• 文献检索
  • 文档翻译
  • 深度研究
  • 学术资讯
  • Suppr Zotero 插件Zotero 插件
  • 邀请有礼
  • 套餐&价格
  • 历史记录
应用&插件
Suppr Zotero 插件Zotero 插件浏览器插件Mac 客户端Windows 客户端微信小程序
定价
高级版会员购买积分包购买API积分包
服务
文献检索文档翻译深度研究API 文档MCP 服务
关于我们
关于 Suppr公司介绍联系我们用户协议隐私条款
关注我们

Suppr 超能文献

核心技术专利:CN118964589B侵权必究
粤ICP备2023148730 号-1Suppr @ 2026

文献检索

告别复杂PubMed语法,用中文像聊天一样搜索,搜遍4000万医学文献。AI智能推荐,让科研检索更轻松。

立即免费搜索

文件翻译

保留排版,准确专业,支持PDF/Word/PPT等文件格式,支持 12+语言互译。

免费翻译文档

深度研究

AI帮你快速写综述,25分钟生成高质量综述,智能提取关键信息,辅助科研写作。

立即免费体验

免疫营养对头颈部癌手术的影响:一项荟萃分析的系统评价

The impact of immunonutrition in head and neck cancer surgery: a systematic review with meta-analysis.

作者信息

Modesti Claudia Lodovica, Mattavelli Davide, Testa Gabriele, Tofani Lorenzo, Piazza Cesare

机构信息

Unit of Otorhinolaryngology - Head and Neck Surgery, ASST Spedali Civili di Brescia, Brescia, Italy.

Department of Medical and Surgical Specialties, Radiological Sciences, and Public Health, University of Brescia, Brescia, Italy.

出版信息

Acta Otorhinolaryngol Ital. 2025 Apr;45(2):75-83. doi: 10.14639/0392-100X-N3140.

DOI:10.14639/0392-100X-N3140
PMID:40353479
原文链接:https://pmc.ncbi.nlm.nih.gov/articles/PMC12068514/
Abstract

OBJECTIVE

Malnutrition is common among patients undergoing surgery for head and neck cancer (HNC), leading to higher postoperative complications and mortality rates. Immunonutritional intervention has potential in reducing these risks by enhancing immune function and aiding wound healing.

METHODS

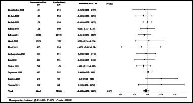
A systematic review and meta-analysis were conducted according to PRISMA guidelines. Nineteen randomised controlled trials involving 1,196 participants undergoing surgery for HNC were included. Studies comparing immunonutrition with standard care were analysed for outcomes including fistula formation, wound infections, other infections, and length of hospital stay.

RESULTS

Immunonutrition significantly reduced postoperative fistulas and shortened hospital stays compared to standard care. The impact on wound and systemic infections was inconclusive. Immunonutrition was generally well-tolerated, with no significant increase in adverse events.

CONCLUSIONS

These findings highlight the potential benefits of immunonutrition in improving postoperative outcomes for patients with HNC. However, the variability in study outcomes and limitations in quality call for further research to clarify the specific efficacy, long-term effects, and cost-effectiveness of immunonutrition in this context.

摘要

目的

营养不良在接受头颈癌(HNC)手术的患者中很常见,会导致更高的术后并发症和死亡率。免疫营养干预有可能通过增强免疫功能和促进伤口愈合来降低这些风险。

方法

根据PRISMA指南进行系统评价和荟萃分析。纳入了19项随机对照试验,涉及1196例接受HNC手术的参与者。分析比较免疫营养与标准护理的研究的结果,包括瘘管形成、伤口感染、其他感染和住院时间。

结果

与标准护理相比,免疫营养显著减少了术后瘘管的发生,并缩短了住院时间。对伤口和全身感染的影响尚无定论。免疫营养总体耐受性良好,不良事件没有显著增加。

结论

这些发现突出了免疫营养在改善HNC患者术后结局方面的潜在益处。然而,研究结果的变异性和质量限制要求进一步研究,以阐明免疫营养在这种情况下的具体疗效、长期影响和成本效益。

