为马铃薯抗冷性的分子机制提供了新的见解。

https://cdn.ncbi.nlm.nih.gov/pmc/blobs/ba78/12062144/2de9a77ce52c/fpls-16-1543380-g011.jpg
https://cdn.ncbi.nlm.nih.gov/pmc/blobs/ba78/12062144/515972404d67/fpls-16-1543380-g001.jpg
https://cdn.ncbi.nlm.nih.gov/pmc/blobs/ba78/12062144/e34a7c4d76d4/fpls-16-1543380-g002.jpg
https://cdn.ncbi.nlm.nih.gov/pmc/blobs/ba78/12062144/2d91eb5db5fe/fpls-16-1543380-g003.jpg
https://cdn.ncbi.nlm.nih.gov/pmc/blobs/ba78/12062144/18464b3d1934/fpls-16-1543380-g004.jpg
https://cdn.ncbi.nlm.nih.gov/pmc/blobs/ba78/12062144/2bfde58b5878/fpls-16-1543380-g005.jpg
https://cdn.ncbi.nlm.nih.gov/pmc/blobs/ba78/12062144/0655dcca4b8e/fpls-16-1543380-g006.jpg
https://cdn.ncbi.nlm.nih.gov/pmc/blobs/ba78/12062144/11ab8d704b4e/fpls-16-1543380-g007.jpg
https://cdn.ncbi.nlm.nih.gov/pmc/blobs/ba78/12062144/fcbd20bde096/fpls-16-1543380-g008.jpg
https://cdn.ncbi.nlm.nih.gov/pmc/blobs/ba78/12062144/744858b13c40/fpls-16-1543380-g009.jpg
https://cdn.ncbi.nlm.nih.gov/pmc/blobs/ba78/12062144/33a093d5b56a/fpls-16-1543380-g010.jpg
https://cdn.ncbi.nlm.nih.gov/pmc/blobs/ba78/12062144/2de9a77ce52c/fpls-16-1543380-g011.jpg
https://cdn.ncbi.nlm.nih.gov/pmc/blobs/ba78/12062144/515972404d67/fpls-16-1543380-g001.jpg
https://cdn.ncbi.nlm.nih.gov/pmc/blobs/ba78/12062144/e34a7c4d76d4/fpls-16-1543380-g002.jpg
https://cdn.ncbi.nlm.nih.gov/pmc/blobs/ba78/12062144/2d91eb5db5fe/fpls-16-1543380-g003.jpg
https://cdn.ncbi.nlm.nih.gov/pmc/blobs/ba78/12062144/18464b3d1934/fpls-16-1543380-g004.jpg
https://cdn.ncbi.nlm.nih.gov/pmc/blobs/ba78/12062144/2bfde58b5878/fpls-16-1543380-g005.jpg
https://cdn.ncbi.nlm.nih.gov/pmc/blobs/ba78/12062144/0655dcca4b8e/fpls-16-1543380-g006.jpg
https://cdn.ncbi.nlm.nih.gov/pmc/blobs/ba78/12062144/11ab8d704b4e/fpls-16-1543380-g007.jpg
https://cdn.ncbi.nlm.nih.gov/pmc/blobs/ba78/12062144/fcbd20bde096/fpls-16-1543380-g008.jpg
https://cdn.ncbi.nlm.nih.gov/pmc/blobs/ba78/12062144/744858b13c40/fpls-16-1543380-g009.jpg
https://cdn.ncbi.nlm.nih.gov/pmc/blobs/ba78/12062144/33a093d5b56a/fpls-16-1543380-g010.jpg
https://cdn.ncbi.nlm.nih.gov/pmc/blobs/ba78/12062144/2de9a77ce52c/fpls-16-1543380-g011.jpg

