Suppr超能文献

饱和砂岩解冻过程中未冻水含量及强度特性研究

Study on unfrostered water content and strength characteristics of saturated sandstone during thawing process.

作者信息

Li Zuyong, Yang Gengshe, Wang Baohui, Wang Jinlong

机构信息

School of Civil Engineering and Transportation, Weifang University, Weifang, 261061, Shandong, China.

School of Architecture and Civil Engineering, Xi'an University of Science and Technology, Xi'an, 710054, Shaanxi, China.

出版信息

Sci Rep. 2025 May 21;15(1):17641. doi: 10.1038/s41598-025-01558-2.

Abstract

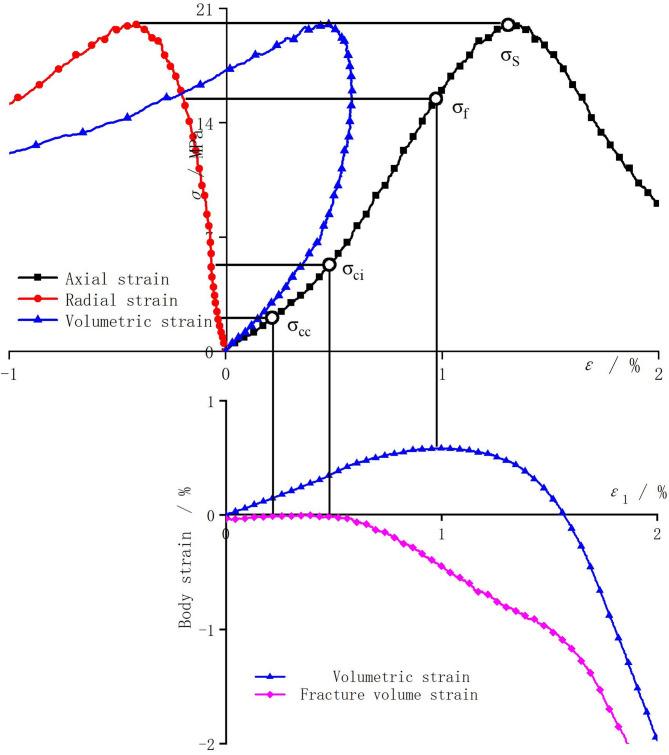
After the construction of the frozen wall of the vertical shaft is completed, it will undergo a long thawing process. Accumulation of damage under load may lead to the rupture of frozen walls and cause engineering accidents. The changes in mechanical properties during the thawing process of frozen rocks are key issues in controlling the stability of frozen walls. In view of the instability problem of the frozen wall of the vertical shaft, this article chooses the saturated sandstone of the Cretaceous system as the research object. Conduct triaxial compression tests under different temperature and confining pressure conditions. Obtain relevant parameters for analysis. And nuclear magnetic resonance technology was used to detect the changes in pore water content in saturated sandstone at different temperatures. The results indicate that: ① At room temperature, pore water mainly exists in the form of free water, while at low temperatures, pore water mainly exists in the form of adsorbed water. ② Compared with frozen soil, frozen rocks also exhibit significant supercooling phenomena. ③ According to the variation of unfrozen water content in saturated sandstone at different temperatures, it can be divided into three stages: freezing cessation (- 20 ℃ ~ - 6 °C), stable freezing (- 6 °C ~ - 2 °C), and rapid freezing (-2 ℃ ~ 20 ℃). ④ As the temperature increases, the closure level of saturated sandstone gradually increases, while the initiation and expansion levels gradually decrease. ⑤ There is an exponential relationship between the unfrozen water content and the peak strength of saturated sandstone, with a good correlation. And show the same trend of change under different confining pressures. The research results can provide theoretical support and experimental basis for evaluating the instability and failure induced by thawing of frozen walls.

摘要

立井冻结壁施工完成后,将经历漫长的解冻过程。在荷载作用下损伤的累积可能导致冻结壁破裂,引发工程事故。冻结岩石解冻过程中的力学性质变化是控制冻结壁稳定性的关键问题。针对立井冻结壁的失稳问题,本文选取白垩系饱和砂岩作为研究对象。在不同温度和围压条件下进行三轴压缩试验。获取相关参数进行分析。并利用核磁共振技术检测不同温度下饱和砂岩孔隙水含量的变化。结果表明:①常温下,孔隙水主要以自由水形式存在,而在低温下,孔隙水主要以吸附水形式存在。②与冻土相比,冻岩也表现出显著的过冷现象。③根据饱和砂岩在不同温度下未冻水含量的变化,可分为三个阶段:停止冻结(-20℃~-6℃)、稳定冻结(-6℃~-2℃)和快速冻结(-2℃~20℃)。④随着温度升高,饱和砂岩的闭合程度逐渐增大,而起始和扩展程度逐渐减小。⑤饱和砂岩的未冻水含量与峰值强度之间存在指数关系,相关性良好。且在不同围压下呈现相同的变化趋势。研究结果可为评估冻结壁解冻诱发的失稳破坏提供理论支持和试验依据。

https://cdn.ncbi.nlm.nih.gov/pmc/blobs/3860/12095591/52ad0c1ff5b4/41598_2025_1558_Fig1_HTML.jpg

文献AI研究员

20分钟写一篇综述,助力文献阅读效率提升50倍。

立即体验

用中文搜PubMed

大模型驱动的PubMed中文搜索引擎

马上搜索

文档翻译

学术文献翻译模型,支持多种主流文档格式。

立即体验