Suppr超能文献

针对普通感冒冠状病毒的循环抗体不会干扰对SARS-CoV-2 mRNA 疫苗初次或加强免疫的免疫反应。

Circulating Antibodies Against Common Cold Coronaviruses Do Not Interfere with Immune Responses to Primary or Booster SARS-CoV-2 mRNA Vaccines.

作者信息

Adhikari Bindu, Oltz Eugene M, Gumina Richard J, Kick Maryssa K, Saif Linda J, Vlasova Anastasia N

机构信息

Department of Veterinary Preventive Medicine, College of Veterinary Medicine, The Ohio State University, Wooster, OH 44691, USA.

Center for Food Animal Health, Department of Animal Sciences, OARDC, College of Food, Agricultural and Environmental Sciences, The Ohio State University, Wooster, OH 44691, USA.

出版信息

Vaccines (Basel). 2025 May 21;13(5):547. doi: 10.3390/vaccines13050547.

Abstract

BACKGROUND

Pre-existing cross-reactive antibodies (Abs) against common cold coronaviruses (CCCoVs) have been hypothesized to influence the immune responses to SARS-CoV-2 vaccine-induced Ab responses.

METHODS

Serum samples from healthy healthcare workers (HCWs, n = 64) receiving mRNA vaccines were collected at seven time points: pre-COVID-19-vaccination (Pre), post-first dose (Vax1), post-second dose (Vax2), and 6-, 9-, 12-, and 15-months post-Vax2. Booster vaccine doses (n = 23) were received 1-80 days prior to the 9 m sample collection time point. We used peptide-based enzyme-linked immunosorbent assays (ELISAs) to measure SARS-CoV-2/CCCoV-specific IgG/IgA/IgM and SARS-CoV-2 IgG4 (associated with immune tolerance) Ab levels in the HCW serum samples. Additionally, we measured Epstein-Barr/influenza A (unrelated pathogens) virus-specific IgG Ab levels.

RESULTS

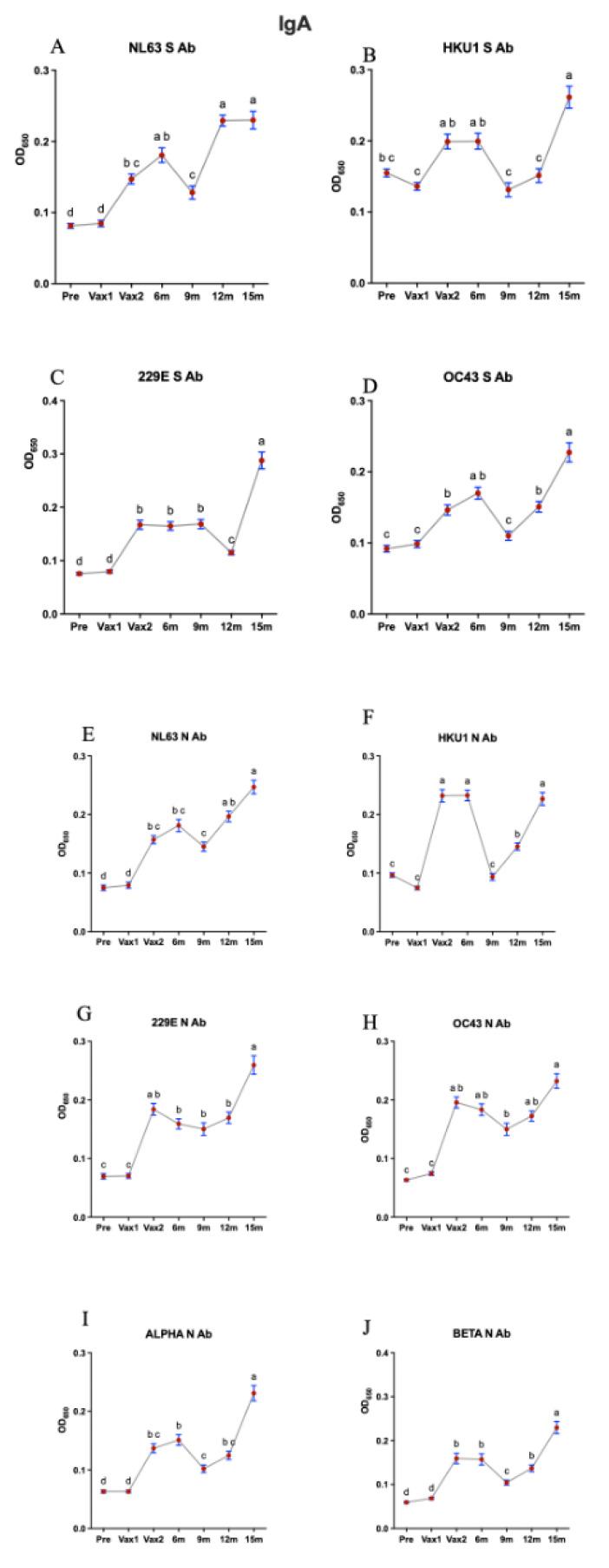
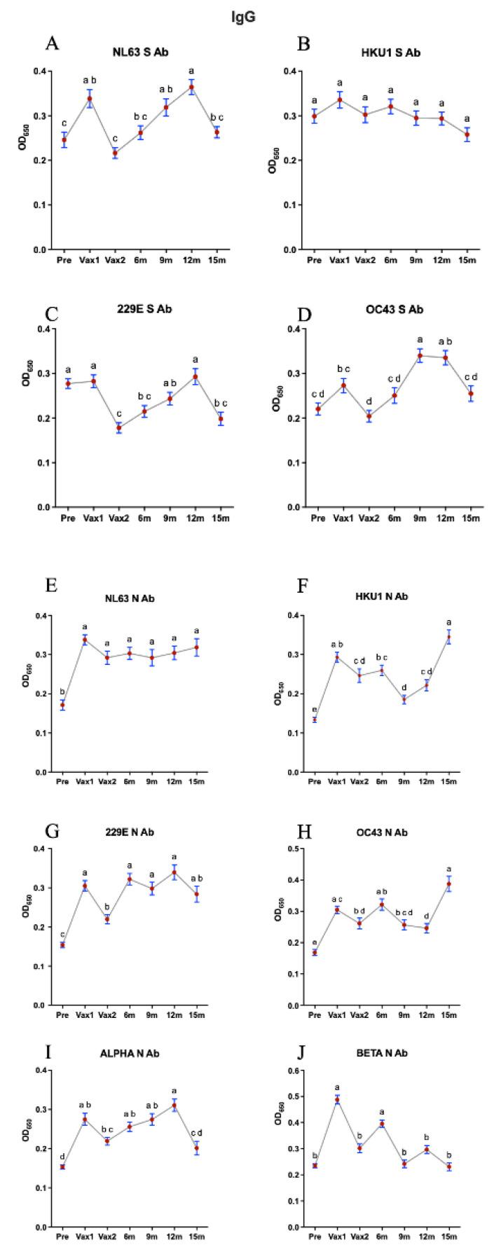
We observed that vaccination significantly increased SARS-CoV-2 IgG Ab levels at the Vax1 ( ≤ 0.0001) and Vax2 ( ≤ 0.0001) time points compared to Pre-Vax. These Ab levels declined at 6 months post-vaccination but increased again following the booster vaccine dose around the 9-month post-Vax2 time point in a cohort (n = 23) of the HCWs. However, this increase was modest compared to those induced by the primary vaccine series. Interestingly, a moderate but continuous increase in SARS-CoV-2 S IgG4 Ab levels was observed throughout this study, becoming statistically significant by the 15-month time point ( = 0.03). Further, a significant increase in CCCoV IgG (but not IgA/IgM) Ab levels was observed at the Vax1 time point, suggestive of cross-reactive or non-specific immune responses. Finally, we observed no negative correlation between the levels of pre-existing CCCoV-specific Abs and the vaccine-induced Ab response (Vax1/Vax2).

