Suppr超能文献

丝状蓝细菌通过火星原位资源利用的存活:干燥和UV-B辐射的联合效应

Survival of Filamentous Cyanobacteria Through Martian ISRU: Combined Effects of Desiccation and UV-B Radiation.

作者信息

Arribas Tiemblo Miguel, Macário Inês P E, Tornero Antonio, Yáñez Ana, Andrejkovičová Slavka, Gómez Felipe

机构信息

Centro de Astrobiología (CAB, CSIC-INTA), 28850 Torrejón de Ardoz, Spain.

Geosciences Department, GeoBioTec, University of Aveiro, Campus Universitário de Santiago, 3810-193 Aveiro, Portugal.

出版信息

Microorganisms. 2025 May 7;13(5):1083. doi: 10.3390/microorganisms13051083.

Abstract

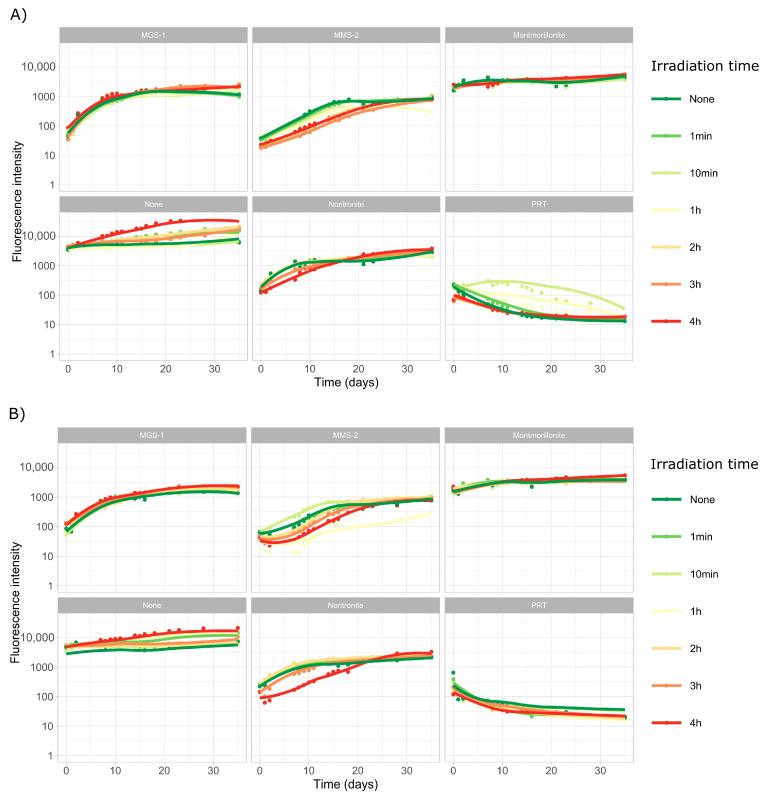
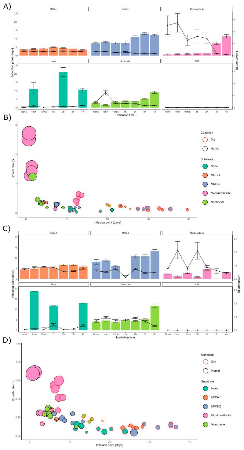
Cyanobacteria are a widespread group of photosynthesizing prokaryotes potentially relevant for space exploration, as they can produce both oxygen and organic matter. These organisms have been repeatedly proposed as tools for colonizing planetary bodies in the solar system. We used several Martian regolith simulants to support the growth of three widespread filamentous cyanobacteria ( UTAD N213, UTAD A212 and an uncharacterized sp.). All cyanobacteria grew well on the surface of the commercial simulants MGS-1 and MMS-2 and in soluble extracts obtained from them, suggesting that these Martian regolith analogs contain everything necessary to sustain cyanobacterial growth, at least in the short term. We also evaluated the survival of the two species under desiccation and UV-B radiation, using the same regolith simulants and two clays: Montmorillonite and nontronite. Desiccation hindered growth, but both cyanobacteria were able to recover in less than 30 days in all cases after desiccation. Short irradiation times (up to 1000 kJ/m) did not consistently affect survival, but longer ones (24,000 kJ/m) could fully sterilize some samples, although cyanobacteria within MGS-1, montmorillonite and nontronite showed signs of recovery in the long term (>70 days). Clays led to very fast recoveries, particularly montmorillonite.

摘要

蓝细菌是一类广泛分布的光合原核生物,可能与太空探索相关,因为它们既能产生氧气又能产生有机物。这些生物多次被提议作为在太阳系行星体上殖民的工具。我们使用了几种火星风化层模拟物来支持三种广泛存在的丝状蓝细菌(UTAD N213、UTAD A212和一种未鉴定的菌株)的生长。所有蓝细菌在商业模拟物MGS-1和MMS-2的表面以及从它们获得的可溶性提取物中都生长良好,这表明这些火星风化层类似物至少在短期内含有维持蓝细菌生长所需的一切。我们还使用相同的风化层模拟物和两种粘土(蒙脱石和绿脱石)评估了这两个物种在干燥和UV-B辐射下的存活率。干燥阻碍了生长,但在所有情况下,两种蓝细菌在干燥后不到30天就能恢复。短时间照射(高达1000 kJ/m)并没有持续影响存活率,但较长时间照射(24,000 kJ/m)可以使一些样本完全灭菌,尽管MGS-1、蒙脱石和绿脱石中的蓝细菌在长期(>70天)显示出恢复迹象。粘土能导致非常快速的恢复,尤其是蒙脱石。

https://cdn.ncbi.nlm.nih.gov/pmc/blobs/5ff9/12114234/02100952b883/microorganisms-13-01083-g001.jpg

文献检索

告别复杂PubMed语法,用中文像聊天一样搜索,搜遍4000万医学文献。AI智能推荐,让科研检索更轻松。

立即免费搜索

文件翻译

保留排版,准确专业,支持PDF/Word/PPT等文件格式,支持 12+语言互译。

免费翻译文档

深度研究

AI帮你快速写综述,25分钟生成高质量综述,智能提取关键信息,辅助科研写作。

立即免费体验