Suppr超能文献

核壳粒子嵌入人发:一种用于表面改性和持久染发的新方法。

Core-shell Particle Embedding into Human Hair: A Novel Approach for Surface Modification and Long-Lasting Hair Coloration.

作者信息

Fujimoto Keiji, Nishimura Megumi, Fukui Yuuka

机构信息

The Center for Chemical Biology, School of Fundamental Science and Technology, Graduate School of Science and Technology, Keio University, 3-14-1 Hiyoshi, Kohoku-ku, Yokohama 223-8522, Japan.

出版信息

ACS Omega. 2025 May 15;10(20):20585-20592. doi: 10.1021/acsomega.5c01305. eCollection 2025 May 27.

Abstract

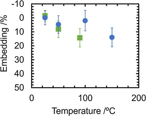
To embed particles into human hair, core-shell (CS) particles were prepared by seeded emulsion polymerization and were arrayed to the surface of natural hair via dip coating. The particle-coated natural hair was treated at various temperatures in a controlled environment with a relative humidity of 5% (5% RH). No particle embedding was observed at 25 °C. However, the degree of particle embedding (DE) slightly increased at 50 °C and substantially at 150 °C. At 100% RH, embedding was effectively achieved at 50 °C, probably because the adsorbed water acted as a plasticizer, softening the hair. Bleached hair exhibited a significant reduction in surface wettability, whereas the DE of CS particles remained comparable to that of natural hair, indicating that surface wettability does not affect the particle embedding process. On the other hand, hair treated with a reducing agent displayed a notable increase in the DE, reaching approximately 20% even at 25 °C and increasing to 35% at 150 °C. At 100% RH, DE values dramatically increased to approximately 35%, even at 25 °C. Sudan Black B was incorporated into the CS particles to produce stained particles (CS-(B) particles). This staining process enabled the coloration of bleached hair by arranging and embedding CS-(B) particles. Visual observation confirmed uniform coloration of the hair samples. The color difference (Δ*) results strongly indicated that bleached hair could be effectively dyed with CS-(B) particles. Additionally, the color of CS-(B) particle-embedded hair remained stable after ultrasonication, demonstrating that particle embedding ensures long-lasting hair coloration by securely embedding the stained particles within the hair samples.

摘要

为了将颗粒嵌入人发中,通过种子乳液聚合制备了核壳(CS)颗粒,并通过浸涂将其排列在天然头发表面。将涂有颗粒的天然头发在相对湿度为5%(5%RH)的受控环境中于不同温度下进行处理。在25℃时未观察到颗粒嵌入。然而,在50℃时颗粒嵌入程度(DE)略有增加,在150℃时显著增加。在100%RH时,在50℃下有效地实现了嵌入,可能是因为吸附的水起到了增塑剂的作用,使头发变软。漂白后的头发表面润湿性显著降低,而CS颗粒的DE与天然头发的DE相当,这表明表面润湿性不影响颗粒嵌入过程。另一方面,用还原剂处理的头发的DE显著增加,即使在25℃时也达到约20%,在150℃时增加到35%。在100%RH时,即使在25℃,DE值也急剧增加到约35%。将苏丹黑B掺入CS颗粒中以制备染色颗粒(CS-(B)颗粒)。这种染色过程通过排列和嵌入CS-(B)颗粒实现了漂白头发的着色。目视观察证实了头发样品的均匀着色。色差(Δ*)结果有力地表明,CS-(B)颗粒可以有效地对漂白头发进行染色。此外,嵌入CS-(B)颗粒的头发在超声处理后颜色保持稳定,这表明颗粒嵌入通过将染色颗粒牢固地嵌入头发样品中确保了持久的头发着色。

https://cdn.ncbi.nlm.nih.gov/pmc/blobs/2447/12120610/b6c93bc76b80/ao5c01305_0005.jpg

文献检索

告别复杂PubMed语法,用中文像聊天一样搜索,搜遍4000万医学文献。AI智能推荐,让科研检索更轻松。

立即免费搜索

文件翻译

保留排版,准确专业,支持PDF/Word/PPT等文件格式,支持 12+语言互译。

免费翻译文档

深度研究

AI帮你快速写综述,25分钟生成高质量综述,智能提取关键信息,辅助科研写作。

立即免费体验