Suppr超能文献

1990年至2021年心房颤动/心房扑动的全球负担与健康不平等状况。

Global burden and health inequality of atrial fibrillation/atrial flutter from 1990 to 2021.

作者信息

Li Xia, Li Zhen, He Hongtao, Wang Sizhou, Su Honglei, Kang Guobin

机构信息

Department of Cardiology 1, Hebei Provincial Hospital of Chinese Medicine, Shijiazhuang, Hebei, China.

Department of Child Healthcare, The Fourth Hospital of Shijiazhuang, Gynecology and Obstetrics Hospital Affiliated to Hebei Medical University, Shijiazhuang, Hebei, China.

出版信息

Front Cardiovasc Med. 2025 May 21;12:1585980. doi: 10.3389/fcvm.2025.1585980. eCollection 2025.

Abstract

INTRODUCTION

Atrial fibrillation (AF) and atrial flutter (AFL) are the most prevalent tachyarrhythmias worldwide, leading to severe complications such as stroke and heart failure. Despite advancements in diagnosis and management, the global burden of AF/AFL continues to increase, highlighting the urgent need for comprehensive epidemiological research.

METHODS

This study analyzed data from the Global Burden of Disease (GBD) 2021 to examine the incidence, prevalence, mortality, and disability-adjusted life years (DALYs) associated with AF/AFL from 1990 to 2021. Age-standardized rates were calculated at global, regional, and country-specific levels. Decomposition and Bayesian age-period-cohort models were used to explore trends and forecast future disease burdens.

RESULTS

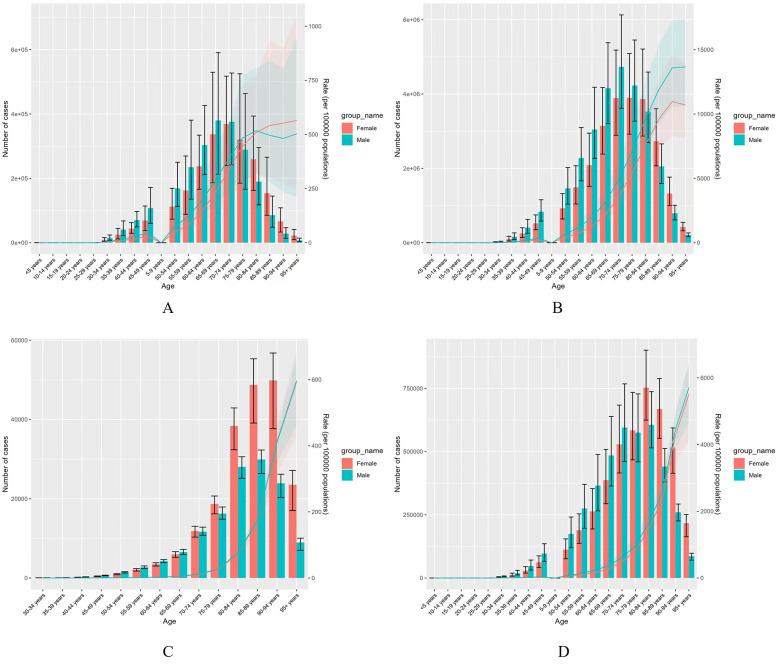
In 2021, AF/AFL contributed to 4.48 million new cases globally, with an age-standardized incidence rate (ASIR) of 52.1 per 100,000. The global prevalence reached 52.55 million cases, while the disease caused 338,947 deaths. The global age-standardized DALY rate stood at 101.4 per 100,000. Significant disparities were observed, with higher disease burdens in high Socio-demographic Index (SDI) regions compared to low SDI regions. Between 1990 and 2021, aging and population growth were key drivers of the increased burden, with regional variations associated with economic development and healthcare access. Bayesian projections indicate a gradual rise in incidence and prevalence through 2050, although mortality and DALY rates are expected to decline.

CONCLUSIONS

AF/AFL presents a substantial public health challenge, with rising incidence and prevalence primarily driven by demographic changes and enhanced diagnostic capabilities. Addressing health inequalities requires targeted interventions and strengthening healthcare systems. Future strategies should prioritize prevention and equitable access to advanced therapies.

摘要

引言

心房颤动(AF)和心房扑动(AFL)是全球最常见的快速性心律失常,可导致中风和心力衰竭等严重并发症。尽管在诊断和管理方面取得了进展,但AF/AFL的全球负担仍在持续增加,凸显了开展全面流行病学研究的迫切需求。

方法

本研究分析了《2021年全球疾病负担》(GBD 2021)的数据,以研究1990年至2021年与AF/AFL相关的发病率、患病率、死亡率和伤残调整生命年(DALY)。在全球、区域和国家层面计算了年龄标准化率。采用分解法和贝叶斯年龄-时期-队列模型来探索趋势并预测未来疾病负担。

结果

2021年,AF/AFL在全球导致448万新发病例,年龄标准化发病率(ASIR)为每10万人52.1例。全球患病率达到5255万例,而该疾病导致338947人死亡。全球年龄标准化DALY率为每10万人101.4例。观察到显著差异,社会人口指数(SDI)高的地区疾病负担高于SDI低的地区。1990年至2021年期间,老龄化和人口增长是负担增加的主要驱动因素,区域差异与经济发展和医疗服务可及性相关。贝叶斯预测表明,到2050年发病率和患病率将逐渐上升,尽管死亡率和DALY率预计将下降。

结论

AF/AFL带来了重大的公共卫生挑战,发病率和患病率上升主要由人口结构变化和诊断能力提高所致。应对健康不平等需要有针对性的干预措施并加强医疗保健系统。未来战略应优先考虑预防和公平获得先进治疗方法。

https://cdn.ncbi.nlm.nih.gov/pmc/blobs/0a46/12133759/69cfba96226d/fcvm-12-1585980-g001.jpg

文献检索

告别复杂PubMed语法,用中文像聊天一样搜索,搜遍4000万医学文献。AI智能推荐,让科研检索更轻松。

立即免费搜索

文件翻译

保留排版,准确专业,支持PDF/Word/PPT等文件格式,支持 12+语言互译。

免费翻译文档

深度研究

AI帮你快速写综述,25分钟生成高质量综述,智能提取关键信息,辅助科研写作。

立即免费体验