相似文献

1
Metabolome and transcriptome analyses reveal molecular responses of two potato ( L.) cultivars to cold stress.代谢组和转录组分析揭示了两个马铃薯(茄属)品种对冷胁迫的分子响应。
Front Plant Sci. 2025 Apr 25;16:1543380. doi: 10.3389/fpls.2025.1543380. eCollection 2025.
2
Physiological and broadly targeted metabolomic analyses of barley (Hordeum vulgare L.) in response to low-temperature stress.大麦(Hordeum vulgare L.)对低温胁迫响应的生理及广泛靶向代谢组学分析
BMC Genomics. 2025 Jul 1;26(1):618. doi: 10.1186/s12864-025-11516-x.
3
Metabolome integrated with transcriptome, and genome analysis revealed higher accumulations of phytoalexins enhance resistance against Magnaporthe oryzae in new Zhefang rice variety diantun 506.代谢组与转录组和基因组分析相结合表明,新的浙粳稻品种滇屯506中植保素的更高积累增强了对稻瘟病菌的抗性。
BMC Plant Biol. 2025 Jul 2;25(1):836. doi: 10.1186/s12870-025-06856-5.
4
Comparative Transcriptome Analysis of Two Types of Rye Under Low-Temperature Stress.低温胁迫下两种黑麦的比较转录组分析
Curr Issues Mol Biol. 2025 Mar 3;47(3):171. doi: 10.3390/cimb47030171.
5
Correction: Metabolome and transcriptome analyses reveal molecular responses of two potato ( L.) cultivars to cold stress.更正:代谢组和转录组分析揭示了两个马铃薯(L.)品种对冷胁迫的分子响应。
Front Plant Sci. 2025 Jul 3;16:1635281. doi: 10.3389/fpls.2025.1635281. eCollection 2025.
6
Integrative Transcriptome and Metabolome Analysis Identifies Potential Pathways Associated with Cadmium Tolerance in Two Maize Inbred Lines.整合转录组和代谢组分析鉴定出与两个玉米自交系镉耐受性相关的潜在途径。
Plants (Basel). 2025 Jun 16;14(12):1853. doi: 10.3390/plants14121853.
7
Metabolomic and transcriptomic analyses of drought resistance mechanisms in sorghum varieties.高粱品种抗旱机制的代谢组学和转录组学分析
PeerJ. 2025 Jul 4;13:e19596. doi: 10.7717/peerj.19596. eCollection 2025.
8
Integrated transcriptome and metabolome analyses provide molecular insights into the transition of flower color in the rose cultivar 'Juicy Terrazza'.综合转录组和代谢组分析为玫瑰品种“多汁露台”花色转变提供了分子层面的见解。
BMC Plant Biol. 2025 Jul 4;25(1):883. doi: 10.1186/s12870-025-06794-2.
9
Genome-wide identification, evolution, and expression analysis of StNRT (nitrate and peptide transporter) gene family in potato (Solanum tuberosum L.).马铃薯(Solanum tuberosum L.)中StNRT(硝酸盐和肽转运蛋白)基因家族的全基因组鉴定、进化及表达分析
BMC Plant Biol. 2025 Jul 12;25(1):906. doi: 10.1186/s12870-025-06978-w.
10
Comparative Transcriptome and Metabolome Profiling Revealed Molecular Cascade Events During the Enzymatic Browning of Potato Tubers After Cutting.比较转录组和代谢组分析揭示了马铃薯块茎切割后酶促褐变过程中的分子级联事件。
Plants (Basel). 2025 Jun 13;14(12):1817. doi: 10.3390/plants14121817.

本文引用的文献

1
Integrated Transcriptomics and Metabolomics Analyses Provide Insights into Qingke in Response to Cold Stress.整合转录组学和代谢组学分析为青稞响应冷胁迫提供了新见解。
J Agric Food Chem. 2023 Nov 29;71(47):18345-18358. doi: 10.1021/acs.jafc.3c07005. Epub 2023 Nov 15.
2
Integrated analysis of transcriptomics and metabolomics of peach under cold stress.低温胁迫下桃的转录组学与代谢组学综合分析
Front Plant Sci. 2023 Mar 27;14:1153902. doi: 10.3389/fpls.2023.1153902. eCollection 2023.
3
Integrated transcriptomics and metabolomics analysis reveals key regulatory network that response to cold stress in common Bean (Phaseolus vulgaris L.).
整合转录组学和代谢组学分析揭示了响应普通菜豆(Phaseolus vulgaris L.)冷胁迫的关键调控网络。
BMC Plant Biol. 2023 Feb 9;23(1):85. doi: 10.1186/s12870-023-04094-1.
4
Transcription-associated metabolomic profiling reveals the critical role of frost tolerance in wheat.转录关联代谢组学分析揭示了小麦抗寒能力的关键作用。
BMC Plant Biol. 2022 Jul 11;22(1):333. doi: 10.1186/s12870-022-03718-2.
5
The Kandelia obovata transcription factor KoWRKY40 enhances cold tolerance in transgenic Arabidopsis.黄槿转录因子 KoWRKY40 增强转基因拟南芥的耐寒性。
BMC Plant Biol. 2022 Jun 4;22(1):274. doi: 10.1186/s12870-022-03661-2.
6
An integrated analysis of the rice transcriptome and lipidome reveals lipid metabolism plays a central role in rice cold tolerance.水稻转录组和脂质组的综合分析揭示了脂质代谢在水稻耐寒性中起着核心作用。
BMC Plant Biol. 2022 Mar 2;22(1):91. doi: 10.1186/s12870-022-03468-1.
7
Integrated Transcriptomics and Metabolomics Analysis Reveal Key Metabolism Pathways Contributing to Cold Tolerance in Peanut.整合转录组学和代谢组学分析揭示了花生抗寒的关键代谢途径。
Front Plant Sci. 2021 Nov 24;12:752474. doi: 10.3389/fpls.2021.752474. eCollection 2021.
8
Integrated Analysis of Metabolome and Transcriptome Reveals Insights for Cold Tolerance in Rapeseed ( L.).代谢组学与转录组学的综合分析揭示了油菜(L.)耐寒性的相关见解。
Front Plant Sci. 2021 Oct 8;12:721681. doi: 10.3389/fpls.2021.721681. eCollection 2021.
9
Fatty acid composition in relation to chilling susceptibility of blood orange cultivars at different storage temperatures.脂肪酸组成与不同贮藏温度下血橙品种冷害敏感性的关系。
Plant Physiol Biochem. 2021 Sep;166:770-776. doi: 10.1016/j.plaphy.2021.06.013. Epub 2021 Jun 19.
10
Comparative Metabolomic and Transcriptomic Studies Reveal Key Metabolism Pathways Contributing to Freezing Tolerance Under Cold Stress in Kiwifruit.比较代谢组学和转录组学研究揭示了猕猴桃在低温胁迫下有助于抗冻性的关键代谢途径。
Front Plant Sci. 2021 Jun 1;12:628969. doi: 10.3389/fpls.2021.628969. eCollection 2021.