CONCLUSIONS

Pre-existing CCCoV Abs do not interfere with the development of vaccine-induced immunity. However, vaccine-associated Abs wane over time, which may be associated with the increasing IgG4 Ab response.

摘要

背景

已有假说认为,针对普通感冒冠状病毒(CCCoV)的交叉反应性抗体(Abs)会影响对严重急性呼吸综合征冠状病毒2(SARS-CoV-2)疫苗诱导的抗体反应的免疫应答。

方法

收集了64名接种mRNA疫苗的健康医护人员(HCW)在七个时间点的血清样本:接种新冠疫苗前(Pre)、接种第一剂后(Vax1)、接种第二剂后(Vax2)以及接种Vax2后6个月、9个月、12个月和15个月。在9个月样本采集时间点前1至80天,23名医护人员接受了加强疫苗接种。我们使用基于肽的酶联免疫吸附测定(ELISA)来测量医护人员血清样本中SARS-CoV-2/CCCoV特异性IgG/IgA/IgM和SARS-CoV-2 IgG4(与免疫耐受相关)抗体水平。此外,我们还测量了爱泼斯坦-巴尔病毒/甲型流感病毒(无关病原体)特异性IgG抗体水平。

结果

我们观察到,与接种疫苗前相比,在Vax1(≤0.0001)和Vax2(≤0.0001)时间点,接种疫苗显著提高了SARS-CoV-2 IgG抗体水平。这些抗体水平在接种疫苗后6个月下降,但在医护人员队列(n = 23)中,在接种Vax2后9个月左右加强疫苗接种后再次升高。然而,与初次疫苗系列诱导的抗体水平相比,这种升高幅度较小。有趣的是,在整个研究过程中,观察到SARS-CoV-2 S IgG4抗体水平适度但持续升高,到15个月时间点具有统计学意义(= 0.03)。此外,在Vax1时间点观察到CCCoV IgG(而非IgA/IgM)抗体水平显著升高,提示存在交叉反应性或非特异性免疫应答。最后,我们观察到预先存在的CCCoV特异性抗体水平与疫苗诱导的抗体反应(Vax1/Vax2)之间无负相关。

结论

预先存在的CCCoV抗体不会干扰疫苗诱导的免疫应答的发展。然而,疫苗相关抗体水平会随时间下降,这可能与IgG4抗体反应增加有关。

https://cdn.ncbi.nlm.nih.gov/pmc/blobs/bdf6/12115401/7f8e2fef6470/vaccines-13-00547-g001.jpg

文献检索

告别复杂PubMed语法,用中文像聊天一样搜索,搜遍4000万医学文献。AI智能推荐,让科研检索更轻松。

立即免费搜索

文件翻译

保留排版,准确专业,支持PDF/Word/PPT等文件格式,支持 12+语言互译。

免费翻译文档

深度研究

AI帮你快速写综述,25分钟生成高质量综述,智能提取关键信息,辅助科研写作。

立即免费体验