Suppr超能文献

用于低频高效吸声的数字控制压电超材料

Digitally Controlled Piezoelectric Metamaterial for Low-Frequency and High-Efficiency Sound Absorption.

作者信息

Zhang Xiaodong, Nie Jing, He Jinhong, Lin Fengbin, Liu Yang

机构信息

College of Mechanical Engineering and Automation, Huaqiao University, Xiamen 361021, China.

Jilin Jinheng Auto Parts Co., Ltd., Jilin 132000, China.

出版信息

Materials (Basel). 2025 May 3;18(9):2102. doi: 10.3390/ma18092102.

Abstract

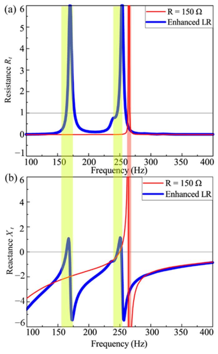
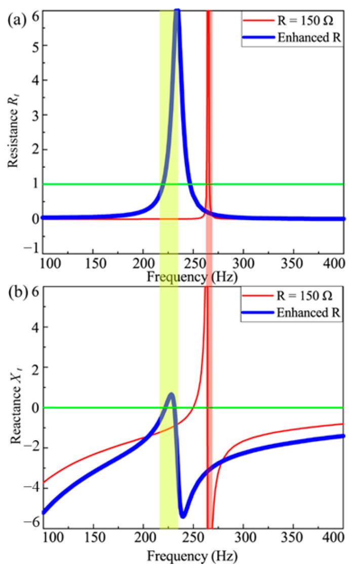
This study proposes a membrane-type metamaterial with digitally controlled piezoelectric actuation for low-frequency sound absorption applications. The hybrid structure integrates an aluminum membrane functionally bonded with programmable piezoelectric patches (PZTs) and a sealed air cavity. Two innovative control strategies-Resistance Enhancement and Resonance Enhancement-dynamically adjust circuit impedance to maximize electromechanical energy conversion efficiency, thereby optimizing absorption at targeted frequencies. These strategies are implemented via a real-time digital feedback system. A coupled piezoelectric-structural-acoustic model is established to characterize the system's transfer function, with validation through both finite element simulations and impedance tube experiments. Numerical and experimental results demonstrate nearly complete absorption around the resonant frequency, and the bandwidth can be further broadened through multi-resonance superposition. Theoretical analysis confirms that the active control strategies simultaneously modulate the acoustic impedance components (resistance and reactance), thereby optimizing electromechanical energy conversion efficiency. This work establishes a novel active-control methodology for low-frequency and high-efficiency noise mitigation.

摘要

本研究提出了一种用于低频吸声应用的具有数字控制压电驱动的膜型超材料。这种混合结构集成了与可编程压电片(PZT)功能键合的铝膜和密封气腔。两种创新控制策略——电阻增强和共振增强——动态调整电路阻抗,以最大化机电能量转换效率,从而优化目标频率下的吸收。这些策略通过实时数字反馈系统实现。建立了一个耦合压电-结构-声学模型来表征系统的传递函数,并通过有限元模拟和阻抗管实验进行验证。数值和实验结果表明,在共振频率附近几乎完全吸收,并且可以通过多共振叠加进一步拓宽带宽。理论分析证实,主动控制策略同时调制声阻抗分量(电阻和电抗),从而优化机电能量转换效率。这项工作建立了一种用于低频高效噪声缓解的新型主动控制方法。

https://cdn.ncbi.nlm.nih.gov/pmc/blobs/82e3/12072944/8cf3a3510460/materials-18-02102-g001.jpg

文献检索

告别复杂PubMed语法,用中文像聊天一样搜索,搜遍4000万医学文献。AI智能推荐,让科研检索更轻松。

立即免费搜索

文件翻译

保留排版,准确专业,支持PDF/Word/PPT等文件格式,支持 12+语言互译。

免费翻译文档

深度研究

AI帮你快速写综述,25分钟生成高质量综述,智能提取关键信息,辅助科研写作。

立即免费体验