• 文献检索
  • 文档翻译
  • 深度研究
  • 学术资讯
  • Suppr Zotero 插件Zotero 插件
  • 邀请有礼
  • 套餐&价格
  • 历史记录
应用&插件
Suppr Zotero 插件Zotero 插件浏览器插件Mac 客户端Windows 客户端微信小程序
定价
高级版会员购买积分包购买API积分包
服务
文献检索文档翻译深度研究API 文档MCP 服务
关于我们
关于 Suppr公司介绍联系我们用户协议隐私条款
关注我们

Suppr 超能文献

核心技术专利:CN118964589B侵权必究
粤ICP备2023148730 号-1Suppr @ 2026

文献检索

告别复杂PubMed语法,用中文像聊天一样搜索,搜遍4000万医学文献。AI智能推荐,让科研检索更轻松。

立即免费搜索

文件翻译

保留排版,准确专业,支持PDF/Word/PPT等文件格式,支持 12+语言互译。

免费翻译文档

深度研究

AI帮你快速写综述,25分钟生成高质量综述,智能提取关键信息,辅助科研写作。

立即免费体验

预后营养指数与双胎妊娠子痫前期相关。

The prognostic nutritional index is associated with preeclampsia in twin pregnancies.

作者信息

Han Qing, Zheng Shuisen, Chen Xiaoling, Gao Yuting, Zhang Huale, Lin Na

机构信息

College of Clinical Medicine for Obstetrics & Gynecology and Pediatrics, Fujian Medical University, Fuzhou, China.

Department of Obstetrics, Fujian Maternity and Child Health Hospital, Fuzhou, China.

出版信息

BMC Pregnancy Childbirth. 2025 May 14;25(1):568. doi: 10.1186/s12884-025-07669-y.

DOI:10.1186/s12884-025-07669-y
PMID:40369512
原文链接:https://pmc.ncbi.nlm.nih.gov/articles/PMC12076915/
Abstract

OBJECTIVE

We aimed to investigate the relationship between the prognostic nutritional index (PNI) during the third trimester and the risk of preeclampsia (PE) in twin pregnancies.

METHOD

A total of 2998 twin pregnancies were enrolled in Fujian Maternal and Child Health Hospital from January 2015 to December 2021, including preeclampsia group (n = 421) and control group (n = 2577). The significance of the characteristic variables in predicting PE in twin pregnancies were calculated using the random forest algorithm (Boruta package) and the correlation between PNI and PE in twin pregnancies was examined in three distinct models using multivariable logistic regression corrected for confounders. Receiver operating characteristics (ROC) curves were used to evaluate the ability for PNI to predict PE in twin pregnancies.