https://cdn.ncbi.nlm.nih.gov/pmc/blobs/77eb/12068514/37c0c725111e/aoi-2025-02-75-g006.jpg
https://cdn.ncbi.nlm.nih.gov/pmc/blobs/77eb/12068514/a62087d12bf0/aoi-2025-02-75-g001.jpg
https://cdn.ncbi.nlm.nih.gov/pmc/blobs/77eb/12068514/225523fb5c18/aoi-2025-02-75-g002.jpg
https://cdn.ncbi.nlm.nih.gov/pmc/blobs/77eb/12068514/f23d8d926520/aoi-2025-02-75-g003.jpg
https://cdn.ncbi.nlm.nih.gov/pmc/blobs/77eb/12068514/ebc7f81bf75b/aoi-2025-02-75-g004.jpg
https://cdn.ncbi.nlm.nih.gov/pmc/blobs/77eb/12068514/156f9f06d709/aoi-2025-02-75-g005.jpg
https://cdn.ncbi.nlm.nih.gov/pmc/blobs/77eb/12068514/37c0c725111e/aoi-2025-02-75-g006.jpg
https://cdn.ncbi.nlm.nih.gov/pmc/blobs/77eb/12068514/a62087d12bf0/aoi-2025-02-75-g001.jpg
https://cdn.ncbi.nlm.nih.gov/pmc/blobs/77eb/12068514/225523fb5c18/aoi-2025-02-75-g002.jpg
https://cdn.ncbi.nlm.nih.gov/pmc/blobs/77eb/12068514/f23d8d926520/aoi-2025-02-75-g003.jpg
https://cdn.ncbi.nlm.nih.gov/pmc/blobs/77eb/12068514/ebc7f81bf75b/aoi-2025-02-75-g004.jpg
https://cdn.ncbi.nlm.nih.gov/pmc/blobs/77eb/12068514/156f9f06d709/aoi-2025-02-75-g005.jpg
https://cdn.ncbi.nlm.nih.gov/pmc/blobs/77eb/12068514/37c0c725111e/aoi-2025-02-75-g006.jpg

相似文献

1
The impact of immunonutrition in head and neck cancer surgery: a systematic review with meta-analysis.免疫营养对头颈部癌手术的影响:一项荟萃分析的系统评价
Acta Otorhinolaryngol Ital. 2025 Apr;45(2):75-83. doi: 10.14639/0392-100X-N3140.
2
Enteral nutrition formulations for acute pancreatitis.用于急性胰腺炎的肠内营养制剂。
Cochrane Database Syst Rev. 2015 Mar 23;2015(3):CD010605. doi: 10.1002/14651858.CD010605.pub2.
3
Immunonutrition as an adjuvant therapy for burns.免疫营养作为烧伤的辅助治疗方法。
Cochrane Database Syst Rev. 2014;2014(12):CD007174. doi: 10.1002/14651858.CD007174.pub2. Epub 2014 Dec 23.
4
A systematic review of the role of immunonutrition in patients undergoing surgery for head and neck cancer.对头颈部癌手术患者免疫营养作用的系统评价。
Int J Oral Maxillofac Surg. 2009 Feb;38(2):103-10. doi: 10.1016/j.ijom.2008.12.008. Epub 2009 Jan 13.
5
Postoperative nutritional support after pancreaticoduodenectomy in adults.成人胰十二指肠切除术后的营养支持
Cochrane Database Syst Rev. 2025 Mar 14;3(3):CD014792. doi: 10.1002/14651858.CD014792.pub2.
6
Systemic pharmacological treatments for chronic plaque psoriasis: a network meta-analysis.系统性药理学治疗慢性斑块状银屑病:网络荟萃分析。
Cochrane Database Syst Rev. 2021 Apr 19;4(4):CD011535. doi: 10.1002/14651858.CD011535.pub4.
7
Efficacy of arginine-enriched enteral formulas in the reduction of surgical complications in head and neck cancer: a systematic review and meta-analysis.富含精氨酸的肠内配方在减少头颈部癌症手术并发症中的疗效:系统评价和荟萃分析。
Clin Nutr. 2014 Dec;33(6):951-7. doi: 10.1016/j.clnu.2014.04.020. Epub 2014 May 4.
8
Systemic pharmacological treatments for chronic plaque psoriasis: a network meta-analysis.慢性斑块状银屑病的全身药理学治疗:一项网状荟萃分析。
Cochrane Database Syst Rev. 2017 Dec 22;12(12):CD011535. doi: 10.1002/14651858.CD011535.pub2.
9
Systemic pharmacological treatments for chronic plaque psoriasis: a network meta-analysis.慢性斑块状银屑病的全身药理学治疗:一项网状Meta分析。
Cochrane Database Syst Rev. 2020 Jan 9;1(1):CD011535. doi: 10.1002/14651858.CD011535.pub3.
10
Intravenous magnesium sulphate and sotalol for prevention of atrial fibrillation after coronary artery bypass surgery: a systematic review and economic evaluation.静脉注射硫酸镁和索他洛尔预防冠状动脉搭桥术后房颤:系统评价与经济学评估
Health Technol Assess. 2008 Jun;12(28):iii-iv, ix-95. doi: 10.3310/hta12280.

