• 文献检索
  • 文档翻译
  • 深度研究
  • 学术资讯
  • Suppr Zotero 插件Zotero 插件
  • 邀请有礼
  • 套餐&价格
  • 历史记录
应用&插件
Suppr Zotero 插件Zotero 插件浏览器插件Mac 客户端Windows 客户端微信小程序
定价
高级版会员购买积分包购买API积分包
服务
文献检索文档翻译深度研究API 文档MCP 服务
关于我们
关于 Suppr公司介绍联系我们用户协议隐私条款
关注我们

Suppr 超能文献

核心技术专利:CN118964589B侵权必究
粤ICP备2023148730 号-1Suppr @ 2026

文献检索

告别复杂PubMed语法,用中文像聊天一样搜索,搜遍4000万医学文献。AI智能推荐,让科研检索更轻松。

立即免费搜索

文件翻译

保留排版,准确专业,支持PDF/Word/PPT等文件格式,支持 12+语言互译。

免费翻译文档

深度研究

AI帮你快速写综述,25分钟生成高质量综述,智能提取关键信息,辅助科研写作。

立即免费体验

柞蚕触角转录组测序以鉴定嗅觉相关基因。

Transcriptome sequencing of Antheraea pernyi antennae for identification of olfactory-related genes.

作者信息

Liu Xueting, Ma Shuwei, Zhang Xinxue, Li Xue, Nie Lei, Wang Guobao

机构信息

College of Biology and Oceanography, Weifang University, No.5147 Dongfeng East Street, Weifang, 261061, China.

Shandong Sericulture Research Institute, Shandong Academy of Agricultural Sciences, Yantai, 264002, China.

出版信息

BMC Genomics. 2025 May 19;26(1):499. doi: 10.1186/s12864-025-11698-4.

DOI:10.1186/s12864-025-11698-4
PMID:40383784
原文链接:https://pmc.ncbi.nlm.nih.gov/articles/PMC12087209/
Abstract

BACKGROUND

In insects, the olfactory system governs physiological and behavioral processes by detecting various odorous molecules. Despite its economic importance and adaptability, the olfactory mechanism of Antheraea pernyi remains insufficiently understood, limiting its potential for pest management and as a model organism. Hence, we aimed to conduct transcriptome sequencing to explore olfactory-related genes in the antennae, serving as the most important olfactory organ in adult A. pernyi.

RESULTS

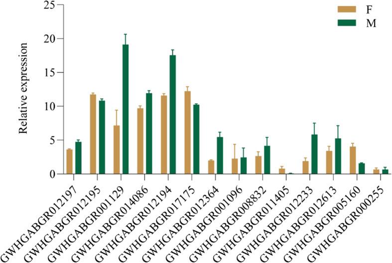
Based on the datasets, 1184 differently expressed genes (DEGs), including 484 upregulated and 700 downregulated genes, were identified by comparing the transcriptome profiles of the male and female antennae of A. pernyi. Moreover, 20, 7, 30, 11, and 2 candidate genes encoding odorant-binding proteins (OBPs), chemosensory proteins (CSPs), odorant receptors (ORs), ionotropic receptors (IRs), and sensory neuron membrane proteins (SNMPs), respectively, involved in pheromone perception, odor binding, pesticide resistance, and growth and development regulation were screened, and most of which were expressed in both male and female antennae while the expression levels of these candidate genes varied significantly between males and females. Multiple sequence alignment indicated that the six OBPs exhibited typical characteristics, containing six conserved Cys residues with the sequence of C1-X-C2-X-C3-X-C4-X-C5-X-C6. All CSPs followed a highly conserved pattern with four Cys residues arranged with an exact spacing of C1-X-C2-X-C3-X-C4. Different numbers of transmembrane domains were found in ORs, IRs, and SNMPs. In addition, several DEGs involve signal transduction underlying chemoreception were also identified from the transcriptome data, including guanine nucleotide-binding protein (G protein), cGMP-dependent protein kinase (PKA), calmodulin-A (CaM-A), mitogen-activated protein kinase 1 (MAPK1), and phospholipase D2 (PLD2).

