• 文献检索
  • 文档翻译
  • 深度研究
  • 学术资讯
  • Suppr Zotero 插件Zotero 插件
  • 邀请有礼
  • 套餐&价格
  • 历史记录
应用&插件
Suppr Zotero 插件Zotero 插件浏览器插件Mac 客户端Windows 客户端微信小程序
定价
高级版会员购买积分包购买API积分包
服务
文献检索文档翻译深度研究API 文档MCP 服务
关于我们
关于 Suppr公司介绍联系我们用户协议隐私条款
关注我们

Suppr 超能文献

核心技术专利:CN118964589B侵权必究
粤ICP备2023148730 号-1Suppr @ 2026

文献检索

告别复杂PubMed语法,用中文像聊天一样搜索,搜遍4000万医学文献。AI智能推荐,让科研检索更轻松。

立即免费搜索

文件翻译

保留排版,准确专业,支持PDF/Word/PPT等文件格式,支持 12+语言互译。

免费翻译文档

深度研究

AI帮你快速写综述,25分钟生成高质量综述,智能提取关键信息,辅助科研写作。

立即免费体验

多基因风险评分预测准确性的收敛性。

Polygenic risk score prediction accuracy convergence.

作者信息

Henches Léo, Kim Jihye, Yang Zhiyu, Rubinacci Simone, Pires Gabriel, Albiñana Clara, Boetto Christophe, Julienne Hanna, Frouin Arthur, Auvergne Antoine, Suzuki Yuka, Djebali Sarah, Delaneau Olivier, Ganna Andrea, Vilhjálmsson Bjarni, Privé Florian, Aschard Hugues

机构信息

Institut Pasteur, Université de Paris, Department of Computational Biology, 75015 Paris, France.

Department of Epidemiology, Harvard T.H. Chan School of Public Health, Boston, MA, USA.

出版信息

HGG Adv. 2025 May 14;6(3):100457. doi: 10.1016/j.xhgg.2025.100457.

DOI:10.1016/j.xhgg.2025.100457
PMID:40375557
原文链接:https://pmc.ncbi.nlm.nih.gov/articles/PMC12167061/
Abstract

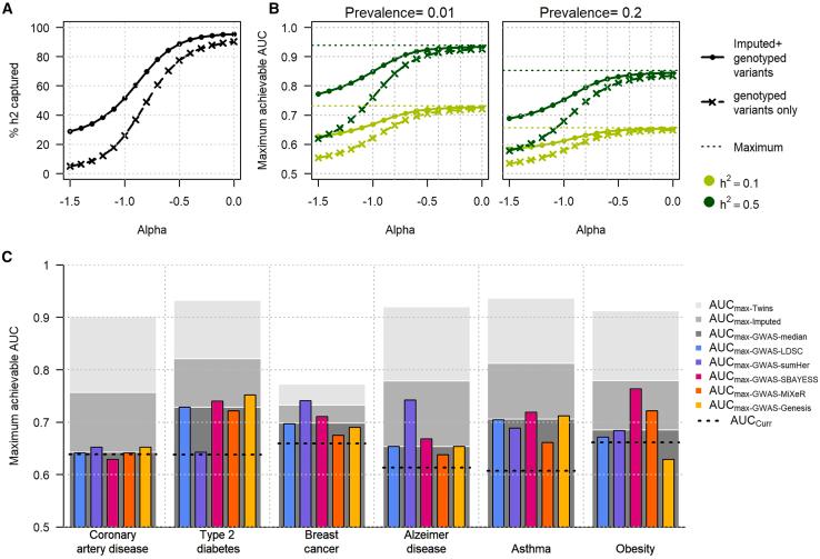
Polygenic risk scores (PRSs) models trained from genome-wide association study (GWAS) results are set to play a pivotal role in biomedical research addressing multifactorial human diseases. The prospect of using these risk scores in clinical care and public health is generating both enthusiasm and controversy, with varying opinions among experts about their strengths and limitations. The performance of existing polygenic scores is still limited but is expected to improve with increasing GWAS sample sizes and the development of new, more powerful methods. Theoretically, the variance explained by PRS can be as high as the total additive genetic variance, but it is unclear how much of that variance has already been captured by PRS. Here, we conducted a retrospective analysis to assess progress in PRS prediction accuracy since the publication of the first large-scale GWASs, using data from six common human diseases with sufficient GWAS information. We show that although PRS accuracy has grown rapidly over the years, the pace of improvement from recent GWAS has decreased substantially, suggesting that merely increasing GWAS sample sizes may lead to only modest improvements in risk discrimination. We next investigated the factors influencing the maximum achievable prediction using whole-genome sequencing data from 125,000 UK Biobank participants and state-of-the-art modeling of polygenic outcomes. Our analyses suggest that increasing the variant coverage of PRS, using either more imputed variants or sequencing data, is a key component for future improvements in prediction accuracy.

