Suppr超能文献

F-氟化物PET/CT作为腰椎后路椎间融合术后骨融合的早期预测指标——一项前瞻性研究。

F-fluoride PET/CT as an early predictor of bony fusion after posterior lumbar interbody fusion- a prospective study.

作者信息

Peters Marloes J M, Wierts Roel, Jutten Elisabeth M C, Broos Wouter A M, Ter Laak Mariel P, Willems Paul C

机构信息

Department of Orthopaedic Surgery, Maastricht University Medical Center, Maastricht, The Netherlands.

Department of Nuclear Medicine and Radiology, Maastricht University Medical Center, Maastricht, The Netherlands.

出版信息

J Orthop Surg Res. 2025 May 13;20(1):458. doi: 10.1186/s13018-025-05814-z.

Abstract

PURPOSE

Posterior Lumbar Interbody Fusion (PLIF) is a surgical procedure in which stabilization of spinal segments is achieved by inserting interbody cages filled with bone graft. Positron Emission Tomography (PET) is an imaging modality to assess physiological processes at cellular level, well before manifestation of morphological changes on computed tomography (CT). The goal was to determine whether F-fluoride PET/CT findings six weeks after PLIF, can predict bony fusion one year postoperatively on CT.

MATERIALS AND METHODS

20 consecutive PLIF patients (21 levels) were prospectively included. Based on diagnostic CT one year postoperatively, operated segments were classified as pseudarthrotic or fused. F-fluoride PET/CT scanning was performed at six weeks and one year, yielding parameters related to overall bone metabolism, bone blood flow and bone mineral incorporation. Differences in PET parameters between groups and follow-up moments were assessed. The area under the curve from the receiver operating characteristic was calculated for each PET parameter as a measure of diagnostic accuracy.

RESULTS

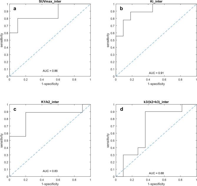
11 segments were classified as pseudarthrotic and 10 as fused. Pseudarthrotic segments showed lower intervertebral overall bone metabolism values compared to fused segments at six weeks. Pseudarthrotic segments showed lower intervertebral bone blood flow at six weeks and lower intervertebral bone mineral incorporation at one year compared to fused segments. Overall bone metabolism of the operated intervertebral disc space at six weeks had the highest diagnostic accuracy for predicting the fusion status at one year.

CONCLUSIONS

F-fluoride PET/CT six weeks after PLIF provides prognostic information on bony fusion at one year.

摘要

目的

腰椎后路椎间融合术(PLIF)是一种外科手术,通过植入填充骨移植材料的椎间融合器来实现脊柱节段的稳定。正电子发射断层扫描(PET)是一种成像方式,可在计算机断层扫描(CT)上出现形态学变化之前,在细胞水平评估生理过程。目的是确定PLIF术后六周的F-氟化物PET/CT检查结果能否预测术后一年CT上的骨融合情况。

材料与方法

前瞻性纳入20例连续的PLIF患者(21个节段)。根据术后一年的诊断性CT,将手术节段分为假关节形成或融合。在六周和一年时进行F-氟化物PET/CT扫描,得出与整体骨代谢、骨血流和骨矿物质掺入相关的参数。评估组间和随访时间点PET参数的差异。计算每个PET参数的受试者操作特征曲线下面积,作为诊断准确性的衡量指标。

结果

11个节段被分类为假关节形成,10个节段被分类为融合。与六周时的融合节段相比,假关节形成节段的椎间整体骨代谢值较低。与融合节段相比,假关节形成节段在六周时椎间骨血流较低,在一年时椎间骨矿物质掺入较低。六周时手术椎间盘间隙的整体骨代谢对预测一年时的融合状态具有最高的诊断准确性。

结论

PLIF术后六周的F-氟化物PET/CT可提供一年时骨融合的预后信息。

https://cdn.ncbi.nlm.nih.gov/pmc/blobs/0c52/12070508/f4a9679245de/13018_2025_5814_Fig1_HTML.jpg

文献检索

告别复杂PubMed语法,用中文像聊天一样搜索,搜遍4000万医学文献。AI智能推荐,让科研检索更轻松。

立即免费搜索

文件翻译

保留排版,准确专业,支持PDF/Word/PPT等文件格式,支持 12+语言互译。

免费翻译文档

深度研究

AI帮你快速写综述,25分钟生成高质量综述,智能提取关键信息,辅助科研写作。

立即免费体验