RESULTS

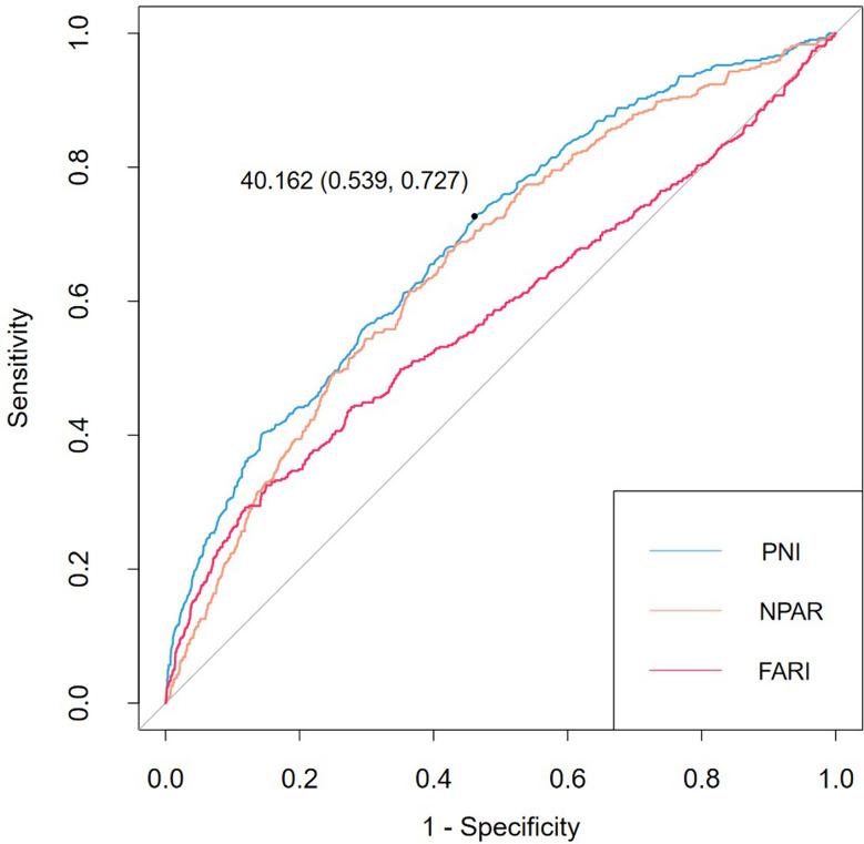
PNI (37.92 ± 3.86 vs. 40.57 ± 3.63, P < 0.001) was significantly lower in the PE group than in the control group. After adjusting for all covariates, the PNI was negatively associated with PE in twin pregnancies (OR = 0.780; 95% CI: 0.753, 0.808). Meanwhile, the higher PNI remained an independent protective factor for PE in twin pregnancies compared to lower PNI (OR, 95% CI: 0.410, 0.438-0.530; 0.144, 0.103-0.201) in sensitivity analysis. ROC curve analysis revealed an area under curve (AUC) of 0.691 for PNI and the cut-off value of PNI was 40.162.

CONCLUSION

PNI was negatively correlated with the risk of PE in twin pregnancies, which may help in risk assessment for twin pregnancies.

CLINICAL TRIAL NUMBER

Not applicable.

摘要

目的

我们旨在研究孕晚期的预后营养指数(PNI)与双胎妊娠先兆子痫(PE)风险之间的关系。

方法

2015年1月至2021年12月期间,共有2998例双胎妊娠纳入福建省妇幼保健院,包括先兆子痫组(n = 421)和对照组(n = 2577)。使用随机森林算法(Boruta软件包)计算特征变量在预测双胎妊娠PE中的意义,并使用校正混杂因素的多变量逻辑回归在三个不同模型中检验双胎妊娠中PNI与PE之间的相关性。采用受试者工作特征(ROC)曲线评估PNI预测双胎妊娠PE的能力。

结果

PE组的PNI(37.92±3.86 vs. 40.57±3.63,P < 0.001)显著低于对照组。在调整所有协变量后,双胎妊娠中PNI与PE呈负相关(OR = 0.780;95%CI:0.753,0.808)。同时,在敏感性分析中,与较低PNI相比,较高的PNI仍然是双胎妊娠中PE的独立保护因素(OR,95%CI:0.410,0.438 - 0.530;0.144,0.103 - 0.201)。ROC曲线分析显示PNI的曲线下面积(AUC)为0.691,PNI的截断值为40.162。

结论

双胎妊娠中PNI与PE风险呈负相关,这可能有助于双胎妊娠的风险评估。

临床试验编号

不适用。

https://cdn.ncbi.nlm.nih.gov/pmc/blobs/db65/12076915/e4d0af58f358/12884_2025_7669_Fig4_HTML.jpg
https://cdn.ncbi.nlm.nih.gov/pmc/blobs/db65/12076915/8cb7aea95a92/12884_2025_7669_Fig1_HTML.jpg
https://cdn.ncbi.nlm.nih.gov/pmc/blobs/db65/12076915/3ac47ac6f806/12884_2025_7669_Fig2_HTML.jpg
https://cdn.ncbi.nlm.nih.gov/pmc/blobs/db65/12076915/f99153f14fb0/12884_2025_7669_Fig3_HTML.jpg
https://cdn.ncbi.nlm.nih.gov/pmc/blobs/db65/12076915/e4d0af58f358/12884_2025_7669_Fig4_HTML.jpg
https://cdn.ncbi.nlm.nih.gov/pmc/blobs/db65/12076915/8cb7aea95a92/12884_2025_7669_Fig1_HTML.jpg
https://cdn.ncbi.nlm.nih.gov/pmc/blobs/db65/12076915/3ac47ac6f806/12884_2025_7669_Fig2_HTML.jpg
https://cdn.ncbi.nlm.nih.gov/pmc/blobs/db65/12076915/f99153f14fb0/12884_2025_7669_Fig3_HTML.jpg
https://cdn.ncbi.nlm.nih.gov/pmc/blobs/db65/12076915/e4d0af58f358/12884_2025_7669_Fig4_HTML.jpg