CONCLUSION

This study enriches the olfactory gene database of A. pernyi, providing insights into olfactory mechanisms crucial for mating and pest control, with implications for enhancing breeding strategies and ensuring the sustainability of the silk industry. These findings may serve as a theoretical foundation for a better understanding of the olfactory mechanisms of A. pernyi.

摘要

背景

在昆虫中,嗅觉系统通过检测各种气味分子来调控生理和行为过程。尽管柞蚕具有经济重要性和适应性,但其嗅觉机制仍未得到充分了解,这限制了其在害虫管理和作为模式生物方面的潜力。因此,我们旨在进行转录组测序,以探索柞蚕成虫最重要的嗅觉器官触角中的嗅觉相关基因。

结果

基于数据集,通过比较柞蚕雌雄触角的转录组图谱,鉴定出1184个差异表达基因(DEG),其中包括484个上调基因和700个下调基因。此外,分别筛选出20、7、30、11和2个参与信息素感知、气味结合、抗药性以及生长发育调控的编码气味结合蛋白(OBP)、化学感受蛋白(CSP)、气味受体(OR)、离子型受体(IR)和感觉神经元膜蛋白(SNMP)的候选基因,其中大多数在雌雄触角中均有表达,但这些候选基因的表达水平在雌雄之间存在显著差异。多序列比对表明,六个OBP具有典型特征,包含六个保守的半胱氨酸残基,序列为C1-X-C2-X-C3-X-C4-X-C5-X-C6。所有CSP都遵循高度保守的模式,有四个半胱氨酸残基,排列方式为C1-X-C2-X-C3-X-C4。在OR、IR和SNMP中发现了不同数量的跨膜结构域。此外,还从转录组数据中鉴定出一些参与化学感受信号转导的DEG,包括鸟嘌呤核苷酸结合蛋白(G蛋白)、环鸟苷酸依赖性蛋白激酶(PKA)、钙调蛋白-A(CaM-A)、丝裂原活化蛋白激酶1(MAPK1)和磷脂酶D2(PLD2)。

结论

本研究丰富了柞蚕的嗅觉基因数据库,为交配和害虫控制的关键嗅觉机制提供了见解,对加强育种策略和确保丝绸产业的可持续性具有重要意义。这些发现可为更好地理解柞蚕的嗅觉机制提供理论基础。

https://cdn.ncbi.nlm.nih.gov/pmc/blobs/abd1/12087209/cca9aef2ad98/12864_2025_11698_Fig7_HTML.jpg
https://cdn.ncbi.nlm.nih.gov/pmc/blobs/abd1/12087209/23b6730e7c2d/12864_2025_11698_Fig1_HTML.jpg
https://cdn.ncbi.nlm.nih.gov/pmc/blobs/abd1/12087209/02b42ca6892a/12864_2025_11698_Fig2_HTML.jpg
https://cdn.ncbi.nlm.nih.gov/pmc/blobs/abd1/12087209/9d28a43dac86/12864_2025_11698_Fig3_HTML.jpg
https://cdn.ncbi.nlm.nih.gov/pmc/blobs/abd1/12087209/5b51da70b5fd/12864_2025_11698_Fig4_HTML.jpg
https://cdn.ncbi.nlm.nih.gov/pmc/blobs/abd1/12087209/441724646e2e/12864_2025_11698_Fig5_HTML.jpg
https://cdn.ncbi.nlm.nih.gov/pmc/blobs/abd1/12087209/6d6185e6d5ed/12864_2025_11698_Fig6_HTML.jpg
https://cdn.ncbi.nlm.nih.gov/pmc/blobs/abd1/12087209/cca9aef2ad98/12864_2025_11698_Fig7_HTML.jpg
https://cdn.ncbi.nlm.nih.gov/pmc/blobs/abd1/12087209/23b6730e7c2d/12864_2025_11698_Fig1_HTML.jpg
https://cdn.ncbi.nlm.nih.gov/pmc/blobs/abd1/12087209/02b42ca6892a/12864_2025_11698_Fig2_HTML.jpg
https://cdn.ncbi.nlm.nih.gov/pmc/blobs/abd1/12087209/9d28a43dac86/12864_2025_11698_Fig3_HTML.jpg
https://cdn.ncbi.nlm.nih.gov/pmc/blobs/abd1/12087209/5b51da70b5fd/12864_2025_11698_Fig4_HTML.jpg
https://cdn.ncbi.nlm.nih.gov/pmc/blobs/abd1/12087209/441724646e2e/12864_2025_11698_Fig5_HTML.jpg
https://cdn.ncbi.nlm.nih.gov/pmc/blobs/abd1/12087209/6d6185e6d5ed/12864_2025_11698_Fig6_HTML.jpg
https://cdn.ncbi.nlm.nih.gov/pmc/blobs/abd1/12087209/cca9aef2ad98/12864_2025_11698_Fig7_HTML.jpg

