• 文献检索
  • 文档翻译
  • 深度研究
  • 学术资讯
  • Suppr Zotero 插件Zotero 插件
  • 邀请有礼
  • 套餐&价格
  • 历史记录
应用&插件
Suppr Zotero 插件Zotero 插件浏览器插件Mac 客户端Windows 客户端微信小程序
定价
高级版会员购买积分包购买API积分包
服务
文献检索文档翻译深度研究API 文档MCP 服务
关于我们
关于 Suppr公司介绍联系我们用户协议隐私条款
关注我们

Suppr 超能文献

核心技术专利:CN118964589B侵权必究
粤ICP备2023148730 号-1Suppr @ 2026

文献检索

告别复杂PubMed语法,用中文像聊天一样搜索,搜遍4000万医学文献。AI智能推荐,让科研检索更轻松。

立即免费搜索

文件翻译

保留排版,准确专业,支持PDF/Word/PPT等文件格式,支持 12+语言互译。

免费翻译文档

深度研究

AI帮你快速写综述,25分钟生成高质量综述,智能提取关键信息,辅助科研写作。

立即免费体验

探索老年人血清尿酸与高密度脂蛋白胆固醇比值和肥胖之间的非线性关系:一项横断面研究。

Exploring the nonlinear relationship between serum uric acid to high-density lipoprotein cholesterol ratio and obesity in older adults: a cross-sectional study.

作者信息

Wang Fanchang, Qiao Hongyang, Zheng Yi, Zheng Yating, Ni Yuxin, He Xiaoming

机构信息

The Second Clinical Medical College of Zhejiang Chinese Medical University, Hangzhou, China.

The First Affiliated Hospital of Wenzhou Medical University, Wenzhou, China.

出版信息

Front Public Health. 2025 May 1;13:1587194. doi: 10.3389/fpubh.2025.1587194. eCollection 2025.

DOI:10.3389/fpubh.2025.1587194
PMID:40376050
原文链接:https://pmc.ncbi.nlm.nih.gov/articles/PMC12078289/
Abstract

BACKGROUND

The prevalence of obesity, a common metabolic disorder, has been increasing annually, particularly in older adults. This trend poses a significant socioeconomic burden. The uric acid to high-density lipoprotein cholesterol ratio (UHR) was defined by dividing UA (mg/dL) by HDL-C (mg/dL) and multiplying by 100%. According to recent clinical research, UHR has emerged as a potential innovative indicator in metabolic status evaluation, supported by contemporary biomarker research. This cross-sectional study investigated the association between the UHR index and obesity prevalence among older Americans.

OBJECTIVE

This cross-sectional research employed nationally representative survey data to Examine the connection between the UHR index and obesity among older individuals aged 60 and above.

METHODS

This study utilized data from the National Health and Nutrition Examination Survey (NHANES) spanning 2011 to 2016. Individuals who were 60 years old or older were included in the study ( = 3,822). The relationship between UHR levels and obesity (as measured by a body mass index of 30 kg/m or greater or a waist-to-height ratio (WHtR) ≥0.5) was investigated using weighted multivariable logistic regression analyses, with adjustments made for sociodemographic characteristics, behavioral patterns, and clinical covariates, adjusting for sociodemographic, behavioral, and clinical covariates. Restricted cubic spline, ROC curves, threshold analysis, and subgroup analysis were also used.

RESULT

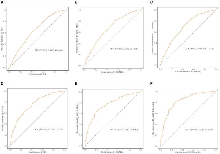
After full adjustment for confounders, UHR was positively associated with the risk of obesity as defined by BMI (highest quartile vs. lowest quartile: OR = 6.13, 95% CI = 4.01-9.39; -trend < 0.001) and UHR was positively associated with the risk of obesity as defined by WHtR (highest quartile vs. lowest quartile: OR = 20.21, 95% CI = 8.33-49.02; -trend < 0.001). In addition, The restricted cubic spline analysis uncovered a nonlinear dose-response relationship (P < 0.01), and threshold analysis found inflection points of -2.485 in obesity defined by BMI and -2.503 in WHtR. Subgroup analyses showed that the association between UHR and obesity in older Americans was consistent across subgroups, demonstrating high reliability (all P-interaction > 0.05). The AUC for UHR predicting obesity defined by BMI was calculated to be 0.65 (95% CI = 0.63-0.66). The UHR predicted AUC for obesity as defined by men's body mass index (BMI) was 0.67 (95% CI = 0.65-0.70). UHR predicted an AUC of 0.69 (95% CI = 0.67-0.72) for obesity defined by body mass index (BMI) in females. The AUC for UHR predicting obesity defined by WHtR was calculated to be 0.75 (95% CI = 0.72-0.78). UHR predicted an AUC of 0.76 (95% CI = 0.72-0.80) for obesity defined by WHtR in males, and UHR predicted an AUC of 0.83 (95% CI = 0.79-0.87) for obesity defined by WHtR in females.

