Suppr超能文献

预测子宫内膜癌的复发风险:一种基于多序列MRI肿瘤内及肿瘤周围影像组学列线图的方法。

Predicting recurrence risk in endometrial cancer: a multisequence MRI intratumoral and peritumoral radiomics nomogram approach.

作者信息

Li Jie, Ma Dianpei, Chen Xiuting, Wei Junting, Xu Jiali, Zhao Yingming, Gao Zhizhen

机构信息

School of Medical Imaging, Bengbu Medical University, Bengbu, Anhui, China.

Department of Radiology, The First Affiliated Hospital of Bengbu Medical University, Bengbu, Anhui, China.

出版信息

Front Oncol. 2025 May 6;15:1569729. doi: 10.3389/fonc.2025.1569729. eCollection 2025.

Abstract

OBJECTIVE

To assess the predictive value of a nomogram model incorporating clinical factors and multisequence MRI intratumoral and peritumoral radiomics features for estimating recurrence risk in endometrial cancer (EC) patients.

MATERIALS AND METHODS

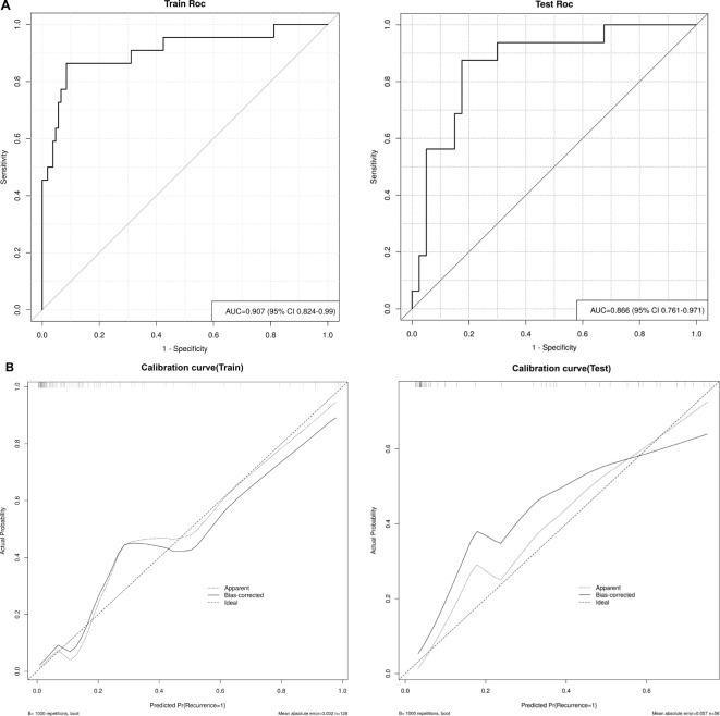
This retrospective study included 184 patients with EC. The samples were randomly divided into a training set and a test set according to a 7:3 ratio, and intratumoral and peritumoral radiomics features were extracted from diffusion-weighted imaging (DWI) and T2-weighted imaging (T2WI) sequences. Optimal radiomics features were selected using the f-classification function, minimum redundancy maximum relevance (mRMR) method, and least absolute shrinkage and selection operator (Lasso). Nine machine learning classifiers were employed to construct the intratumoral model (RM1). The best-performing classifiers were then used to develop the intratumoral and peritumoral 2 mm radiomics model (RM2) and the intratumoral and peritumoral 4 mm radiomics model (RM3). The radiomics scores (Rad-score) from the top-performing radiomics model were combined with clinical factors to create the nomogram model (FM). The predictive performance of the FM model was evaluated using receiver operating characteristic (ROC) curve analysis, calibration curve assessment, clinical decision curve analysis (DCA), clinical impact curve (CIC), and the DeLong test. Feature importance analysis using the SHapley Additive exPlanations (SHAP) methodology.

RESULTS

The logistic regression classifier (LR) showed optimal predictive efficacy, and RM2 demonstrated the best diagnostic performance. The clinical decision curve and DeLong test results indicated that the FM model was the optimal recurrence model in EC patients.

CONCLUSION

A nomogram model integrating MRI radiomics features from intratumoral and peritumoral regions and clinical factors effectively predicts recurrence in EC patients.

摘要

目的

评估一种结合临床因素以及多序列MRI肿瘤内和肿瘤周围影像组学特征的列线图模型对子宫内膜癌(EC)患者复发风险的预测价值。

材料与方法

这项回顾性研究纳入了184例EC患者。样本按照7:3的比例随机分为训练集和测试集,并从扩散加权成像(DWI)和T2加权成像(T2WI)序列中提取肿瘤内和肿瘤周围的影像组学特征。使用f分类函数、最小冗余最大相关(mRMR)方法和最小绝对收缩和选择算子(Lasso)选择最佳影像组学特征。采用9种机器学习分类器构建肿瘤内模型(RM1)。然后使用表现最佳的分类器开发肿瘤内和肿瘤周围2mm影像组学模型(RM2)以及肿瘤内和肿瘤周围4mm影像组学模型(RM3)。将表现最佳的影像组学模型的影像组学评分(Rad-score)与临床因素相结合,创建列线图模型(FM)。使用受试者工作特征(ROC)曲线分析、校准曲线评估、临床决策曲线分析(DCA)、临床影响曲线(CIC)和德龙检验评估FM模型的预测性能。使用SHapley加性解释(SHAP)方法进行特征重要性分析。

结果

逻辑回归分类器(LR)显示出最佳预测效能,RM2表现出最佳诊断性能。临床决策曲线和德龙检验结果表明,FM模型是EC患者的最佳复发模型。

结论

一种整合肿瘤内和肿瘤周围区域的MRI影像组学特征以及临床因素的列线图模型能够有效预测EC患者的复发情况。

https://cdn.ncbi.nlm.nih.gov/pmc/blobs/fd75/12088970/86c1483b68e3/fonc-15-1569729-g001.jpg

文献检索

告别复杂PubMed语法,用中文像聊天一样搜索,搜遍4000万医学文献。AI智能推荐,让科研检索更轻松。

立即免费搜索

文件翻译

保留排版,准确专业,支持PDF/Word/PPT等文件格式,支持 12+语言互译。

免费翻译文档

深度研究

AI帮你快速写综述,25分钟生成高质量综述,智能提取关键信息,辅助科研写作。

立即免费体验