Suppr超能文献

生理孕期尿中犬尿氨酸、色氨酸和新蝶呤的浓度

Urinary kynurenine,tryptophan, and neopterin concentrations during physiological pregnancy.

作者信息

Krčmová Lenka Kujovská, Matoušová Kateřina, Javorská Lenka, Mrštná Kristýna, Přívratská Nikola, Suwanvecho Chaweewan, Turoňová Dorota, Farrag Mohamed, Kacerovský Marian, Melichar Bohuslav

机构信息

Department of Clinical Biochemistry and Diagnostics, University Hospital Hradec Králové, Sokolská 581, 500 05, Hradec Králové, Czech Republic.

Department of Analytical Chemistry, Faculty of Pharmacy in Hradec Králové, Charles University, Akademika Heyrovského 1203/8, 500 05, Hradec Králové, Czech Republic.

出版信息

Sci Rep. 2025 Jun 4;15(1):19674. doi: 10.1038/s41598-025-04642-9.

Abstract

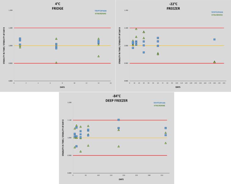
During pregnancy the alterations of kynurenine and tryptophan metabolism play an important role in local signalling and the prevention of fetal rejection. The aim was to investigate urinary levels of kynurenine and tryptophan during physiological pregnancy, and to determine their stability in urine during sample storage at different conditions. Urinary samples were obtained from 73 healthy pregnant women (median age 31 years), during the 1st, 2nd, and 3rd trimesters and from 42 healthy non-pregnant women (median age 30 years). Liquid chromatography methods using selective and sensitive mass spectrometry detection were used for analysis. Urinary neopterin, kynurenine, and tryptophan increased during the pregnancy and in comparison to the non-pregnant women. No correlation of the analytes with gestation age within each trimester and among the different analytes was observed. Kynurenine and tryptophan were stable in urine for 14 days at 4 °C, 6 months at - 22 °C, and 12 months at - 84 °C. Present results demonstrate differences in urinary concentrations of kynurenine, tryptophan, and neopterin between women with physiological pregnancy and healthy women. Simultaneous determination of kynurenine, tryptophan and neopterin may be explored in the disorders of pregnancy in future investigations.

摘要

孕期犬尿氨酸和色氨酸代谢的改变在局部信号传导及预防胎儿排斥反应中发挥重要作用。本研究旨在调查生理孕期妇女尿中犬尿氨酸和色氨酸水平,并确定在不同条件下样本储存期间它们在尿液中的稳定性。收集了73名健康孕妇(中位年龄31岁)孕早期、孕中期和孕晚期以及42名健康非孕妇(中位年龄30岁)的尿液样本。采用使用选择性和灵敏质谱检测的液相色谱法进行分析。孕期妇女尿中新蝶呤、犬尿氨酸和色氨酸水平相对于非孕妇升高。未观察到各分析物在各孕期内以及不同分析物之间与孕周的相关性。犬尿氨酸和色氨酸在4℃下可在尿液中稳定保存14天,在-22℃下可稳定保存6个月,在-84℃下可稳定保存12个月。目前的结果表明,生理孕期妇女与健康妇女尿中犬尿氨酸、色氨酸和新蝶呤浓度存在差异。未来研究中可探讨在妊娠疾病中同时测定犬尿氨酸、色氨酸和新蝶呤。

https://cdn.ncbi.nlm.nih.gov/pmc/blobs/8d38/12137588/f1471021895d/41598_2025_4642_Fig1_HTML.jpg

文献AI研究员

20分钟写一篇综述,助力文献阅读效率提升50倍。

立即体验

用中文搜PubMed

大模型驱动的PubMed中文搜索引擎

马上搜索

文档翻译

学术文献翻译模型,支持多种主流文档格式。

立即体验