• 文献检索
  • 文档翻译
  • 深度研究
  • 学术资讯
  • Suppr Zotero 插件Zotero 插件
  • 邀请有礼
  • 套餐&价格
  • 历史记录
应用&插件
Suppr Zotero 插件Zotero 插件浏览器插件Mac 客户端Windows 客户端微信小程序
定价
高级版会员购买积分包购买API积分包
服务
文献检索文档翻译深度研究API 文档MCP 服务
关于我们
关于 Suppr公司介绍联系我们用户协议隐私条款
关注我们

Suppr 超能文献

核心技术专利:CN118964589B侵权必究
粤ICP备2023148730 号-1Suppr @ 2026

文献检索

告别复杂PubMed语法,用中文像聊天一样搜索,搜遍4000万医学文献。AI智能推荐,让科研检索更轻松。

立即免费搜索

文件翻译

保留排版,准确专业,支持PDF/Word/PPT等文件格式,支持 12+语言互译。

免费翻译文档

深度研究

AI帮你快速写综述,25分钟生成高质量综述,智能提取关键信息,辅助科研写作。

立即免费体验

HSiO + H反应体系的速率常数与能量学:RP-VTST/MT和VRC计算

Rate Constants and Energetics of the HSiO + H Reaction System: RP-VTST/MT and VRC Calculations.

作者信息

Pontes Marcelo André Petry, de Carvalho Edson Firmino Viana, Ferrão Luiz Fernando de Araujo, Machado Francisco Bolivar Correto, Roberto-Neto Orlando

机构信息

Departamento de Química, Instituto Tecnológico da Aeronáutica, São José dos Campos, São Paulo, Brazil.

Laboratório de Computação Científica Avançada e Modelamento (Lab - CCAM), Instituto Tecnológico da Aeronáutica, São José dos Campos, São Paulo, Brazil.

出版信息

J Comput Chem. 2025 May 30;46(14):e70115. doi: 10.1002/jcc.70115.

DOI:10.1002/jcc.70115
PMID:40387097
原文链接:https://pmc.ncbi.nlm.nih.gov/articles/PMC12087265/
Abstract

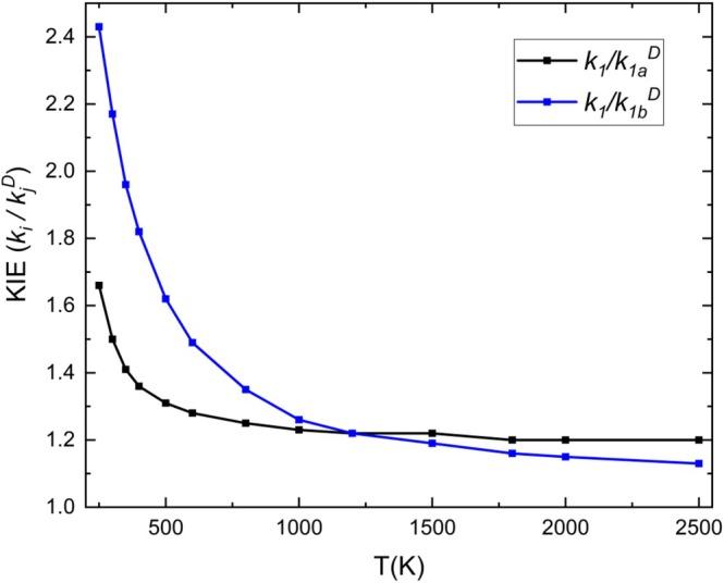
Silaformaldehyde (HSiO) is one of the components of the kinetics roadmap of silane oxidation. For this species, kinetics decomposition is related to three elementary reactions, that is, H + HSiO → H + HSiO (R1), H + HSiO → HSiOH (R2), and H + HSiO → HSiO (R3). To improve the kinetics of these reaction systems, accurate energetics were computed with the ωB97X-D and CCSD(T) methods, and the rate constants were determined using CVT methods with multidimensional tunneling. KIEs were also determined for (R1), which is an important path at high temperatures. At the ωB97X-D/aug-cc-pVTZ level, the value of electronic barrier height is 4.5, 5.2, and 0.4 kcal mol for (R1), (R2), and (R3), respectively. In addition to the characterization of the elementary reactions, a mechanism consisting of all interconnected reactions was characterized by using the energy-grained master equation approach to determine the phenomenological rate constants for the formation of products and the time evolution of the species. Up to 500 K, the main reaction product is HSiOH, while the bimolecular products H + HSiO dominate at higher temperatures.

