Suppr超能文献

为何在使用电子健康记录数据进行纵向分析时应提取推荐就诊间隔:考察就诊机制及评估敏感性并非随机。

Why Recommended Visit Intervals Should Be Extracted When Conducting Longitudinal Analyses Using Electronic Health Record Data: Examining Visit Mechanism and Sensitivity to Assessment Not at Random.

作者信息

Garrett Rose H, Patel Masum, Feldman Brian M, Pullenayegum Eleanor M

机构信息

Child Health Evaluative Sciences, The Hospital for Sick Children, Toronto, Ontario, Canada.

Division of Biostatistics, Dalla Lana School of Public Health, University of Toronto, Toronto, Ontario, Canada.

出版信息

Stat Med. 2025 May;44(10-12):e70094. doi: 10.1002/sim.70094.

Abstract

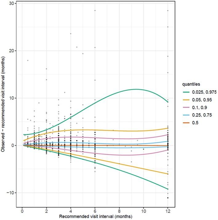
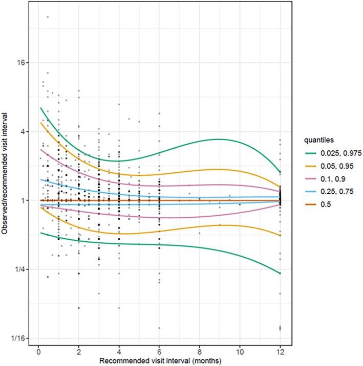
Electronic health records (EHRs) provide an efficient approach to generating rich longitudinal datasets. However, since patients visit as needed, the assessment times are typically irregular and may be related to the patient's health. Failing to account for this informative assessment process could result in biased estimates of the disease course. In this paper, we show how estimation of the disease trajectory can be enhanced by leveraging an underutilized piece of information that is often in the patient's EHR: physician-recommended intervals between visits. Specifically, we demonstrate how recommended intervals can be used in characterizing the assessment process and in investigating the sensitivity of the results to assessment not at random (ANAR). We illustrate our proposed approach in a clinic-based cohort study of juvenile dermatomyositis (JDM). In this study, we found that the recommended intervals explained 78% of the variability in the assessment times. Under a specific case of ANAR where we assumed that a worsening in disease led to patients visiting earlier than recommended, the estimated population average disease activity trajectory was shifted downward relative to the trajectory assuming assessment at random. These results demonstrate the crucial role recommended intervals play in improving the rigor of the analysis by allowing us to assess both the plausibility of the AAR assumption and the sensitivity of the results to departures from this assumption. Thus, we advise that studies using irregular longitudinal data should extract recommended visit intervals and follow our procedure for incorporating them into analyses.

摘要

电子健康记录(EHRs)为生成丰富的纵向数据集提供了一种有效的方法。然而,由于患者根据需要就诊,评估时间通常不规律,且可能与患者的健康状况有关。如果不考虑这种信息丰富的评估过程,可能会导致对疾病病程的估计出现偏差。在本文中,我们展示了如何通过利用患者电子健康记录中经常未被充分利用的一条信息来增强对疾病轨迹的估计:医生建议的就诊间隔时间。具体而言,我们展示了推荐间隔时间如何用于刻画评估过程以及研究结果对非随机评估(ANAR)的敏感性。我们在一项基于诊所的青少年皮肌炎(JDM)队列研究中阐述了我们提出的方法。在这项研究中,我们发现推荐间隔时间解释了评估时间变异性的78%。在一种特定的非随机评估情况下,即我们假设疾病恶化导致患者比建议时间更早就诊,相对于随机评估假设下的轨迹,估计的总体平均疾病活动轨迹向下偏移。这些结果表明,推荐间隔时间在提高分析的严谨性方面发挥着关键作用,因为它使我们能够评估非随机评估假设的合理性以及结果对偏离该假设的敏感性。因此,我们建议使用不规则纵向数据的研究应提取推荐就诊间隔时间,并遵循我们将其纳入分析的程序。

https://cdn.ncbi.nlm.nih.gov/pmc/blobs/b420/12086963/f22cd108b1d9/SIM-44-0-g009.jpg

文献AI研究员

20分钟写一篇综述,助力文献阅读效率提升50倍。

立即体验

用中文搜PubMed

大模型驱动的PubMed中文搜索引擎

马上搜索

文档翻译

学术文献翻译模型,支持多种主流文档格式。

立即体验