• 文献检索
  • 文档翻译
  • 深度研究
  • 学术资讯
  • Suppr Zotero 插件Zotero 插件
  • 邀请有礼
  • 套餐&价格
  • 历史记录
应用&插件
Suppr Zotero 插件Zotero 插件浏览器插件Mac 客户端Windows 客户端微信小程序
定价
高级版会员购买积分包购买API积分包
服务
文献检索文档翻译深度研究API 文档MCP 服务
关于我们
关于 Suppr公司介绍联系我们用户协议隐私条款
关注我们

Suppr 超能文献

核心技术专利:CN118964589B侵权必究
粤ICP备2023148730 号-1Suppr @ 2026

文献检索

告别复杂PubMed语法,用中文像聊天一样搜索,搜遍4000万医学文献。AI智能推荐,让科研检索更轻松。

立即免费搜索

文件翻译

保留排版,准确专业,支持PDF/Word/PPT等文件格式,支持 12+语言互译。

免费翻译文档

深度研究

AI帮你快速写综述,25分钟生成高质量综述,智能提取关键信息,辅助科研写作。

立即免费体验

慢性脊髓损伤中的心脏代谢风险:一项包含荟萃分析以及时间和地理趋势的系统评价

Cardiometabolic Risk in Chronic Spinal Cord Injury: A Systematic Review with Meta-Analysis and Temporal and Geographical Trends.

作者信息

Farkas Gary J, Caldera Lizeth J, Hodgkiss Daniel D, Mitchell Jessica R, Pelaez Thomas F, Cusnier Maxwell A, Cole Alex J, Daniel Scott G, Farrow Matthew T, Gee Cameron M, Kincaid-Sharp Eric A, Green Logan Andrew Malcolm, McMillan David W, Nightingale Tom E, Perdue Brieanna, Portes Pauline, Walson Francis T, Volmrich Alyssa M, Reynolds John M, Nash Mark S, Gater David R, Berg Arthur S

机构信息

Department of Physical Medicine and Rehabilitation, Leonard M. Miller School of Medicine, University of Miami, Miami, FL 33136, USA.

The Miami Project to Cure Paralysis, Department of Neurological Surgery, Leonard M. Miller School of Medicine, University of Miami, Miami, FL 33136, USA.

出版信息

J Clin Med. 2025 Apr 22;14(9):2872. doi: 10.3390/jcm14092872.

DOI:10.3390/jcm14092872
PMID:40363903
原文链接:https://pmc.ncbi.nlm.nih.gov/articles/PMC12072459/
Abstract

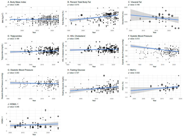
: This systematic review with meta-analysis compared cardiometabolic syndrome (CMS) in adults with chronic (≥1 year) spinal cord injury (SCI) to non-SCI individuals (controls) and athletes, analyzing the effect of specific injury characteristics and exploring temporal and geographical trends. : Ovid Medline, Embase, Cochrane, CINAHL, Scopus, and Web of Science were searched from inception to September 2024. Adults with chronic SCI were included based on observational and baseline data derived from experimental studies. Quality Assessment Criteria for Evaluating Primary Research Papers from a Variety of Fields assessed quality. Weighted means with 95% bootstrapped confidence intervals (CI) were computed for risk stratification. Group differences were assessed using random effects meta-analysis, calculating weighted mean differences with 95% bootstrapped CI. Temporal and geographical trends were evaluated with linear regression based on sample-size-weighted distributions and relevant covariates. : Of 31,163 identified records, 471 studies were included ( ≤ 31,782 SCI participants). CMS was present in men with SCI, paraplegia, tetraplegia, and injuries above T6; men with complete SCI (AIS A); and men and women with motor-complete SCI (AIS A-B). Compared to controls, adults with SCI had a lower body mass index (BMI), higher total and visceral fat, and worse lipid and carbohydrate profiles, including increased insulin resistance (IR). Tetraplegia was associated with greater visceral fat, poorer glycemic control, and lower BMI, insulin sensitivity, high-density lipoprotein-cholesterol (HDL-C), and triglycerides than paraplegia. Motor-complete SCI had lower BMI, HDL-C, and fasting glucose than motor-incomplete injuries. Injuries above T6 had lower blood pressure and higher fasting insulin levels than those below T6. Athletes with SCI had a lower BMI, fat mass, and fasting glucose, and higher systolic blood pressure than non-athletes with SCI, but frequently presented with obesity and carbohydrate dysfunction. Temporal analysis revealed increasing obesity trends and improved systolic blood pressure, while other CMS risk factors remained unchanged. We also identified global variations in obesity, lipids, blood pressure, and carbohydrate patterns. : With a large sample, we revealed a widespread cardiometabolic burden in chronic SCI, even among athletes. Specifically, obesity, IR, and hypoalphalipoproteinemia worsened with increasing injury severity, alongside rising obesity trends and geographic disparities in risk profiles. These patterns highlight the evolution of what was deemed an epidemic into a global cardiometabolic pandemic.

