Suppr超能文献

青藏高原湿地草甸植被退化对土壤氮素组分及氮循环酶活性的影响

Effect of Vegetation Degradation on Soil Nitrogen Components and N-Cycling Enzyme Activities in a Wet Meadow on the Qinghai-Tibetan Plateau.

作者信息

He Wanpeng, Ma Weiwei, Du Jianan, Chang Wenhua, Li Guang

机构信息

College of Forestry, Gansu Agricultural University, Lanzhou 730070, China.

出版信息

Plants (Basel). 2025 May 21;14(10):1549. doi: 10.3390/plants14101549.

Abstract

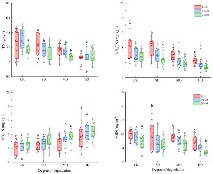
The responses of soil nitrogen component dynamics and enzyme activities to vegetation degradation in wet meadows ecosystems remain unclear. This study employed a combination of field surveys and laboratory experiments to investigate soil nitrogen components and nitrogen cycling enzyme activities under different intensities of vegetation degradation and during the vegetation growth season in a wet meadow on the Qinghai-Tibetan Plateau. The aim was to explore the responses of soil nitrogen components and nitrogen cycling enzyme activities to vegetation degradation and their interrelationships. The results showed that vegetation degradation significantly reduced TN, NH-N, MBN, PRO, and NiR, and increased NO-N, URE, and NR. Soil nitrogen components and enzyme activities exhibited seasonal fluctuations across different degradation levels during the growing season. The Pearson correlation analysis revealed a significant positive correlation between temperature, moisture, nitrogen fractions, and nitrogen cycle-related enzyme activities, as well as between the nitrogen fractions and the enzyme activities themselves. Partial Least Squares Path Modeling (PLS-PM) elucidated the relationships between soil properties and nitrogen components under different degradation levels, explaining 78% of the variance in nitrogen components. Degradation level, growth season, and soil physical properties had indirect associations with nitrogen components, whereas soil enzyme activities exerted a direct positive influence on nitrogen components. Our research revealed the universal impact mechanism of environmental factors, soil characteristics, and vegetation degradation on nitrogen cycling in a wet meadow, thereby making a significant contribution to the restoration and maintenance of functional integrity in alpine wetland ecosystems.

摘要

在高寒草甸生态系统中,土壤氮素组分动态和酶活性对植被退化的响应仍不明确。本研究采用野外调查与室内实验相结合的方法,对青藏高原某高寒草甸在不同植被退化强度及植被生长季节下的土壤氮素组分和氮循环酶活性进行了研究。旨在探究土壤氮素组分和氮循环酶活性对植被退化的响应及其相互关系。结果表明,植被退化显著降低了全氮(TN)、铵态氮(NH₄⁺-N)、微生物生物量氮(MBN)、脯氨酸(PRO)和亚硝酸还原酶(NiR),而增加了硝态氮(NO₃⁻-N)、脲酶(URE)和硝酸还原酶(NR)。在生长季节,不同退化水平下土壤氮素组分和酶活性均呈现出季节性波动。Pearson相关性分析表明,温度、水分、氮素组分与氮循环相关酶活性之间以及氮素组分与酶活性自身之间均存在显著正相关。偏最小二乘路径模型(PLS-PM)阐明了不同退化水平下土壤性质与氮素组分之间的关系,解释了氮素组分78%的变异。退化水平、生长季节和土壤物理性质与氮素组分存在间接关联,而土壤酶活性对氮素组分具有直接正向影响。本研究揭示了环境因子、土壤特性和植被退化对高寒草甸氮循环的普遍影响机制,为高寒湿地生态系统功能完整性的恢复与维持做出了重要贡献。

https://cdn.ncbi.nlm.nih.gov/pmc/blobs/ac5d/12114798/04473787ebe6/plants-14-01549-g001.jpg

文献AI研究员

20分钟写一篇综述,助力文献阅读效率提升50倍。

立即体验

用中文搜PubMed

大模型驱动的PubMed中文搜索引擎

马上搜索

文档翻译

学术文献翻译模型,支持多种主流文档格式。

立即体验