CONCLUSION

The findings demonstrate a notable positive correlation between UHR and obesity in older adults, with this association remaining evident following adjustment for multiple confounding variables. These results imply that systematic evaluation of UHR levels could serve as an effective strategy for proactively detecting populations susceptible to obesity-related metabolic disorders.

https://cdn.ncbi.nlm.nih.gov/pmc/blobs/6187/12078289/7d72c9c92cff/fpubh-13-1587194-g0003.jpg
https://cdn.ncbi.nlm.nih.gov/pmc/blobs/6187/12078289/3ce6349eda13/fpubh-13-1587194-g0001.jpg
https://cdn.ncbi.nlm.nih.gov/pmc/blobs/6187/12078289/0ce98ada8578/fpubh-13-1587194-g0002.jpg
https://cdn.ncbi.nlm.nih.gov/pmc/blobs/6187/12078289/7d72c9c92cff/fpubh-13-1587194-g0003.jpg
https://cdn.ncbi.nlm.nih.gov/pmc/blobs/6187/12078289/3ce6349eda13/fpubh-13-1587194-g0001.jpg
https://cdn.ncbi.nlm.nih.gov/pmc/blobs/6187/12078289/0ce98ada8578/fpubh-13-1587194-g0002.jpg
https://cdn.ncbi.nlm.nih.gov/pmc/blobs/6187/12078289/7d72c9c92cff/fpubh-13-1587194-g0003.jpg
摘要

背景

肥胖是一种常见的代谢紊乱疾病,其患病率逐年上升,在老年人中尤为明显。这一趋势带来了巨大的社会经济负担。尿酸与高密度脂蛋白胆固醇比值(UHR)的定义为尿酸(mg/dL)除以高密度脂蛋白胆固醇(mg/dL)再乘以100%。根据最近的临床研究,在当代生物标志物研究的支持下,UHR已成为代谢状态评估中一个潜在的创新指标。这项横断面研究调查了美国老年人中UHR指数与肥胖患病率之间的关联。

目的

这项横断面研究采用具有全国代表性的调查数据,以检验60岁及以上老年人中UHR指数与肥胖之间的联系。

方法

本研究利用了2011年至2016年国家健康与营养检查调查(NHANES)的数据。纳入研究的对象为60岁及以上的个体(n = 3822)。使用加权多变量逻辑回归分析研究UHR水平与肥胖(以体重指数30 kg/m²或更高或腰高比(WHtR)≥0.5衡量)之间的关系,并对社会人口学特征、行为模式和临床协变量进行调整。还使用了受限立方样条、ROC曲线、阈值分析和亚组分析。

结果

在对混杂因素进行全面调整后,UHR与体重指数定义的肥胖风险呈正相关(最高四分位数与最低四分位数相比:OR = 6.13,95%CI = 4.01 - 9.39;P趋势 < 0.001),UHR与腰高比定义的肥胖风险呈正相关(最高四分位数与最低四分位数相比:OR = 20.21,95%CI = 8.33 - 49.02;P趋势 < 0.001)。此外,受限立方样条分析发现了非线性剂量反应关系(P < 0.01),阈值分析发现体重指数定义的肥胖中的拐点为 -2.485,腰高比定义的肥胖中的拐点为 -2.503。亚组分析表明,美国老年人中UHR与肥胖之间的关联在各亚组中是一致的,显示出高度的可靠性(所有P交互作用 > 0.05)。UHR预测体重指数定义的肥胖的AUC计算为0.65(95%CI = 0.63 - 0.66)。UHR预测男性体重指数(BMI)定义的肥胖的AUC为0.67(95%CI = 0.65 - 0.70)。UHR预测女性体重指数(BMI)定义的肥胖的AUC为0.69(95%CI = 0.67 - 0.72)。UHR预测腰高比定义的肥胖的AUC计算为0.75(95%CI = 0.72 - 0.78)。UHR预测男性腰高比定义的肥胖的AUC为0.76(95%CI = 0.72 - 0.80),UHR预测女性腰高比定义的肥胖的AUC为0.83(95%CI = 0.79 - 0.87)。