摘要

本项带有荟萃分析的系统评价将慢性(≥1年)脊髓损伤(SCI)成人患者的心脏代谢综合征(CMS)与非SCI个体(对照)及运动员进行了比较,分析了特定损伤特征的影响,并探讨了时间和地理趋势。检索了Ovid Medline、Embase、Cochrane、CINAHL、Scopus和Web of Science数据库,检索时间范围从建库至2024年9月。根据实验研究得出的观察性数据和基线数据纳入慢性SCI成人患者。采用《多领域原发性研究论文质量评估标准》评估质量。计算风险分层的加权均值及95%自抽样置信区间(CI)。采用随机效应荟萃分析评估组间差异,计算加权平均差及95%自抽样CI。基于样本量加权分布和相关协变量,采用线性回归评估时间和地理趋势。在31163条检索到的记录中,纳入了471项研究(≤31782名SCI参与者)。CMS见于患有SCI的男性、截瘫患者、四肢瘫患者以及T6以上损伤的患者;患有完全性SCI(AIS A)的男性;以及运动完全性SCI(AIS A - B)的男性和女性。与对照组相比,SCI成人患者的体重指数(BMI)较低,总脂肪和内脏脂肪较高,脂质和碳水化合物谱较差,包括胰岛素抵抗(IR)增加。与截瘫相比,四肢瘫与更多的内脏脂肪、更差的血糖控制以及更低的BMI、胰岛素敏感性、高密度脂蛋白胆固醇(HDL - C)和甘油三酯相关。运动完全性SCI的BMI、HDL - C和空腹血糖低于运动不完全性损伤。T6以上损伤的患者血压较低,空腹胰岛素水平高于T6以下损伤的患者。与非运动员SCI患者相比,运动员SCI患者的BMI、体脂和空腹血糖较低,收缩压较高,但经常出现肥胖和碳水化合物功能障碍。时间分析显示肥胖趋势增加,收缩压有所改善,而其他CMS危险因素保持不变。我们还发现了肥胖、脂质、血压和碳水化合物模式的全球差异。通过大量样本,我们揭示了慢性SCI中广泛存在的心脏代谢负担,即使在运动员中也是如此。具体而言,肥胖、IR和低脂蛋白血症随着损伤严重程度的增加而恶化,同时肥胖趋势上升,风险特征存在地理差异。这些模式凸显了一种被视为流行病的情况演变成全球心脏代谢大流行的过程。