摘要

硅甲醛(HSiO)是硅烷氧化动力学路径的组成部分之一。对于该物种,动力学分解与三个基元反应有关,即H + HSiO → H + HSiO(R1)、H + HSiO → HSiOH(R2)和H + HSiO → HSiO(R3)。为了改进这些反应体系的动力学,采用ωB97X-D和CCSD(T)方法计算了精确的能量,并使用具有多维隧穿的变分过渡态理论(CVT)方法确定了速率常数。还确定了高温下重要路径(R1)的动力学同位素效应(KIEs)。在ωB97X-D/aug-cc-pVTZ水平下,(R1)、(R2)和(R3)的电子势垒高度值分别为4.5、5.2和0.4 kcal mol⁻¹。除了对基元反应进行表征外,还使用能量粒度主方程方法对由所有相互关联反应组成的机理进行了表征,以确定产物形成的唯象速率常数和物种的时间演化。在高达500 K的温度下,主要反应产物是HSiOH,但在较高温度下双分子产物H + HSiO占主导。

https://cdn.ncbi.nlm.nih.gov/pmc/blobs/3bf0/12087265/1442848bfda8/JCC-46-0-g005.jpg
https://cdn.ncbi.nlm.nih.gov/pmc/blobs/3bf0/12087265/24bc79b396db/JCC-46-0-g001.jpg
https://cdn.ncbi.nlm.nih.gov/pmc/blobs/3bf0/12087265/24100c96f59c/JCC-46-0-g004.jpg
https://cdn.ncbi.nlm.nih.gov/pmc/blobs/3bf0/12087265/6533ef44a5cc/JCC-46-0-g003.jpg
https://cdn.ncbi.nlm.nih.gov/pmc/blobs/3bf0/12087265/ed0cd20ce873/JCC-46-0-g007.jpg
https://cdn.ncbi.nlm.nih.gov/pmc/blobs/3bf0/12087265/a87117b41c09/JCC-46-0-g006.jpg
https://cdn.ncbi.nlm.nih.gov/pmc/blobs/3bf0/12087265/1442848bfda8/JCC-46-0-g005.jpg
https://cdn.ncbi.nlm.nih.gov/pmc/blobs/3bf0/12087265/24bc79b396db/JCC-46-0-g001.jpg
https://cdn.ncbi.nlm.nih.gov/pmc/blobs/3bf0/12087265/24100c96f59c/JCC-46-0-g004.jpg
https://cdn.ncbi.nlm.nih.gov/pmc/blobs/3bf0/12087265/6533ef44a5cc/JCC-46-0-g003.jpg
https://cdn.ncbi.nlm.nih.gov/pmc/blobs/3bf0/12087265/ed0cd20ce873/JCC-46-0-g007.jpg
https://cdn.ncbi.nlm.nih.gov/pmc/blobs/3bf0/12087265/a87117b41c09/JCC-46-0-g006.jpg
https://cdn.ncbi.nlm.nih.gov/pmc/blobs/3bf0/12087265/1442848bfda8/JCC-46-0-g005.jpg