结论

研究结果表明老年人中UHR与肥胖之间存在显著的正相关,在对多个混杂变量进行调整后这种关联仍然明显。这些结果意味着对UHR水平进行系统评估可以作为一种有效的策略,用于主动检测易患肥胖相关代谢紊乱的人群。

相似文献

1
Exploring the nonlinear relationship between serum uric acid to high-density lipoprotein cholesterol ratio and obesity in older adults: a cross-sectional study.探索老年人血清尿酸与高密度脂蛋白胆固醇比值和肥胖之间的非线性关系:一项横断面研究。
Front Public Health. 2025 May 1;13:1587194. doi: 10.3389/fpubh.2025.1587194. eCollection 2025.
2
Associations of serum uric acid-to-high density lipoprotein cholesterol ratio with age-related diseases and mortality among older population in the United States.美国老年人群中血清尿酸与高密度脂蛋白胆固醇比值与年龄相关疾病及死亡率的关联。
Arch Gerontol Geriatr. 2025 Mar;130:105707. doi: 10.1016/j.archger.2024.105707. Epub 2024 Nov 28.
3
Association between the uric acid-to-HDL-cholesterol ratio (UHR) and the risk of cardiovascular disease and dyslipidemia: a population-based study.尿酸与高密度脂蛋白胆固醇比值(UHR)与心血管疾病及血脂异常风险的关联:一项基于人群的研究。
Lipids Health Dis. 2025 Apr 16;24(1):143. doi: 10.1186/s12944-025-02551-4.
4
The association between uric acid to high-density cholesterol ratio and depression: A population-based cross-sectional study.尿酸与高密度脂蛋白胆固醇比值与抑郁症的关联:一项基于人群的横断面研究。
J Affect Disord. 2025 Jun 15;379:502-509. doi: 10.1016/j.jad.2025.03.023. Epub 2025 Mar 5.
5
Association of serum uric acid to high-density lipoprotein cholesterol ratio with all-cause and cardiovascular mortality in patients with diabetes or prediabetes: a prospective cohort study.糖尿病或糖尿病前期患者血清尿酸与高密度脂蛋白胆固醇比值与全因死亡率和心血管死亡率的关联:一项前瞻性队列研究
Front Endocrinol (Lausanne). 2024 Dec 5;15:1476336. doi: 10.3389/fendo.2024.1476336. eCollection 2024.
6
The potential of the serum uric acid to high-density lipoprotein cholesterol ratio as a predictive biomarker of diabetes risk: a study based on NHANES 2005-2018.血清尿酸与高密度脂蛋白胆固醇比值作为糖尿病风险预测生物标志物的潜力:一项基于2005 - 2018年美国国家健康与营养检查调查(NHANES)的研究
Front Endocrinol (Lausanne). 2025 Jan 23;15:1499417. doi: 10.3389/fendo.2024.1499417. eCollection 2024.
7
Association between serum uric acid-to-high-density lipoprotein cholesterol ratio and insulin resistance in an American population: A population-based analysis.血尿酸与高密度脂蛋白胆固醇比值与美国人群胰岛素抵抗的相关性:基于人群的分析。
J Diabetes Investig. 2024 Jun;15(6):762-771. doi: 10.1111/jdi.14170. Epub 2024 Feb 26.
8
Exploring the relationship between the uric acid to high-density lipoprotein cholesterol ratio and depression: a cross-sectional study from NHANES.探究尿酸与高密度脂蛋白胆固醇比值和抑郁症之间的关系:一项来自美国国家健康与营养检查调查(NHANES)的横断面研究。
Sci Rep. 2024 Dec 30;14(1):32018. doi: 10.1038/s41598-024-83655-2.
9
Association between uric acid/high-density lipoprotein cholesterol ratio and testosterone deficiency in adult American men: findings from the national health and nutrition examination survey 2011-2016.美国成年男性尿酸/高密度脂蛋白胆固醇比值与睾酮缺乏之间的关联:2011 - 2016年国家健康与营养检查调查结果
BMC Public Health. 2025 Mar 10;25(1):939. doi: 10.1186/s12889-025-22194-5.
10
U-shaped association of uric acid to HDL cholesterol ratio (UHR) with ALL-cause and cardiovascular mortality in diabetic patients: NHANES 1999-2018.糖尿病患者中尿酸与高密度脂蛋白胆固醇比值(UHR)与全因死亡率和心血管死亡率的U型关联:1999 - 2018年美国国家健康与营养检查调查(NHANES)
BMC Cardiovasc Disord. 2024 Dec 27;24(1):744. doi: 10.1186/s12872-024-04436-3.

