• 文献检索
  • 文档翻译
  • 深度研究
  • 学术资讯
  • Suppr Zotero 插件Zotero 插件
  • 邀请有礼
  • 套餐&价格
  • 历史记录
应用&插件
Suppr Zotero 插件Zotero 插件浏览器插件Mac 客户端Windows 客户端微信小程序
定价
高级版会员购买积分包购买API积分包
服务
文献检索文档翻译深度研究API 文档MCP 服务
关于我们
关于 Suppr公司介绍联系我们用户协议隐私条款
关注我们

Suppr 超能文献

核心技术专利:CN118964589B侵权必究
粤ICP备2023148730 号-1Suppr @ 2026

文献检索

告别复杂PubMed语法,用中文像聊天一样搜索,搜遍4000万医学文献。AI智能推荐,让科研检索更轻松。

立即免费搜索

文件翻译

保留排版,准确专业,支持PDF/Word/PPT等文件格式,支持 12+语言互译。

免费翻译文档

深度研究

AI帮你快速写综述,25分钟生成高质量综述,智能提取关键信息,辅助科研写作。

立即免费体验

吡喃木糖基含硫糖苷的合成、构象分析及生物活性:硫原子构型的依赖性

Synthesis, conformational analysis and biological activity of xylopyranosyl sulfur-containing glycosides: dependence of sulfur atom configuration.

作者信息

Blasco Pilar, Ståhle Jonas, Thorsheim Karin, Furevi Axel, Siegbahn Anna, Tykesson Emil, Westergren-Thorsson Gunilla, Ellervik Ulf, Widmalm Göran

机构信息

Department of Organic Chemistry, Arrhenius Laboratory, Stockholm University SE-106 91 Stockholm Sweden

Center for Analysis and Synthesis, Center for Chemistry and Chemical Engineering, Lund University P.O. Box 124 SE-221 00 Lund Sweden.

出版信息

RSC Adv. 2025 Jun 4;15(23):18010-18020. doi: 10.1039/d5ra00498e. eCollection 2025 May 29.

DOI:10.1039/d5ra00498e
PMID:40469227
原文链接:https://pmc.ncbi.nlm.nih.gov/articles/PMC12134886/
Abstract

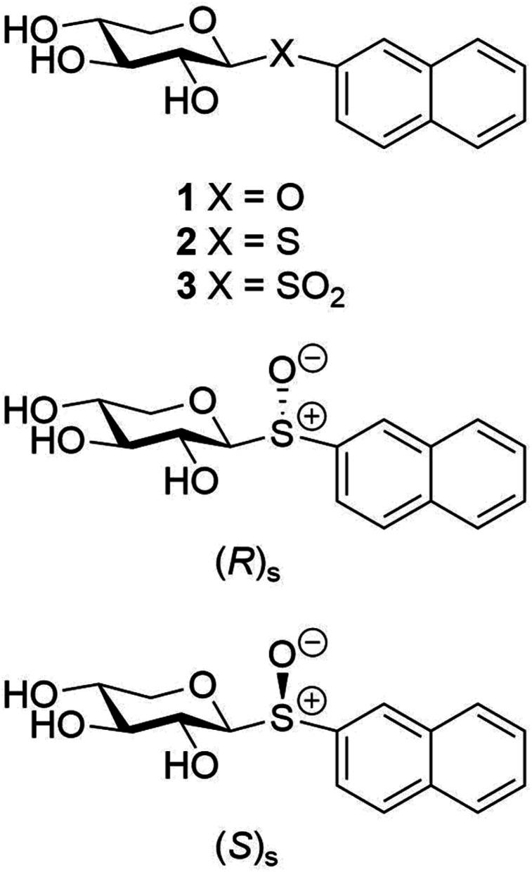
Proteoglycans (PGs) consist of a core protein with covalently bound glycosaminoglycan (GAG) chains that are linked a tetrasaccharide. PGs are important macromolecules that are involved in biological processes such as cell growth and differentiation. A key enzyme in the biosynthesis of PG GAG chains is β-1,4-galactosyltransferase 7 (β4GalT7) that catalyzes the transfer of galactose to a xylose residue in the formation of the linker tetrasaccharide. It is well known that the addition of xylosides containing naphthyl aglycones can initiate the biosynthesis of GAG chains by acting as substrates for β4GalT7. Previous studies have shown that its galactosylation ability is increased by using bioisosters, in which the anomeric oxygen is replaced with sulfur or sulfur-containing functional groups. Thus, 2-naphthyl xylosyl sulfoxides were synthesized and characterized by H and C NMR spectroscopy relying on both one- and two-dimensional experiments to differentiate the stereochemistry at the sulfur atom. Notably, the conformationally dependent coupling constants between the anomeric proton and the C2' atom of the naphthyl group were large and significant, ≥3.3 Hz, for the ()-configured compound as well as for the -glycoside and the thio-derivative whereas the corresponding coupling for the ()-configured compound and the sulfone derivative had < 0.6 Hz and < 0.5 Hz, respectively. Quantum mechanical calculations of the coupling constant corroborated the experimentally observed trends at the torsion angle. The galactosylation by β4GalT7 of the different acceptor substrates showed the highest affinity for the ()-configured compound and the sulfone derivative whereas an intermediate affinity was present for the ()-configured compound and the thio-derivative. The enzyme efficiency exhibited with the latter substrate was more than three times higher than with any other of the thio-derivatives. From molecular docking of the acceptor substrates to the UDP-galactose:β4GalT7 complex specific intermolecular interactions were identified. The binding affinity correlates with stacking to a tyrosine residue and a weak C-H⋯O hydrogen bond between the indole group of tryptophan in the enzyme and a proximate oxygen atom of sulfone and sulfinyl derivatives of 2-naphthyl xylosides.

