Suppr超能文献

维持性血液透析患者动静脉内瘘失败因素分析及列线图预测模型的构建

Analysis of arteriovenous fistula failure factors and construction of nomogram prediction model in patients with maintenance hemodialysis.

作者信息

Guo Shengjie, Wang Yurou, Zou Chao, Liu Liping, He Tingting, Sun Chengcheng, Gan Xiaosu, Tian Xiaofang, Yuan Liying

机构信息

Department of Nephrology, the Third Affiliated Hospital of Zunyi Medical University (the First People's Hospital of Zunyi), Zunyi, Guizhou, China.

Department of Nephrology, Qian Xi Nan People's Hospital, Xingyi, Guizhou, China.

出版信息

Ren Fail. 2025 Dec;47(1):2500665. doi: 10.1080/0886022X.2025.2500665. Epub 2025 Jun 1.

Abstract

OBJECTIVES

Autogenous arteriovenous fistula (AVF) is a commonly used vascular access for maintenance hemodialysis (MHD), and its failure significantly impacts the quality of dialysis and patient prognosis. The purpose of this study was to analyze the factors associated with AVF failure in MHD patients and to establish a nomogram prediction model.

METHODS

Data on end-stage renal disease (ESRD) patients undergoing MHD at our hemodialysis center were retrospectively collected and analyzed. Lasso regression analysis was employed to identify independent risk factors, and a nomogram model was developed to predict the risk of AVF failure in MHD patients. ROC curve analysis, the Hosmer-Lemeshow test, and decision curve analysis were utilized for model validation.

RESULTS

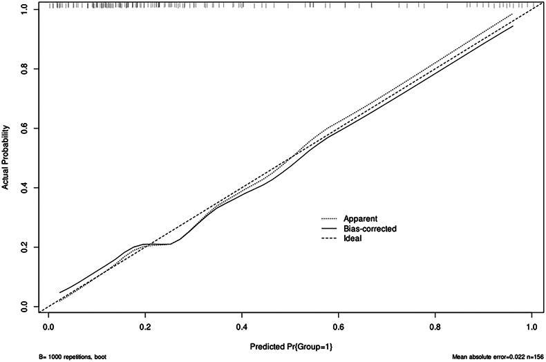
The study ultimately included 223 patients, and 6 independent factors influencing AVF failure were analyzed. The constructed nomogram model demonstrated good predictive power, with areas under the curve of 0.834 (95% CI 0.762-0.907) and 0.806 (95% CI 0.701-0.911) for the training and validation sets, respectively. The -values obtained for the Hosmer-Lemeshow test were 0.896 and 0.257. The nomograms exhibited a higher net clinical benefit in both clinical decision curves.

CONCLUSIONS

This study identifies the key factors influencing AVF failure in MHD patients and establishes a validated prediction model using nomogram, providing clinical practice with an accurate visualization tool for the early identification and guidance of clinical decisions.

摘要

目的

自体动静脉内瘘(AVF)是维持性血液透析(MHD)常用的血管通路,其失功对透析质量和患者预后有显著影响。本研究旨在分析MHD患者中与AVF失功相关的因素,并建立列线图预测模型。

方法

回顾性收集并分析在我们血液透析中心接受MHD治疗的终末期肾病(ESRD)患者的数据。采用Lasso回归分析确定独立危险因素,并建立列线图模型以预测MHD患者AVF失功的风险。利用ROC曲线分析、Hosmer-Lemeshow检验和决策曲线分析进行模型验证。

结果

本研究最终纳入223例患者,分析了6个影响AVF失功的独立因素。构建的列线图模型显示出良好的预测能力,训练集和验证集的曲线下面积分别为0.834(95%CI 0.762-0.907)和0.806(95%CI 0.701-0.911)。Hosmer-Lemeshow检验得到的P值分别为0.896和0.257。列线图在两条临床决策曲线中均显示出更高的净临床获益。

结论

本研究确定了影响MHD患者AVF失功的关键因素,并使用列线图建立了经过验证的预测模型,为临床实践提供了一种准确的可视化工具,用于早期识别和指导临床决策。

https://cdn.ncbi.nlm.nih.gov/pmc/blobs/9dba/12128127/6519ee719141/IRNF_A_2500665_F0001_B.jpg

文献检索

告别复杂PubMed语法,用中文像聊天一样搜索,搜遍4000万医学文献。AI智能推荐,让科研检索更轻松。

立即免费搜索

文件翻译

保留排版,准确专业,支持PDF/Word/PPT等文件格式,支持 12+语言互译。

免费翻译文档

深度研究

AI帮你快速写综述,25分钟生成高质量综述,智能提取关键信息,辅助科研写作。

立即免费体验