• 文献检索
  • 文档翻译
  • 深度研究
  • 学术资讯
  • Suppr Zotero 插件Zotero 插件
  • 邀请有礼
  • 套餐&价格
  • 历史记录
应用&插件
Suppr Zotero 插件Zotero 插件浏览器插件Mac 客户端Windows 客户端微信小程序
定价
高级版会员购买积分包购买API积分包
服务
文献检索文档翻译深度研究API 文档MCP 服务
关于我们
关于 Suppr公司介绍联系我们用户协议隐私条款
关注我们

Suppr 超能文献

核心技术专利:CN118964589B侵权必究
粤ICP备2023148730 号-1Suppr @ 2026

文献检索

告别复杂PubMed语法,用中文像聊天一样搜索,搜遍4000万医学文献。AI智能推荐,让科研检索更轻松。

立即免费搜索

文件翻译

保留排版,准确专业,支持PDF/Word/PPT等文件格式,支持 12+语言互译。

免费翻译文档

深度研究

AI帮你快速写综述,25分钟生成高质量综述,智能提取关键信息,辅助科研写作。

立即免费体验

糖尿病危重症患者糖化血红蛋白指数与心肌梗死的相关性:一项基于MIMIC-IV的回顾性研究

Association between hemoglobin glycation index and myocardial infarction in critically ill patients with diabetes mellitus: a retrospective study based on MIMIC-IV.

作者信息

Gao Dongmei, Wang Aiping

机构信息

Department of Endocrinology, The First People's Hospital of Yuhang District, No.1260, Kangliang Street, Liangzhu Street, Hangzhou, 311100, Zhejiang, China.

Department of Emergency Medicine, Hospital of Traditional Chinese Medicine of Songyang, No. 5 Zhonglou Road, Songyang, Lishui, 323400, Zhejiang, China.

出版信息

BMC Cardiovasc Disord. 2025 May 15;25(1):368. doi: 10.1186/s12872-025-04742-4.

DOI:10.1186/s12872-025-04742-4
PMID:40375098
原文链接:https://pmc.ncbi.nlm.nih.gov/articles/PMC12079926/
Abstract

BACKGROUND

The hemoglobin glycation index (HGI), which quantifies the difference between observed and predicted hemoglobin A1c (HbA1c) levels, has been linked to adverse outcomes. However, its relationship with myocardial infarction (MI) in patients with diabetes mellitus (DM) remains unexplored. This study aimed to investigate the association between HGI and MI incidence in critically ill patients with diabetes mellitus (DM) using data from the MIMIC-IV database.

METHODS

Linear regression analysis of HbA1c and fasting blood glucose levels was conducted to calculate HGI. Subsequently, differences in MI incidence across HGI quartiles were assessed using the Kaplan-Meier survival analysis, with the log-rank test applied. Cox proportional hazards models and restricted cubic spline (RCS) analyses were conducted to estimate hazard ratios (HRs) for MI risk across HGI quartiles, with Q1 as the reference.

RESULTS

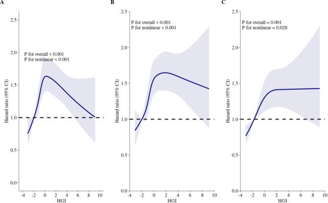
A total of 8,055 DM patients with an initial ICU admission exceeding 24 h were included, with 21.5% of them presenting MI. Compared to HGI Q1 (-3.81, -1.236), the risk of MI increased by 1.26 times in Q2 (HR: 1.26, 95% confidence interval [CI]: 1.10-1.45), 1.48 times in Q3 (HR: 1.48, 95% CI: 1.29-1.69), and 1.39 times in Q4 (HR: 1.39, 95% CI: 1.21-1.60). RCS analysis showed a nonlinear positive association between HGI and outcome events that remained consistent across different subgroups as the stratified analysis suggested.

CONCLUSION

A significant correlation was revealed between HGI and the risk of MI in patients with DM, especially among those with elevated HGI levels, suggesting that HGI may serve as a potential biomarker for assessing MI risk in this population.

摘要

背景

血红蛋白糖化指数(HGI)用于量化观察到的和预测的糖化血红蛋白(HbA1c)水平之间的差异,它与不良结局相关。然而,其与糖尿病(DM)患者心肌梗死(MI)的关系仍未得到探索。本研究旨在利用多中心重症监护医学信息数据库(MIMIC-IV)的数据,调查危重症糖尿病患者中HGI与MI发生率之间的关联。

方法

对HbA1c和空腹血糖水平进行线性回归分析以计算HGI。随后,使用Kaplan-Meier生存分析评估HGI四分位数间MI发生率的差异,并应用对数秩检验。进行Cox比例风险模型和受限立方样条(RCS)分析,以估计HGI四分位数间MI风险的风险比(HR),以第一四分位数(Q1)作为对照。