相似文献

1
Rate Constants and Energetics of the HSiO + H Reaction System: RP-VTST/MT and VRC Calculations.HSiO + H反应体系的速率常数与能量学:RP-VTST/MT和VRC计算
J Comput Chem. 2025 May 30;46(14):e70115. doi: 10.1002/jcc.70115.
2
Thermal rate constants and kinetic isotope effects of the H + HO reactions: barrier height and reaction energy from single- and multireference methods.H + HO反应的热速率常数和动力学同位素效应:单参考和多参考方法计算的势垒高度和反应能量
J Mol Model. 2024 Apr 25;30(5):147. doi: 10.1007/s00894-024-05931-2.
3
Hydrogen Atom Abstraction Reaction from Silane with Hydrogen and Methyl Radicals: Rate Constants and Kinetic Isotopic Effects.硅烷与氢自由基和甲基自由基的氢原子提取反应:速率常数和动力学同位素效应
J Phys Chem A. 2024 Dec 12;128(49):10489-10497. doi: 10.1021/acs.jpca.4c05382. Epub 2024 Nov 29.
4
Ab Initio Chemical Kinetics for the CH3 + O((3)P) Reaction and Related Isomerization-Decomposition of CH3O and CH2OH Radicals.CH3 + O((3)P)反应及CH3O和CH2OH自由基相关异构化-分解反应的从头算化学动力学
J Phys Chem A. 2015 Jul 16;119(28):7404-17. doi: 10.1021/acs.jpca.5b00553. Epub 2015 Mar 24.
5
Effects of multidimensional tunneling in the kinetics of hydrogen abstraction reactions of O ( P) with CH OCHO.O(P)与CH₂OCHO氢提取反应动力学中多维隧穿的影响
J Comput Chem. 2018 Jul 30;39(20):1424-1432. doi: 10.1002/jcc.25211. Epub 2018 Apr 1.
6
Investigation of product formation in the H + HC = C = CH reaction: a comparison of experimental and theoretical kinetics.H + HC = C = CH反应中产物生成的研究:实验动力学与理论动力学的比较
J Mol Model. 2025 Mar 8;31(4):110. doi: 10.1007/s00894-025-06325-8.
7
Kinetic Analysis for Reaction of Cyclopentadiene with Hydroperoxyl Radical under Low- and Medium-Temperature Combustion.低温及中温燃烧条件下环戊二烯与氢过氧自由基反应的动力学分析
J Phys Chem A. 2020 Oct 8;124(40):8280-8291. doi: 10.1021/acs.jpca.0c02882. Epub 2020 Sep 23.
8
A kinetic and mechanistic study of the self-reaction between two propargyl radicals.两个炔丙基自由基之间自反应的动力学和机理研究。
J Mol Model. 2024 Nov 5;30(12):394. doi: 10.1007/s00894-024-06191-w.
9
Thermochemical and kinetics studies of the CH3SH+S (3P) hydrogen abstraction and insertion reactions.CH₃SH 与 S(³P) 的氢提取和插入反应的热化学及动力学研究。
J Mol Model. 2014 Sep;20(9):2449. doi: 10.1007/s00894-014-2449-4. Epub 2014 Sep 10.
10
High temperature shock tube and theoretical studies on the thermal decomposition of dimethyl carbonate and its bimolecular reactions with H and D-atoms.高温激波管以及碳酸二甲酯热分解及其与氢原子和氘原子双分子反应的理论研究
J Phys Chem A. 2013 May 9;117(18):3718-28. doi: 10.1021/jp312643k. Epub 2013 Apr 25.

本文引用的文献

1
Effects of multidimensional tunneling in the kinetics of hydrogen abstraction reactions of O ( P) with CH OCHO.O(P)与CH₂OCHO氢提取反应动力学中多维隧穿的影响
J Comput Chem. 2018 Jul 30;39(20):1424-1432. doi: 10.1002/jcc.25211. Epub 2018 Apr 1.
2
Least-Action Tunneling Transmission Coefficient for Polyatomic Reactions.多原子反应的最小作用量隧穿传输系数
J Chem Theory Comput. 2010 Jan 12;6(1):6-17. doi: 10.1021/ct900420e.
3
MESMER: an open-source master equation solver for multi-energy well reactions.MESMER:用于多能量阱反应的开源主方程求解器。
J Phys Chem A. 2012 Sep 27;116(38):9545-60. doi: 10.1021/jp3051033. Epub 2012 Sep 12.
4
Kinetics of hydrogen-transfer isomerizations of butoxyl radicals.丁氧基自由基的氢转移异构化动力学。
Phys Chem Chem Phys. 2010 Jul 28;12(28):7782-93. doi: 10.1039/b927504e. Epub 2010 May 25.
5
Long-range corrected hybrid density functionals with damped atom-atom dispersion corrections.具有阻尼原子-原子色散校正的长程校正杂化密度泛函
Phys Chem Chem Phys. 2008 Nov 28;10(44):6615-20. doi: 10.1039/b810189b. Epub 2008 Sep 29.
6
Density functional study of methyl radical association kinetics.甲基自由基缔合动力学的密度泛函研究
J Phys Chem A. 2008 Nov 20;112(46):11509-13. doi: 10.1021/jp806617m. Epub 2008 Oct 25.
7
Master equation methods for multiple well systems: application to the 1-,2-pentyl system.多阱系统的主方程方法:应用于1,2 - 戊基系统
Phys Chem Chem Phys. 2007 Aug 21;9(31):4085-97. doi: 10.1039/b704736c. Epub 2007 Jun 25.
8
Gaussian-4 theory.高斯-4理论
J Chem Phys. 2007 Feb 28;126(8):084108. doi: 10.1063/1.2436888.