摘要

蛋白聚糖(PGs)由核心蛋白和共价连接的糖胺聚糖(GAG)链组成,这些链通过四糖连接。PGs是参与细胞生长和分化等生物过程的重要大分子。PG GAG链生物合成中的一种关键酶是β-1,4-半乳糖基转移酶7(β4GalT7),它催化半乳糖转移到连接四糖形成过程中的木糖残基上。众所周知,添加含有萘苷元的木糖苷可以作为β4GalT7的底物启动GAG链的生物合成。先前的研究表明,通过使用生物电子等排体,其半乳糖基化能力会增强,其中异头氧被硫或含硫官能团取代。因此,合成了2-萘基木糖基亚砜,并通过1H和13C NMR光谱进行表征,依靠一维和二维实验来区分硫原子处的立体化学。值得注意的是,对于(+)构型的化合物以及α-糖苷和硫代衍生物,异头质子与萘基的C2'原子之间的构象依赖性耦合常数很大且显著,≥3.3 Hz,而对于(-)构型的化合物和砜衍生物,相应的耦合常数分别< 0.6 Hz和< 0.5 Hz。耦合常数的量子力学计算证实了在扭转角处实验观察到的趋势。β4GalT7对不同受体底物的半乳糖基化显示出对(+)构型的化合物和砜衍生物具有最高亲和力,而对(-)构型的化合物和硫代衍生物具有中等亲和力。后一种底物表现出的酶效率比任何其他硫代衍生物高出三倍以上。通过受体底物与UDP-半乳糖:β4GalT7复合物的分子对接,确定了特定的分子间相互作用。结合亲和力与堆积到酪氨酸残基以及酶中色氨酸的吲哚基团与2-萘基木糖苷的砜和亚砜衍生物的邻近氧原子之间的弱C-H⋯O氢键相关。