相似文献

1
Transcriptome sequencing of Antheraea pernyi antennae for identification of olfactory-related genes.柞蚕触角转录组测序以鉴定嗅觉相关基因。
BMC Genomics. 2025 May 19;26(1):499. doi: 10.1186/s12864-025-11698-4.
2
Antennal transcriptome analysis and comparison of olfactory genes in two sympatric defoliators, Dendrolimus houi and Dendrolimus kikuchii (Lepidoptera: Lasiocampidae).同域分布的两种食叶害虫——灰黑马尾松毛虫和思茅松毛虫(鳞翅目:枯叶蛾科)触角转录组分析及嗅觉基因比较
Insect Biochem Mol Biol. 2014 Sep;52:69-81. doi: 10.1016/j.ibmb.2014.06.006. Epub 2014 Jul 3.
3
Identification and characterization of chemosensory genes in the antennal transcriptome of Spodoptera exigua.鉴定和分析甜菜夜蛾触角转录组中的化学感受基因。
Comp Biochem Physiol Part D Genomics Proteomics. 2018 Sep;27:54-65. doi: 10.1016/j.cbd.2018.05.001. Epub 2018 May 7.
4
Antennal transcriptome analyses and olfactory protein identification in an important wood-boring moth pest, Streltzoviella insularis (Lepidoptera: Cossidae).重要蛀干害虫海岛松沫蝉触角转录组分析与嗅觉蛋白鉴定(鳞翅目:沫蝉科)。
Sci Rep. 2019 Nov 29;9(1):17951. doi: 10.1038/s41598-019-54455-w.
5
Identification of chemosensory genes from the antennal transcriptome of Indian meal moth Plodia interpunctella.从印度谷螟Plodia interpunctella触角转录组中鉴定化学感应基因。
PLoS One. 2018 Jan 5;13(1):e0189889. doi: 10.1371/journal.pone.0189889. eCollection 2018.
6
Antennal transcriptome analysis of olfactory genes and tissue expression profiling of odorant binding proteins in Semanotus bifasciatus (cerambycidae: coleoptera).双叉犀金龟触角转录组分析及气味结合蛋白的组织表达谱研究(鞘翅目:金龟子科)。
BMC Genomics. 2022 Jun 22;23(1):461. doi: 10.1186/s12864-022-08655-w.
7
Identification and sex expression profiles of candidate chemosensory genes from Atherigona orientalis via the antennae and leg transcriptome analysis.通过触角和腿转录组分析鉴定东方粘虫候选化学感觉基因及其性别表达特征。
Comp Biochem Physiol Part D Genomics Proteomics. 2024 Jun;50:101222. doi: 10.1016/j.cbd.2024.101222. Epub 2024 Feb 27.
8
Candidate olfactory genes identified in Heortia vitessoides (Lepidoptera: Crambidae) by antennal transcriptome analysis.触角转录组分析鉴定的大蚕蛾(鳞翅目:大蚕蛾科)候选嗅觉基因。
Comp Biochem Physiol Part D Genomics Proteomics. 2019 Mar;29:117-130. doi: 10.1016/j.cbd.2018.11.006. Epub 2018 Nov 7.
9
Molecular characterization and differential expression of olfactory genes in the antennae of the black cutworm moth Agrotis ipsilon.小地老虎蛾触角中嗅觉基因的分子特征及差异表达
PLoS One. 2014 Aug 1;9(8):e103420. doi: 10.1371/journal.pone.0103420. eCollection 2014.
10
Analysis of the Antennal Transcriptome and Insights into Olfactory Genes in Hyphantria cunea (Drury).美国白蛾触角转录组分析及嗅觉基因解析
PLoS One. 2016 Oct 14;11(10):e0164729. doi: 10.1371/journal.pone.0164729. eCollection 2016.