结果

共纳入8055例首次入住重症监护病房(ICU)超过24小时的DM患者,其中21.5%发生MI。与HGI Q1(-3.81,-1.236)相比,MI风险在Q2增加了1.26倍(HR:1.26,95%置信区间[CI]:1.10-1.45),在Q3增加了1.48倍(HR:1.48,95%CI:1.29-1.69),在Q4增加了1.39倍(HR:1.39,95%CI:1.21-1.60)。RCS分析显示HGI与结局事件之间存在非线性正相关,分层分析表明这种相关性在不同亚组中保持一致。

结论

研究揭示了DM患者中HGI与MI风险之间存在显著相关性,尤其是在HGI水平升高的患者中,这表明HGI可能作为评估该人群MI风险的潜在生物标志物。

https://cdn.ncbi.nlm.nih.gov/pmc/blobs/d20e/12079926/723cce96f69d/12872_2025_4742_Fig5_HTML.jpg
https://cdn.ncbi.nlm.nih.gov/pmc/blobs/d20e/12079926/56646970c852/12872_2025_4742_Fig1_HTML.jpg
https://cdn.ncbi.nlm.nih.gov/pmc/blobs/d20e/12079926/b9618151ccae/12872_2025_4742_Fig2_HTML.jpg
https://cdn.ncbi.nlm.nih.gov/pmc/blobs/d20e/12079926/570d07e90345/12872_2025_4742_Fig3_HTML.jpg
https://cdn.ncbi.nlm.nih.gov/pmc/blobs/d20e/12079926/0ac33c8ec525/12872_2025_4742_Fig4_HTML.jpg
https://cdn.ncbi.nlm.nih.gov/pmc/blobs/d20e/12079926/723cce96f69d/12872_2025_4742_Fig5_HTML.jpg
https://cdn.ncbi.nlm.nih.gov/pmc/blobs/d20e/12079926/56646970c852/12872_2025_4742_Fig1_HTML.jpg
https://cdn.ncbi.nlm.nih.gov/pmc/blobs/d20e/12079926/b9618151ccae/12872_2025_4742_Fig2_HTML.jpg
https://cdn.ncbi.nlm.nih.gov/pmc/blobs/d20e/12079926/570d07e90345/12872_2025_4742_Fig3_HTML.jpg
https://cdn.ncbi.nlm.nih.gov/pmc/blobs/d20e/12079926/0ac33c8ec525/12872_2025_4742_Fig4_HTML.jpg
https://cdn.ncbi.nlm.nih.gov/pmc/blobs/d20e/12079926/723cce96f69d/12872_2025_4742_Fig5_HTML.jpg

相似文献

1
Association between hemoglobin glycation index and myocardial infarction in critically ill patients with diabetes mellitus: a retrospective study based on MIMIC-IV.糖尿病危重症患者糖化血红蛋白指数与心肌梗死的相关性:一项基于MIMIC-IV的回顾性研究
BMC Cardiovasc Disord. 2025 May 15;25(1):368. doi: 10.1186/s12872-025-04742-4.
2
Association between hemoglobin glycation index and adverse outcomes in critically ill patients with myocardial infarction: A retrospective cohort study.血红蛋白糖化指数与急性心肌梗死重症患者不良结局之间的关联:一项回顾性队列研究。
Nutr Metab Cardiovasc Dis. 2025 Jun;35(6):103973. doi: 10.1016/j.numecd.2025.103973. Epub 2025 Mar 8.
3
The relationship between hemoglobin glycation index and all-cause mortality in ill critically patients with heart failure: a retrospective study in MIMIC-IV database.危重症心力衰竭患者血红蛋白糖化指数与全因死亡率的关系:一项基于MIMIC-IV数据库的回顾性研究
BMC Cardiovasc Disord. 2025 Apr 24;25(1):317. doi: 10.1186/s12872-025-04711-x.
4
Association between hemoglobin glycation index and poor prognosis in patients with AKI: a retrospective cohort analysis of the MIMIC-IV database.急性肾损伤患者血红蛋白糖化指数与不良预后的关联:基于MIMIC-IV数据库的回顾性队列分析
Ren Fail. 2025 Dec;47(1):2499232. doi: 10.1080/0886022X.2025.2499232. Epub 2025 May 13.
5
Risk analysis of the association between different hemoglobin glycation index and poor prognosis in critical patients with coronary heart disease-A study based on the MIMIC-IV database.不同糖化血红蛋白指标与冠心病危重症患者预后不良的关联风险分析——基于 MIMIC-IV 数据库的研究。
Cardiovasc Diabetol. 2024 Mar 30;23(1):113. doi: 10.1186/s12933-024-02206-1.
6
Risk and mediation analyses of hemoglobin glycation index and survival prognosis in patients with sepsis.血红蛋白糖基化指数与脓毒症患者生存预后的风险和中介分析。
Clin Exp Med. 2024 Aug 7;24(1):183. doi: 10.1007/s10238-024-01450-9.
7
Hemoglobin glycation index and cardiovascular outcomes in patients with diabetes and coronary artery disease: insights from a large cohort study.血红蛋白糖化指数与合并冠心病的糖尿病患者心血管结局:一项大型队列研究的启示。
Nutr Diabetes. 2024 Aug 28;14(1):69. doi: 10.1038/s41387-024-00318-x.
8
Combined glycated hemoglobin index and red cell distribution width predict in-hospital mortality in critically ill sepsis patients based on MIMIC-IV analysis.基于MIMIC-IV分析,糖化血红蛋白指数与红细胞分布宽度联合预测重症脓毒症患者的院内死亡率。
Sci Rep. 2025 Apr 10;15(1):12266. doi: 10.1038/s41598-025-94179-8.
9
The haemoglobin glycation index as predictor of diabetes-related complications in the AleCardio trial.在AleCardio试验中,血红蛋白糖化指数作为糖尿病相关并发症的预测指标。
Eur J Prev Cardiol. 2017 May;24(8):858-866. doi: 10.1177/2047487317692664. Epub 2017 Feb 10.
10
Impact of glycemic control metrics on short- and long-term mortality in transcatheter aortic valve replacement patients: a retrospective cohort study from the MIMIC-IV database.血糖控制指标对经导管主动脉瓣置换术患者短期和长期死亡率的影响:一项来自MIMIC-IV数据库的回顾性队列研究
Cardiovasc Diabetol. 2025 Mar 22;24(1):135. doi: 10.1186/s12933-025-02684-x.