相似文献

1
The prognostic nutritional index is associated with preeclampsia in twin pregnancies.预后营养指数与双胎妊娠子痫前期相关。
BMC Pregnancy Childbirth. 2025 May 14;25(1):568. doi: 10.1186/s12884-025-07669-y.
2
Low Prognostic Nutritional Index Contributes to High Adverse Events in Preeclampsia.低预后营养指数与子痫前期的高不良事件有关。
Dis Markers. 2022 Oct 11;2022:1187742. doi: 10.1155/2022/1187742. eCollection 2022.
3
Revised competing-risks model in screening for pre-eclampsia in twin pregnancy by maternal characteristics and medical history.基于母体特征和病史的双胞胎妊娠子痫前期筛查的校正竞争风险模型。
Ultrasound Obstet Gynecol. 2019 Nov;54(5):617-624. doi: 10.1002/uog.20411. Epub 2019 Oct 14.
4
Predictive value of urine misfolded protein in preeclampsia in twin pregnancies.双胎妊娠子痫前期中尿中错误折叠蛋白的预测价值
Arch Gynecol Obstet. 2024 Dec;310(6):2879-2887. doi: 10.1007/s00404-024-07769-8. Epub 2024 Nov 20.
5
Derivation and external validation of prediction model for hypertensive disorders of pregnancy in twin pregnancies: a retrospective cohort study in southeastern China.双胎妊娠中妊娠期高血压疾病预测模型的推导与外部验证:中国东南部的一项回顾性队列研究
BMJ Open. 2024 Dec 3;14(12):e083654. doi: 10.1136/bmjopen-2023-083654.
6
Impact factors and obstetric outcomes of preeclampsia in twin pregnancies by prepregnancy body mass index: a six-year retrospective cohort study.孕前 BMI 对双胎妊娠子痫前期的影响因素及母婴结局:一项六年回顾性队列研究。
J Matern Fetal Neonatal Med. 2024 Dec;37(1):2345294. doi: 10.1080/14767058.2024.2345294. Epub 2024 Apr 24.
7
Can maternal inflammatory and nutritional status, evaluated by the hemoglobin, albumin, lymphocyte, and platelet (HALP) score and the prognostic nutritional index (PNI) in the first trimester, predict late-onset fetal growth restriction?孕早期通过血红蛋白、白蛋白、淋巴细胞和血小板(HALP)评分及预后营养指数(PNI)评估的母体炎症和营养状况能否预测晚期胎儿生长受限?
BMC Pregnancy Childbirth. 2024 Oct 1;24(1):620. doi: 10.1186/s12884-024-06811-6.
8
The impact of maternal serum biomarkers on maternal and neonatal outcomes in twin pregnancies: a retrospective cohort study conducted at a tertiary hospital.母体血清生物标志物对双胎妊娠母婴结局的影响:在一家三级医院进行的回顾性队列研究。
PeerJ. 2024 Oct 28;12:e18415. doi: 10.7717/peerj.18415. eCollection 2024.
9
Validation of competing-risks model in screening for pre-eclampsia in twin pregnancy by maternal factors.用母体因素对双胎妊娠子痫前期进行筛查的竞争风险模型的验证。
Ultrasound Obstet Gynecol. 2019 May;53(5):649-654. doi: 10.1002/uog.20265.
10
Pregnancy outcomes and risk factors for preeclampsia in dichorionic twin pregnancies after in vitro fertilization: a five-year retrospective study.体外受精后双绒毛膜性双胎妊娠子痫前期的妊娠结局和危险因素:一项五年回顾性研究。
BMC Pregnancy Childbirth. 2022 Nov 10;22(1):830. doi: 10.1186/s12884-022-05184-y.

