Suppr超能文献

新生儿囊性纤维化筛查与最低医疗成本相关:法国一项为期10年的观察性随访研究

Newborn Screening for Cystic Fibrosis Is Associated With the Lowest Healthcare Costs: A 10-Year Observational Follow-Up Study in France.

作者信息

Guyot Erika, Deygas Floriane, Belhassen Manon, Berard Marjorie, Van Ganse Eric, Sermet-Gaudelus Isabelle, Tiaiba Sabrine, Dubus Jean-Christophe, Durieu Isabelle, Reix Philippe

机构信息

PELyon, PharmacoEpidémiologie Lyon, Lyon, France.

RESearch on HealthcAre PErformance (RESHAPE), INSERM U1290, Université Claude Bernard Lyon 1, Lyon, France.

出版信息

Pediatr Pulmonol. 2025 May;60(5):e71134. doi: 10.1002/ppul.71134.

Abstract

OBJECTIVES

This study aims to study the healthcare (HC) costs associated with cystic fibrosis (CF) in children diagnosed prenatally (ANT), through newborn screening (NBS), after birth due to meconium ileus (MI), or later based on symptoms (LS). Additionally, it seeks to clinically characterize children with CF (chCF) with different trajectories of HC costs.

STUDY DESIGN

A retrospective observational study was conducted on data from the French CF Registry (FCFR) and the French National Claims Database (SNDS) linked from 2006 to 2021. HC costs related to CF diagnosis circumstances were estimated per year of life among chCF up to age 10. Group-based trajectory modeling was performed to identify subgroups with similar cost trajectories.

RESULTS

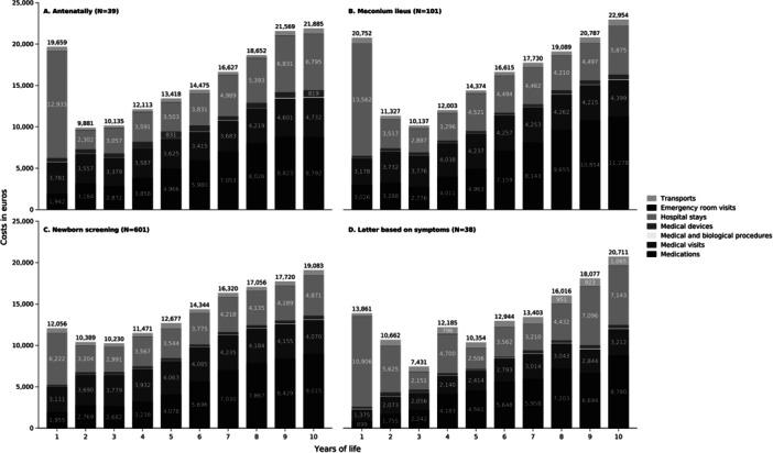
Between 2006 and 2011, data from 1065 chCF were recorded in the FCFR. Nine hundred seventy-three (91.4%) were matched with SNDS, and 779 (73.1%) had at least 10 years of follow-up. During the first year, HC costs of chCF diagnosed with NBS were lower than for those diagnosed with MI and ANT (all p < 0.05). However, by the tenth year HC were no longer different between groups. Three groups with different cost trajectories were identified. Groups with the highest costs had a lower lung function at 6 and 10 years and the lowest weight and height z-scores at 2 and 10 years (all p < 0.05).

CONCLUSION

NBS is associated with the lowest HC costs during the first year of life.

摘要

目的

本研究旨在探讨产前诊断(ANT)、通过新生儿筛查(NBS)、出生后因胎粪性肠梗阻(MI)诊断或后期基于症状诊断(LS)的儿童囊性纤维化(CF)相关的医疗保健(HC)费用。此外,该研究还试图对具有不同HC费用轨迹的CF患儿(chCF)进行临床特征描述。

研究设计

对2006年至2021年法国CF注册中心(FCFR)和法国国家索赔数据库(SNDS)的数据进行回顾性观察研究。在10岁以下的chCF中,按生命年估算与CF诊断情况相关的HC费用。进行基于组的轨迹建模以识别具有相似费用轨迹的亚组。

结果

2006年至2011年期间,FCFR记录了1065例chCF的数据。其中973例(91.4%)与SNDS匹配,779例(73.1%)至少有10年的随访记录。在第一年,通过NBS诊断的chCF的HC费用低于因MI和ANT诊断的患儿(所有p < 0.05)。然而,到第十年,各组之间的HC费用不再有差异。识别出三组具有不同费用轨迹的患儿。费用最高的组在6岁和10岁时肺功能较低,在2岁和10岁时体重和身高z评分最低(所有p < 0.05)。

结论

NBS与生命第一年最低的HC费用相关。

https://cdn.ncbi.nlm.nih.gov/pmc/blobs/52a2/12093448/711aa09daf0b/PPUL-60-0-g002.jpg

文献AI研究员

20分钟写一篇综述,助力文献阅读效率提升50倍。

立即体验

用中文搜PubMed

大模型驱动的PubMed中文搜索引擎

马上搜索

文档翻译

学术文献翻译模型,支持多种主流文档格式。

立即体验