摘要

从全基因组关联研究(GWAS)结果训练而来的多基因风险评分(PRSs)模型,注定要在针对多因素人类疾病的生物医学研究中发挥关键作用。在临床护理和公共卫生中使用这些风险评分的前景,既引发了热情,也带来了争议,专家们对其优势和局限性看法不一。现有多基因评分的性能仍然有限,但随着GWAS样本量的增加以及新的、更强大方法的开发,有望得到改善。理论上,PRS解释的方差可以高达总加性遗传方差,但尚不清楚PRS已经捕获了其中多少方差。在此,我们进行了一项回顾性分析,利用来自六种具有足够GWAS信息的常见人类疾病的数据,评估自首批大规模GWAS发表以来PRS预测准确性的进展。我们表明,尽管多年来PRS准确性迅速提高,但近期GWAS的改善速度已大幅下降,这表明仅仅增加GWAS样本量可能只会带来风险辨别方面的适度改善。接下来,我们利用来自125,000名英国生物银行参与者的全基因组测序数据和多基因结果的先进建模,研究了影响最大可实现预测的因素。我们的分析表明,使用更多的推算变异或测序数据来增加PRS的变异覆盖率,是未来提高预测准确性的关键因素。

https://cdn.ncbi.nlm.nih.gov/pmc/blobs/1a60/12167061/a64723b6c7b3/gr4.jpg
https://cdn.ncbi.nlm.nih.gov/pmc/blobs/1a60/12167061/41a686d97bcb/gr1.jpg
https://cdn.ncbi.nlm.nih.gov/pmc/blobs/1a60/12167061/4b35a477c6d0/gr2.jpg
https://cdn.ncbi.nlm.nih.gov/pmc/blobs/1a60/12167061/a1146f747a47/gr3.jpg
https://cdn.ncbi.nlm.nih.gov/pmc/blobs/1a60/12167061/a64723b6c7b3/gr4.jpg
https://cdn.ncbi.nlm.nih.gov/pmc/blobs/1a60/12167061/41a686d97bcb/gr1.jpg
https://cdn.ncbi.nlm.nih.gov/pmc/blobs/1a60/12167061/4b35a477c6d0/gr2.jpg
https://cdn.ncbi.nlm.nih.gov/pmc/blobs/1a60/12167061/a1146f747a47/gr3.jpg
https://cdn.ncbi.nlm.nih.gov/pmc/blobs/1a60/12167061/a64723b6c7b3/gr4.jpg

相似文献

1
Polygenic risk score prediction accuracy convergence.多基因风险评分预测准确性的收敛性。
HGG Adv. 2025 May 14;6(3):100457. doi: 10.1016/j.xhgg.2025.100457.
2
Comparison of Two Modern Survival Prediction Tools, SORG-MLA and METSSS, in Patients With Symptomatic Long-bone Metastases Who Underwent Local Treatment With Surgery Followed by Radiotherapy and With Radiotherapy Alone.两种现代生存预测工具 SORG-MLA 和 METSSS 在接受手术联合放疗和单纯放疗治疗有症状长骨转移患者中的比较。
Clin Orthop Relat Res. 2024 Dec 1;482(12):2193-2208. doi: 10.1097/CORR.0000000000003185. Epub 2024 Jul 23.
3
The Black Book of Psychotropic Dosing and Monitoring.《精神药物剂量与监测黑皮书》
Psychopharmacol Bull. 2024 Jul 8;54(3):8-59.
4
Toward whole-genome inference of polygenic scores with fast and memory-efficient algorithms.使用快速且内存高效的算法进行多基因评分的全基因组推断。
Am J Hum Genet. 2025 May 20. doi: 10.1016/j.ajhg.2025.05.002.
5
Falls prevention interventions for community-dwelling older adults: systematic review and meta-analysis of benefits, harms, and patient values and preferences.社区居住的老年人跌倒预防干预措施:系统评价和荟萃分析的益处、危害以及患者的价值观和偏好。
Syst Rev. 2024 Nov 26;13(1):289. doi: 10.1186/s13643-024-02681-3.
6
Phenome-wide association study identifies multiple traits associated with a polygenic risk score for colorectal cancer.全表型关联研究确定了与结直肠癌多基因风险评分相关的多个性状。
Hum Genomics. 2025 Jul 9;19(1):77. doi: 10.1186/s40246-025-00791-0.
7
Genome-wide polygenic risk scores predict risk of glioma and molecular subtypes.全基因组多基因风险评分可预测胶质瘤风险及分子亚型。
Neuro Oncol. 2024 Oct 3;26(10):1933-1944. doi: 10.1093/neuonc/noae112.
8
Polygenic Risk Score-Based Association Analysis Identifies Genetic Comorbidities Associated with Age-Related Hearing Difficulty in Two Independent Samples.基于多基因风险评分的关联分析确定了与两个独立样本中年龄相关性听力困难相关的遗传共病。
J Assoc Res Otolaryngol. 2024 Aug;25(4):387-406. doi: 10.1007/s10162-024-00947-0. Epub 2024 May 23.
9
Surveillance of Barrett's oesophagus: exploring the uncertainty through systematic review, expert workshop and economic modelling.巴雷特食管的监测:通过系统评价、专家研讨会和经济模型探索不确定性
Health Technol Assess. 2006 Mar;10(8):1-142, iii-iv. doi: 10.3310/hta10080.
10
Exercise interventions and patient beliefs for people with hip, knee or hip and knee osteoarthritis: a mixed methods review.髋、膝或髋膝骨关节炎患者的运动干预和患者信念:一项混合方法综述
Cochrane Database Syst Rev. 2018 Apr 17;4(4):CD010842. doi: 10.1002/14651858.CD010842.pub2.