本文引用的文献

1
A larval expressed chemosensory protein involved in recognition of anthocyanins in Spodoptera litura (Lepidoptera: Noctuidae).一种在斜纹夜蛾(鳞翅目:夜蛾科)幼虫中表达的、参与花青素识别的化学感受蛋白。
J Econ Entomol. 2024 Dec 28;117(6):2413-2424. doi: 10.1093/jee/toae239.
2
Genome-wide investigation of the OR gene family in Helicoverpa armigera and functional analysis of OR48 and OR75 in metamorphosis development.鳞翅目昆虫 OR 基因家族的全基因组研究及其在变态发育过程中 OR48 和 OR75 功能分析
Int J Biol Macromol. 2024 Oct;278(Pt 1):134646. doi: 10.1016/j.ijbiomac.2024.134646. Epub 2024 Aug 10.
3
Identification and expression profiles of olfactory-related genes in the antennal transcriptome of Graphosoma rubrolineatum (Hemiptera: Pentatomidae).
鉴定和表达图谱在触角转录组rubrolineatum (半翅目:Pentatomidae )中的嗅觉相关基因。
PLoS One. 2024 Aug 6;19(8):e0306986. doi: 10.1371/journal.pone.0306986. eCollection 2024.
4
Genome-Wide Identification, Evolution, and Female-Biased Expression Analysis of Odorant Receptors in (Lepidoptera: Gelechiidae).麦蛾(鳞翅目:麦蛾科)嗅觉受体的全基因组鉴定、进化及雌性偏向性表达分析
Life (Basel). 2024 Jul 12;14(7):872. doi: 10.3390/life14070872.
5
Antennal transcriptome analysis reveals sensory receptors potentially associated with host detection in the livestock pest Lucilia cuprina.触角转录组分析揭示了在畜牧业害虫丽蝇蛹集金小蜂中可能与宿主探测相关的感觉受体。
Parasit Vectors. 2024 Jul 18;17(1):308. doi: 10.1186/s13071-024-06391-6.
6
Identification of candidate chemosensory genes in the antennal transcriptome of Monolepta signata.鉴定单齿切叶蚁触角转录组中的候选化学感受基因。
PLoS One. 2024 Jun 7;19(6):e0301177. doi: 10.1371/journal.pone.0301177. eCollection 2024.
7
Genomic identification and evolutionary analysis of chemosensory receptor gene families in two Phthorimaea pest species: insights into chemical ecology and host adaptation.两种番茄夜蛾化学感受受体基因家族的基因组鉴定与进化分析:对化学生态学和寄主适应性的深入了解。
BMC Genomics. 2024 May 18;25(1):493. doi: 10.1186/s12864-024-10428-6.
8
Antennal transcriptome analysis of Psyttalia incisi (silvestri) (Hymenoptera: Braconidae): identification and tissue expression profiling of candidate odorant-binding protein genes.切割潜蝇茧蜂(西尔维斯特里)(膜翅目:茧蜂科)触角转录组分析:候选气味结合蛋白基因的鉴定与组织表达谱分析
Mol Biol Rep. 2024 Feb 23;51(1):333. doi: 10.1007/s11033-024-09281-3.
9
A female-specific odorant receptor mediates oviposition deterrence in the moth Helicoverpa armigera.一种雌性特异性气味受体介导棉铃虫的产卵抑制作用。
Curr Biol. 2024 Jan 8;34(1):1-11.e4. doi: 10.1016/j.cub.2023.11.026. Epub 2023 Dec 12.
10
Transcriptome analysis used to identify and characterize odorant binding proteins in Agasicles hygrophila (Coleoptera: Chryspmelidae).利用转录组分析鉴定和描述美洲芫菁(鞘翅目:芫菁科)中的气味结合蛋白。
J Insect Sci. 2023 Sep 1;23(5). doi: 10.1093/jisesa/iead081.