https://cdn.ncbi.nlm.nih.gov/pmc/blobs/23be/12072459/84b4857025a9/jcm-14-02872-g004.jpg
https://cdn.ncbi.nlm.nih.gov/pmc/blobs/23be/12072459/02d7d5f534a3/jcm-14-02872-g001.jpg
https://cdn.ncbi.nlm.nih.gov/pmc/blobs/23be/12072459/992ea63c6cb5/jcm-14-02872-g002.jpg
https://cdn.ncbi.nlm.nih.gov/pmc/blobs/23be/12072459/b4f82d5a5670/jcm-14-02872-g003.jpg
https://cdn.ncbi.nlm.nih.gov/pmc/blobs/23be/12072459/84b4857025a9/jcm-14-02872-g004.jpg
https://cdn.ncbi.nlm.nih.gov/pmc/blobs/23be/12072459/02d7d5f534a3/jcm-14-02872-g001.jpg
https://cdn.ncbi.nlm.nih.gov/pmc/blobs/23be/12072459/992ea63c6cb5/jcm-14-02872-g002.jpg
https://cdn.ncbi.nlm.nih.gov/pmc/blobs/23be/12072459/b4f82d5a5670/jcm-14-02872-g003.jpg
https://cdn.ncbi.nlm.nih.gov/pmc/blobs/23be/12072459/84b4857025a9/jcm-14-02872-g004.jpg

相似文献

1
Cardiometabolic Risk in Chronic Spinal Cord Injury: A Systematic Review with Meta-Analysis and Temporal and Geographical Trends.慢性脊髓损伤中的心脏代谢风险:一项包含荟萃分析以及时间和地理趋势的系统评价
J Clin Med. 2025 Apr 22;14(9):2872. doi: 10.3390/jcm14092872.
2
Cardiometabolic risk profiling during spinal cord injury rehabilitation: A longitudinal analysis from the Swiss Spinal Cord Injury (SwiSCI) cohort.脊髓损伤康复期间的心脏代谢风险分析:来自瑞士脊髓损伤(SwiSCI)队列的纵向分析。
PM R. 2023 Jun;15(6):715-730. doi: 10.1002/pmrj.12857. Epub 2022 Sep 29.
3
Folic acid supplementation and malaria susceptibility and severity among people taking antifolate antimalarial drugs in endemic areas.在流行地区,服用抗叶酸抗疟药物的人群中,叶酸补充剂与疟疾易感性和严重程度的关系。
Cochrane Database Syst Rev. 2022 Feb 1;2(2022):CD014217. doi: 10.1002/14651858.CD014217.
4
Acute Spinal Cord Injury Is Associated With Prevalent Cardiometabolic Risk Factors.急性脊髓损伤与普遍存在的心血管代谢危险因素相关。
Arch Phys Med Rehabil. 2022 Apr;103(4):696-701. doi: 10.1016/j.apmr.2021.04.022. Epub 2021 May 29.
5
Cardiometabolic risk clustering in spinal cord injury: results of exploratory factor analysis.脊髓损伤中的心脏代谢风险聚集:探索性因素分析结果
Top Spinal Cord Inj Rehabil. 2013 Summer;19(3):183-94. doi: 10.1310/sci1903-183.
6
Cardiometabolic Syndrome in People With Spinal Cord Injury/Disease: Guideline-Derived and Nonguideline Risk Components in a Pooled Sample.脊髓损伤/疾病患者的心脏代谢综合征:汇总样本中基于指南和非指南的风险因素
Arch Phys Med Rehabil. 2016 Oct;97(10):1696-705. doi: 10.1016/j.apmr.2016.07.002. Epub 2016 Jul 25.
7
Body Composition and Metabolic Assessment After Motor Complete Spinal Cord Injury: Development of a Clinically Relevant Equation to Estimate Body Fat.运动性完全性脊髓损伤后身体成分和代谢评估:开发一种临床相关的估计体脂的方程。
Top Spinal Cord Inj Rehabil. 2021;27(1):11-22. doi: 10.46292/sci20-00079.
8
Disparities in cardio metabolic risk between Black and White women with polycystic ovary syndrome: a systematic review and meta-analysis.多囊卵巢综合征黑人和白人女性之间心血管代谢风险的差异:系统评价和荟萃分析。
Am J Obstet Gynecol. 2021 May;224(5):428-444.e8. doi: 10.1016/j.ajog.2020.12.019. Epub 2020 Dec 13.
9
Relationship Between Gonadal Function and Cardiometabolic Risk in Young Men With Chronic Spinal Cord Injury.慢性脊髓损伤年轻男性性腺功能与心脏代谢风险的关系。
PM R. 2018 Apr;10(4):373-381. doi: 10.1016/j.pmrj.2017.08.404. Epub 2017 Aug 18.
10
Sarcopenic Obesity in Adults With Spinal Cord Injury: A Cross-Sectional Study.脊髓损伤成人的肌少症性肥胖:一项横断面研究。
Arch Phys Med Rehabil. 2016 Nov;97(11):1931-1937. doi: 10.1016/j.apmr.2016.04.026. Epub 2016 Jun 7.