本文引用的文献

1
Management of Older Patients with Head and Neck Cancer: A Comprehensive Review.老年头颈癌患者的管理:一项综合综述。
Adv Ther. 2023 May;40(5):1957-1974. doi: 10.1007/s12325-023-02460-x. Epub 2023 Mar 15.
2
The Enhanced Recovery After Surgery (ERAS) protocol in head and neck cancer: a matched-pair analysis.头颈部癌症的加速康复外科(ERAS)方案:一项配对分析。
Acta Otorhinolaryngol Ital. 2022 Aug;42(4):325-333. doi: 10.14639/0392-100X-N2072.
3
Enhanced Recovery After Surgery Protocols for Head and Neck Cancer: Systematic Review and Meta-analysis.
头颈部癌症术后康复方案:系统评价和荟萃分析。
Otolaryngol Head Neck Surg. 2023 Apr;168(4):593-601. doi: 10.1177/01945998221082541. Epub 2023 Feb 5.
4
Effect of a perioperative immune-enhancing diet in clean-contaminated head and neck cancer surgery: A randomized controlled trial.围手术期免疫增强饮食对清洁污染头颈部癌症手术的影响:一项随机对照试验。
Int J Surg. 2021 Sep;93:106051. doi: 10.1016/j.ijsu.2021.106051. Epub 2021 Aug 8.
5
The PRISMA 2020 statement: an updated guideline for reporting systematic reviews.PRISMA 2020 声明:系统评价报告的更新指南。
BMJ. 2021 Mar 29;372:n71. doi: 10.1136/bmj.n71.
6
Enhanced Recovery After Surgery (ERAS) in Head and Neck Oncologic Surgery: A Case-Matched Analysis of Perioperative and Pain Outcomes.头颈部肿瘤手术中的术后加速康复(ERAS):围手术期和疼痛结局的病例匹配分析
Ann Surg Oncol. 2021 Feb;28(2):867-876. doi: 10.1245/s10434-020-09174-2. Epub 2020 Sep 22.
7
Perioperative Antibiotics in Clean-Contaminated Head and Neck Surgery: A Systematic Review and Meta-Analysis.头颈部清洁-污染手术围手术期抗生素应用:系统评价和荟萃分析。
Adv Ther. 2020 Apr;37(4):1360-1380. doi: 10.1007/s12325-020-01269-2. Epub 2020 Mar 5.
8
Risk factors of pharyngocutaneous fistula after total laryngectomy: a systematic review and meta-analysis.喉全切除术后咽瘘的危险因素:系统评价和荟萃分析。
Eur Arch Otorhinolaryngol. 2020 Feb;277(2):585-599. doi: 10.1007/s00405-019-05718-9. Epub 2019 Nov 11.
9
Efficacy of EPA-enriched supplement compared with standard formula on body weight changes in malnourished patients with head and neck cancer undergone surgery: a randomized study.富含二十碳五烯酸(EPA)的补充剂与标准配方相比,对接受手术的头颈癌营养不良患者体重变化的疗效:一项随机研究。
Head Neck. 2020 Feb;42(2):188-197. doi: 10.1002/hed.25987. Epub 2019 Oct 24.
10
Global cancer statistics 2018: GLOBOCAN estimates of incidence and mortality worldwide for 36 cancers in 185 countries.全球癌症统计数据 2018:GLOBOCAN 对全球 185 个国家/地区 36 种癌症的发病率和死亡率的估计。
CA Cancer J Clin. 2018 Nov;68(6):394-424. doi: 10.3322/caac.21492. Epub 2018 Sep 12.