本文引用的文献

1
The relationship between early-onset preeclampsia and the prognostic nutritional index and inflammatory markers.早发型子痫前期与预后营养指数和炎症标志物的关系。
J Obstet Gynaecol. 2024 Dec;44(1):2408680. doi: 10.1080/01443615.2024.2408680. Epub 2024 Oct 8.
2
Can maternal inflammatory and nutritional status, evaluated by the hemoglobin, albumin, lymphocyte, and platelet (HALP) score and the prognostic nutritional index (PNI) in the first trimester, predict late-onset fetal growth restriction?孕早期通过血红蛋白、白蛋白、淋巴细胞和血小板(HALP)评分及预后营养指数(PNI)评估的母体炎症和营养状况能否预测晚期胎儿生长受限?
BMC Pregnancy Childbirth. 2024 Oct 1;24(1):620. doi: 10.1186/s12884-024-06811-6.
3
Associations of prognostic nutritional index with risk of all-cause and cardiovascular disease mortalities in persons with gestational diabetes mellitus: A NHANES-based analysis.
基于 NHANES 的分析:预后营养指数与妊娠糖尿病患者全因和心血管疾病死亡率风险的相关性。
Diab Vasc Dis Res. 2024 Sep-Oct;21(5):14791641241284409. doi: 10.1177/14791641241284409.
4
Preeclampsia epidemiology(ies) and pathophysiology(ies).子痫前期的流行病学和病理生理学。
Best Pract Res Clin Obstet Gynaecol. 2024 Jun;94:102480. doi: 10.1016/j.bpobgyn.2024.102480. Epub 2024 Feb 22.
5
The role of first trimester serum inflammatory indexes (NLR, PLR, MLR, SII, SIRI, and PIV) and the β-hCG to PAPP-A ratio in predicting preeclampsia.孕早期血清炎症指标(中性粒细胞与淋巴细胞比值、血小板与淋巴细胞比值、单核细胞与淋巴细胞比值、全身免疫炎症指数、系统性免疫炎症反应指数和血小板炎症值)及β-人绒毛膜促性腺激素与妊娠相关血浆蛋白A比值在预测子痫前期中的作用。
J Reprod Immunol. 2024 Mar;162:104190. doi: 10.1016/j.jri.2023.104190. Epub 2023 Dec 30.
6
Cholesterol-modified prognostic nutritional index (CPNI) as an effective tool for assessing the nutrition status and predicting survival in patients with breast cancer.胆固醇修饰的预后营养指数(CPNI)作为一种有效的评估乳腺癌患者营养状况和预测生存的工具。
BMC Med. 2023 Dec 21;21(1):512. doi: 10.1186/s12916-023-03225-7.
7
Role of neutrophil / lymphocyte ratio, uric acid / albumin ratio and uric acid / creatinine ratio as predictors to severity of preeclampsia.中性粒细胞/淋巴细胞比值、尿酸/白蛋白比值和尿酸/肌酐比值在预测子痫前期严重程度中的作用。
BMC Pregnancy Childbirth. 2023 Oct 30;23(1):763. doi: 10.1186/s12884-023-06083-6.
8
Investigations of leukocyte and inflammatory markers in pregnancies complicated by preeclampsia.探讨子痫前期妊娠中白细胞和炎症标志物的变化。
J Reprod Immunol. 2023 Dec;160:104163. doi: 10.1016/j.jri.2023.104163. Epub 2023 Oct 9.
9
Prognostic nutritional index as a prognostic biomarker for gastrointestinal cancer patients treated with immune checkpoint inhibitors.预后营养指数作为免疫检查点抑制剂治疗胃肠道癌症患者的预后生物标志物。
Front Immunol. 2023 Jul 21;14:1219929. doi: 10.3389/fimmu.2023.1219929. eCollection 2023.
10
A novel role of prognostic nutritional index in predicting the effectiveness of infliximab in Crohn's disease.预后营养指数在预测英夫利昔单抗治疗克罗恩病疗效中的新作用。
Ann Med. 2023 Dec;55(1):2236011. doi: 10.1080/07853890.2023.2236011.