本文引用的文献

1
Socioeconomic Status and Obesity.社会经济地位与肥胖
J Endocr Soc. 2024 Oct 7;8(11):bvae176. doi: 10.1210/jendso/bvae176. eCollection 2024 Sep 26.
2
Exercise and aerobic capacity in individuals with spinal cord injury: A systematic review with meta-analysis and meta-regression.运动和有氧能力在脊髓损伤个体中的应用:系统评价与荟萃分析和荟萃回归。
PLoS Med. 2023 Nov 27;20(11):e1004082. doi: 10.1371/journal.pmed.1004082. eCollection 2023 Nov.
3
Reasons for meal termination, eating frequency, and typical meal context differ between persons with and without a spinal cord injury.
有和没有脊髓损伤的人在终止进餐的原因、进食频率和典型进餐环境方面存在差异。
Appetite. 2024 Jan 1;192:107110. doi: 10.1016/j.appet.2023.107110. Epub 2023 Nov 7.
4
Assessing the efficacy of duration and intensity prescription for physical activity in mitigating cardiometabolic risk after spinal cord injury.评估身体活动持续时间和强度处方对减轻脊髓损伤后心脏代谢风险的疗效。
Curr Opin Neurol. 2023 Dec 1;36(6):531-540. doi: 10.1097/WCO.0000000000001206. Epub 2023 Sep 26.
5
Metabolically healthy obese individuals are still at high risk for diabetes: Application of the marginal structural model.代谢健康型肥胖个体仍面临较高的糖尿病风险:边际结构模型的应用。
Diabetes Obes Metab. 2024 Feb;26(2):431-440. doi: 10.1111/dom.15329. Epub 2023 Oct 12.
6
Temporal trends in inequalities of the burden of cardiovascular disease across 186 countries and territories.186 个国家和地区心血管疾病负担不平等的时间趋势。
Int J Equity Health. 2023 Aug 24;22(1):164. doi: 10.1186/s12939-023-01988-2.
7
Imaging Early Life Cardiovascular Phenotype.早期生命心血管表型的影像学研究。
Circ Res. 2023 Jun 9;132(12):1607-1627. doi: 10.1161/CIRCRESAHA.123.322054. Epub 2023 Jun 8.
8
Metabolically Healthy Obesity Is a Misnomer: Components of the Metabolic Syndrome Linearly Increase with BMI as a Function of Age and Gender.代谢健康型肥胖是一个误称:代谢综合征的组成成分随体重指数(BMI)呈线性增加,且与年龄和性别有关。
Biology (Basel). 2023 May 15;12(5):719. doi: 10.3390/biology12050719.
9
Burden of Cardiovascular Risk in Individuals With Spinal Cord Injury and Its Association With Rehabilitation Outcomes: Results From the Swiss Spinal Cord Injury Cohort.脊髓损伤患者的心血管风险负担及其与康复结局的关系:来自瑞士脊髓损伤队列的研究结果。
Am J Phys Med Rehabil. 2023 Dec 1;102(12):1043-1054. doi: 10.1097/PHM.0000000000002276. Epub 2023 Apr 30.
10
Detecting the skewness of data from the five-number summary and its application in meta-analysis.从五数概括中检测数据的偏度及其在荟萃分析中的应用。
Stat Methods Med Res. 2023 Jul;32(7):1338-1360. doi: 10.1177/09622802231172043. Epub 2023 May 10.