https://cdn.ncbi.nlm.nih.gov/pmc/blobs/b9be/12134886/4d83f95bcd21/d5ra00498e-f6.jpg
https://cdn.ncbi.nlm.nih.gov/pmc/blobs/b9be/12134886/d6439a33766d/d5ra00498e-f1.jpg
https://cdn.ncbi.nlm.nih.gov/pmc/blobs/b9be/12134886/80ba2630b59f/d5ra00498e-s1.jpg
https://cdn.ncbi.nlm.nih.gov/pmc/blobs/b9be/12134886/dcfdcdb53977/d5ra00498e-f2.jpg
https://cdn.ncbi.nlm.nih.gov/pmc/blobs/b9be/12134886/44548b1e6298/d5ra00498e-f3.jpg
https://cdn.ncbi.nlm.nih.gov/pmc/blobs/b9be/12134886/a380fd96b4e8/d5ra00498e-f4.jpg
https://cdn.ncbi.nlm.nih.gov/pmc/blobs/b9be/12134886/47e4bd672e6c/d5ra00498e-f5.jpg
https://cdn.ncbi.nlm.nih.gov/pmc/blobs/b9be/12134886/4d83f95bcd21/d5ra00498e-f6.jpg
https://cdn.ncbi.nlm.nih.gov/pmc/blobs/b9be/12134886/d6439a33766d/d5ra00498e-f1.jpg
https://cdn.ncbi.nlm.nih.gov/pmc/blobs/b9be/12134886/80ba2630b59f/d5ra00498e-s1.jpg
https://cdn.ncbi.nlm.nih.gov/pmc/blobs/b9be/12134886/dcfdcdb53977/d5ra00498e-f2.jpg
https://cdn.ncbi.nlm.nih.gov/pmc/blobs/b9be/12134886/44548b1e6298/d5ra00498e-f3.jpg
https://cdn.ncbi.nlm.nih.gov/pmc/blobs/b9be/12134886/a380fd96b4e8/d5ra00498e-f4.jpg
https://cdn.ncbi.nlm.nih.gov/pmc/blobs/b9be/12134886/47e4bd672e6c/d5ra00498e-f5.jpg
https://cdn.ncbi.nlm.nih.gov/pmc/blobs/b9be/12134886/4d83f95bcd21/d5ra00498e-f6.jpg

相似文献

1
Synthesis, conformational analysis and biological activity of xylopyranosyl sulfur-containing glycosides: dependence of sulfur atom configuration.吡喃木糖基含硫糖苷的合成、构象分析及生物活性:硫原子构型的依赖性
RSC Adv. 2025 Jun 4;15(23):18010-18020. doi: 10.1039/d5ra00498e. eCollection 2025 May 29.
2
Exploration of the active site of β4GalT7: modifications of the aglycon of aromatic xylosides.β4半乳糖基转移酶7活性位点的探索:芳香木糖苷苷元的修饰
Org Biomol Chem. 2015 Mar 21;13(11):3351-62. doi: 10.1039/c4ob02632b.
3
Naphthyl Thio- and Carba-xylopyranosides for Exploration of the Active Site of β-1,4-Galactosyltransferase 7 (β4GalT7).用于探索β-1,4-半乳糖基转移酶7(β4GalT7)活性位点的萘基硫代和碳环吡喃糖苷
Chemistry. 2017 Dec 19;23(71):18057-18065. doi: 10.1002/chem.201704267. Epub 2017 Nov 27.
4
Synthesis of a library of variously modified 4-methylumbelliferyl xylosides and a structure-activity study of human β4GalT7.各种修饰的4-甲基伞形酮木糖苷文库的合成及人β4GalT7的构效关系研究
Org Biomol Chem. 2017 Nov 22;15(45):9653-9669. doi: 10.1039/c7ob02530k.
5
Assays for Evaluation of Substrates for and Inhibitors of β-1,4-Galactosyltransferase 7.用于评估β-1,4-半乳糖基转移酶 7 的底物和抑制剂的测定法。
Methods Mol Biol. 2022;2303:477-486. doi: 10.1007/978-1-0716-1398-6_38.
6
Crystal structures of β-1,4-galactosyltransferase 7 enzyme reveal conformational changes and substrate binding.β-1,4-半乳糖基转移酶 7 酶的晶体结构揭示构象变化和底物结合。
J Biol Chem. 2013 Nov 1;288(44):31963-70. doi: 10.1074/jbc.M113.509984. Epub 2013 Sep 19.
7
Structural interpretation of J coupling constants in guanosine and deoxyguanosine: modeling the effects of sugar pucker, backbone conformation, and base pairing.鸟苷和脱氧鸟苷中 J 耦合常数的结构解释:模拟糖环构象、主链构象和碱基配对的影响。
J Phys Chem A. 2009 Jul 23;113(29):8379-86. doi: 10.1021/jp902473v.
8
Unusual beta-D-xylosides that prime glycosaminoglycans in animal cells.在动物细胞中引发糖胺聚糖的异常β-D-木糖苷。
J Biol Chem. 1996 Aug 9;271(32):19159-65. doi: 10.1074/jbc.271.32.19159.
9
Identification of key functional residues in the active site of human {beta}1,4-galactosyltransferase 7: a major enzyme in the glycosaminoglycan synthesis pathway.鉴定人β1,4-半乳糖基转移酶 7 活性位点中的关键功能残基:糖胺聚糖合成途径中的主要酶。
J Biol Chem. 2010 Nov 26;285(48):37342-58. doi: 10.1074/jbc.M110.151951. Epub 2010 Sep 14.
10
New Karplus equations for 2JHH, 3JHH, 2JCH, 3JCH, 3JCOCH, 3JCSCH, and 3JCCCH in some aldohexopyranoside derivatives as determined using NMR spectroscopy and density functional theory calculations.利用核磁共振光谱和密度泛函理论计算确定的某些醛糖己吡喃糖苷衍生物中2JHH、3JHH、2JCH、3JCH、3JCOCH、3JCSCH和3JCCCH的新卡尔普斯方程。
Carbohydr Res. 2007 Oct 15;342(14):2086-96. doi: 10.1016/j.carres.2007.05.032. Epub 2007 Jun 2.