引用本文的文献

1
The association between the uric acid to high-density lipoprotein cholesterol ratio (UHR) index and obesity in postmenopausal women: a cross-sectional analysis based on the NHANES.绝经后女性尿酸与高密度脂蛋白胆固醇比值(UHR)指数与肥胖之间的关联:基于美国国家健康和营养检查调查(NHANES)的横断面分析
Lipids Health Dis. 2025 Sep 5;24(1):277. doi: 10.1186/s12944-025-02715-2.
2
Unveiling the UHR threshold in American adult: a new biomarker for early diabetes detection from NHANES study.揭示美国成年人的超高风险阈值:一项来自美国国家健康与营养检查调查(NHANES)研究的早期糖尿病检测新生物标志物。
BMC Endocr Disord. 2025 Aug 15;25(1):195. doi: 10.1186/s12902-025-02012-0.

本文引用的文献

1
Intra and inter-organ communication through extracellular vesicles in obesity: functional role of obesesomes and steatosomes.肥胖中通过细胞外囊泡进行的器官内和器官间通讯:肥胖小体和脂肪小体的功能作用
J Transl Med. 2025 Feb 20;23(1):207. doi: 10.1186/s12967-024-06024-7.
2
Amelioration of obesity-associated disorders using solanesol with the mitigation of NLRP3 inflammasome activation and macrophage inflammation in adipose tissue.使用茄尼醇改善肥胖相关疾病,减轻脂肪组织中NLRP3炎性小体激活和巨噬细胞炎症。
Food Funct. 2025 Mar 3;16(5):1903-1918. doi: 10.1039/d4fo05586a.
3
Prevalence of complications and comorbidities associated with obesity: a health insurance claims analysis.
肥胖相关并发症和合并症的患病率:一项医疗保险理赔分析。
BMC Public Health. 2025 Jan 22;25(1):273. doi: 10.1186/s12889-024-21061-z.
4
The association between body roundness index and new-onset hyperuricemia in Chinese population: the Kailuan cohort study.中国人群体圆度指数与新发高尿酸血症的关联:开滦队列研究
BMC Public Health. 2025 Jan 17;25(1):205. doi: 10.1186/s12889-025-21440-0.
5
Effect of Diet on HDL in Obesity.饮食对肥胖症患者高密度脂蛋白的影响。
Molecules. 2024 Dec 17;29(24):5955. doi: 10.3390/molecules29245955.
6
Exploring the relationship between the uric acid to high-density lipoprotein cholesterol ratio and depression: a cross-sectional study from NHANES.探究尿酸与高密度脂蛋白胆固醇比值和抑郁症之间的关系:一项来自美国国家健康与营养检查调查(NHANES)的横断面研究。
Sci Rep. 2024 Dec 30;14(1):32018. doi: 10.1038/s41598-024-83655-2.
7
U-shaped association of uric acid to HDL cholesterol ratio (UHR) with ALL-cause and cardiovascular mortality in diabetic patients: NHANES 1999-2018.糖尿病患者中尿酸与高密度脂蛋白胆固醇比值(UHR)与全因死亡率和心血管死亡率的U型关联:1999 - 2018年美国国家健康与营养检查调查(NHANES)
BMC Cardiovasc Disord. 2024 Dec 27;24(1):744. doi: 10.1186/s12872-024-04436-3.
8
Associations of serum uric acid-to-high density lipoprotein cholesterol ratio with age-related diseases and mortality among older population in the United States.美国老年人群中血清尿酸与高密度脂蛋白胆固醇比值与年龄相关疾病及死亡率的关联。
Arch Gerontol Geriatr. 2025 Mar;130:105707. doi: 10.1016/j.archger.2024.105707. Epub 2024 Nov 28.
9
Identification and optimization of relevant factors for chronic kidney disease in abdominal obesity patients by machine learning methods: insights from NHANES 2005-2018.基于机器学习方法识别和优化腹型肥胖患者慢性肾脏病的相关因素:来自 NHANES 2005-2018 的研究结果。
Lipids Health Dis. 2024 Nov 26;23(1):390. doi: 10.1186/s12944-024-02384-7.
10
Estimation of physiological aging based on routine clinical biomarkers: a prospective cohort study in elderly Chinese and the UK Biobank.基于常规临床生物标志物的生理老化估算:一项在中国老年人和英国生物库中的前瞻性队列研究。
BMC Med. 2024 Nov 22;22(1):552. doi: 10.1186/s12916-024-03769-2.