本文引用的文献

1
Diabetes Mellitus and Cardiovascular Disease: Exploring Epidemiology, Pathophysiology, and Treatment Strategies.糖尿病与心血管疾病:探索流行病学、病理生理学及治疗策略
Rev Cardiovasc Med. 2024 Dec 11;25(12):436. doi: 10.31083/j.rcm2512436. eCollection 2024 Dec.
2
Guidelines and Recommendations for Laboratory Analysis in the Diagnosis and Management of Diabetes Mellitus.糖尿病诊断和管理中实验室分析的指南和建议。
Clin Chem. 2023 Aug 2;69(8):808-868. doi: 10.1093/clinchem/hvad080.
3
Association between hemoglobin glycation index and 5-year major adverse cardiovascular events: the REACTION cohort study.
糖化血红蛋白指数与 5 年主要不良心血管事件的关联:REACTION 队列研究。
Chin Med J (Engl). 2023 Oct 20;136(20):2468-2475. doi: 10.1097/CM9.0000000000002717. Epub 2023 Jun 2.
4
The global prevalence of myocardial infarction: a systematic review and meta-analysis.全球心肌梗死的患病率:一项系统评价和荟萃分析。
BMC Cardiovasc Disord. 2023 Apr 22;23(1):206. doi: 10.1186/s12872-023-03231-w.
5
Prognostic implications of stress hyperglycemia ratio in patients with myocardial infarction with nonobstructive coronary arteries.应激性高血糖比值对非阻塞性冠状动脉心肌梗死患者预后的影响。
Ann Med. 2023 Dec;55(1):990-999. doi: 10.1080/07853890.2023.2186479.
6
MIMIC-IV, a freely accessible electronic health record dataset.MIMIC-IV,一个可自由访问的电子健康记录数据集。
Sci Data. 2023 Jan 3;10(1):1. doi: 10.1038/s41597-022-01899-x.
7
Continuous glucose monitoring and metrics for clinical trials: an international consensus statement.连续血糖监测及其临床试验指标:国际共识声明。
Lancet Diabetes Endocrinol. 2023 Jan;11(1):42-57. doi: 10.1016/S2213-8587(22)00319-9. Epub 2022 Dec 6.
8
Interpretation of HbA1c lies at the intersection of analytical methodology, clinical biochemistry and hematology (Review).糖化血红蛋白(HbA1c)的解读处于分析方法学、临床生物化学和血液学的交叉点(综述)。
Exp Ther Med. 2022 Oct 4;24(6):707. doi: 10.3892/etm.2022.11643. eCollection 2022 Dec.
9
Variation in the hemoglobin glycation index.血红蛋白糖化指数的变化。
J Diabetes Complications. 2022 Jul;36(7):108223. doi: 10.1016/j.jdiacomp.2022.108223. Epub 2022 Jun 2.
10
American Heart Association's Life's Simple 7: Lifestyle Recommendations, Polygenic Risk, and Lifetime Risk of Coronary Heart Disease.美国心脏协会的生命简单 7 项:生活方式建议、多基因风险和冠心病终生风险。
Circulation. 2022 Mar 15;145(11):808-818. doi: 10.1161/CIRCULATIONAHA.121.053730. Epub 2022 Jan 31.