本文引用的文献

1
Structure-Based Mechanism and Specificity of Human Galactosyltransferase β3GalT5.基于结构的人类半乳糖基转移酶β3GalT5的作用机制及特异性
J Am Chem Soc. 2025 Apr 2;147(13):10875-10885. doi: 10.1021/jacs.4c11724. Epub 2025 Mar 25.
2
How to measure long-range proton-carbon coupling constants from H-selective HSQMBC experiments.如何从 H 选择性 HSQMBC 实验中测量长程质子-碳耦合常数。
Magn Reson Chem. 2020 May;58(5):363-375. doi: 10.1002/mrc.4928. Epub 2019 Aug 15.
3
Proteoglycans in brain development and pathogenesis.脑发育与发病机制中的蛋白聚糖
FEBS Lett. 2018 Dec;592(23):3791-3805. doi: 10.1002/1873-3468.13026. Epub 2018 Mar 23.
4
Constitutive and TNFα-inducible expression of chondroitin sulfate proteoglycan 4 in glioblastoma and neurospheres: Implications for CAR-T cell therapy.软骨素蛋白聚糖 4 在神经胶质瘤和神经球中的组成型和 TNFα 诱导型表达:对 CAR-T 细胞治疗的影响。
Sci Transl Med. 2018 Feb 28;10(430). doi: 10.1126/scitranslmed.aao2731.
5
Synthesis of a library of variously modified 4-methylumbelliferyl xylosides and a structure-activity study of human β4GalT7.各种修饰的4-甲基伞形酮木糖苷文库的合成及人β4GalT7的构效关系研究
Org Biomol Chem. 2017 Nov 22;15(45):9653-9669. doi: 10.1039/c7ob02530k.
6
Naphthyl Thio- and Carba-xylopyranosides for Exploration of the Active Site of β-1,4-Galactosyltransferase 7 (β4GalT7).用于探索β-1,4-半乳糖基转移酶7(β4GalT7)活性位点的萘基硫代和碳环吡喃糖苷
Chemistry. 2017 Dec 19;23(71):18057-18065. doi: 10.1002/chem.201704267. Epub 2017 Nov 27.
7
An acceptor analogue of β-1,4-galactosyltransferase: Substrate, inhibitor, or both?β-1,4-半乳糖基转移酶的一种受体类似物:底物、抑制剂,还是两者皆是?
Carbohydr Res. 2017 Oct 10;450:54-59. doi: 10.1016/j.carres.2017.08.012. Epub 2017 Aug 31.
8
The regulatory mechanisms of NG2/CSPG4 expression.NG2/CSPG4 表达的调控机制。
Cell Mol Biol Lett. 2017 Feb 28;22:4. doi: 10.1186/s11658-017-0035-3. eCollection 2017.
9
Syndecan-1 is a novel molecular marker for triple negative inflammatory breast cancer and modulates the cancer stem cell phenotype via the IL-6/STAT3, Notch and EGFR signaling pathways.Syndecan-1是三阴性炎性乳腺癌的一种新型分子标志物,并通过IL-6/STAT3、Notch和EGFR信号通路调节癌症干细胞表型。
Mol Cancer. 2017 Mar 7;16(1):57. doi: 10.1186/s12943-017-0621-z.
10
Delineating the conformational flexibility of trisaccharides from NMR spectroscopy experiments and computer simulations.通过核磁共振光谱实验和计算机模拟描绘三糖的构象灵活性。
Phys Chem Chem Phys. 2016 Jul 28;18(28):18776-94. doi: 10.1039/c6cp02970a. Epub 2016 Jun 27.