本文引用的文献

1
Phenotype integration improves power and preserves specificity in biobank-based genetic studies of major depressive disorder.表型整合提高了基于生物库的重度抑郁症遗传研究的功效并保持了特异性。
Nat Genet. 2023 Dec;55(12):2082-2093. doi: 10.1038/s41588-023-01559-9. Epub 2023 Nov 20.
2
Performance of polygenic risk scores in screening, prediction, and risk stratification: secondary analysis of data in the Polygenic Score Catalog.多基因风险评分在筛查、预测和风险分层中的表现:多基因评分目录中数据的二次分析
BMJ Med. 2023 Oct 17;2(1):e000554. doi: 10.1136/bmjmed-2023-000554. eCollection 2023.
3
A new method for multiancestry polygenic prediction improves performance across diverse populations.
一种新的多祖先多基因预测方法可提高不同人群的性能。
Nat Genet. 2023 Oct;55(10):1757-1768. doi: 10.1038/s41588-023-01501-z. Epub 2023 Sep 25.
4
Multi-PGS enhances polygenic prediction by combining 937 polygenic scores.多基因评分聚合(Multi-PGS)通过整合 937 个多基因评分来增强多基因预测。
Nat Commun. 2023 Aug 5;14(1):4702. doi: 10.1038/s41467-023-40330-w.
5
Polygenic scoring accuracy varies across the genetic ancestry continuum.多基因评分准确性在遗传祖先连续体上有所差异。
Nature. 2023 Jun;618(7966):774-781. doi: 10.1038/s41586-023-06079-4. Epub 2023 May 17.
6
Multi-ancestry meta-analysis of asthma identifies novel associations and highlights the value of increased power and diversity.哮喘的多血统荟萃分析确定了新的关联,并凸显了增强效能和多样性的价值。
Cell Genom. 2022 Nov 8;2(12):100212. doi: 10.1016/j.xgen.2022.100212. eCollection 2022 Dec 14.
7
Global Biobank analyses provide lessons for developing polygenic risk scores across diverse cohorts.全球生物样本库分析为在不同队列中开发多基因风险评分提供了经验教训。
Cell Genom. 2023 Jan 4;3(1):100241. doi: 10.1016/j.xgen.2022.100241. eCollection 2023 Jan 11.
8
Polygenic architecture of rare coding variation across 394,783 exomes.394,783 个外显子中罕见编码变异的多基因结构。
Nature. 2023 Feb;614(7948):492-499. doi: 10.1038/s41586-022-05684-z. Epub 2023 Feb 8.
9
Discovery and systematic characterization of risk variants and genes for coronary artery disease in over a million participants.在超过 100 万名参与者中发现并系统地描述了冠心病的风险变异和基因。
Nat Genet. 2022 Dec;54(12):1803-1815. doi: 10.1038/s41588-022-01233-6. Epub 2022 Dec 6.
10
Identifying and correcting for misspecifications in GWAS summary statistics and polygenic scores.识别并校正全基因组关联研究汇总统计数据和多基因评分中的错误设定。
HGG Adv. 2022 Aug 18;3(4):100136. doi: 10.1016/j.xhgg.2022.100136. eCollection 2022 Oct 13.