Suppr超能文献

利用可溶性Fms样酪氨酸激酶-1/胎盘生长因子比值鉴别妊娠合并系统性红斑狼疮发作与子痫前期。

Differentiating Systemic Lupus Erythematosus Flare From Preeclampsia in Pregnancy Using the Soluble Fms-Like Tyrosine Kinase-1/Placental Growth Factor Ratio.

作者信息

Yamamoto Akane, Ogoyama Manabu, Ohkuchi Akihide, Takahashi Hironori, Fujiwara Hiroyuki

机构信息

Department of Obstetrics and Gynecology, Jichi Medical University, Shimotsuke, JPN.

出版信息

Cureus. 2025 May 6;17(5):e83619. doi: 10.7759/cureus.83619. eCollection 2025 May.

Abstract

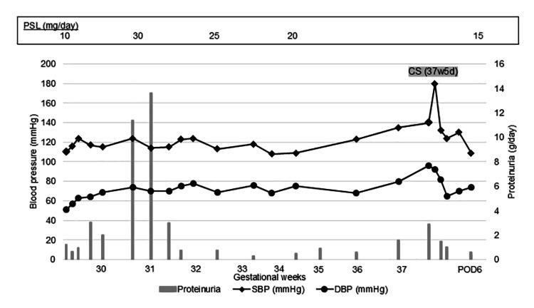
Systemic lupus erythematosus (SLE) may be exacerbated at any stage of pregnancy, complicating maternal and fetal outcomes. Additionally, pregnancies with SLE have a higher risk of preeclampsia (PE), requiring careful differentiation between SLE flare and PE when symptoms such as proteinuria emerge. We herein describe a 36-year-old pregnant woman with SLE who developed severe proteinuria (13 g/day) at 30 weeks of gestation without hypertension or thrombocytopenia. No abnormal urinary segments were observed. The differential diagnosis between SLE flare and the preliminary sign of PE was challenging. The soluble fms-like tyrosine kinase-1 (sFlt-1)/placental growth factor (PlGF) ratio was utilized for diagnostic clarification. A normal sFlt-1/PlGF ratio at 29+4 weeks of gestation suggested SLE flare rather than the preliminary sign of PE. Intensified immunosuppressive therapy with increased prednisolone (30 mg/day) attenuated proteinuria, allowing for late-term pregnancy. At 37+4 weeks of gestation, the patient developed late-onset PE with a hypertensive crisis, necessitating emergency cesarean delivery. The infant was delivered safely without complications. Postpartum recovery was uneventful, with stable maternal renal function. This case underscores the importance of angiogenic markers in distinguishing SLE flare from PE. An elevated sFlt-1/PlGF ratio is typically associated with PE, but not SLE flare, aiding in a differential diagnosis and guiding treatment strategies.

摘要

系统性红斑狼疮(SLE)在妊娠的任何阶段都可能加重,使母婴结局复杂化。此外,患有SLE的孕妇发生先兆子痫(PE)的风险更高,当出现蛋白尿等症状时,需要仔细区分SLE病情发作和PE。我们在此描述一名36岁的患有SLE的孕妇,她在妊娠30周时出现严重蛋白尿(13克/天),无高血压或血小板减少症。未观察到异常尿段。区分SLE病情发作和PE的初步迹象具有挑战性。利用可溶性fms样酪氨酸激酶-1(sFlt-1)/胎盘生长因子(PlGF)比值进行诊断澄清。妊娠29 + 4周时sFlt-1/PlGF比值正常提示为SLE病情发作而非PE的初步迹象。增加泼尼松龙剂量(30毫克/天)强化免疫抑制治疗减轻了蛋白尿,使妊娠得以维持至晚期。妊娠37 + 4周时,患者出现迟发性PE并伴有高血压危象,需要紧急剖宫产。婴儿安全分娩,无并发症。产后恢复顺利,产妇肾功能稳定。该病例强调了血管生成标志物在区分SLE病情发作和PE中的重要性。sFlt-1/PlGF比值升高通常与PE相关,但与SLE病情发作无关,有助于鉴别诊断并指导治疗策略。

https://cdn.ncbi.nlm.nih.gov/pmc/blobs/2fb3/12143737/3b6618ff6dbd/cureus-0017-00000083619-i01.jpg

文献AI研究员

20分钟写一篇综述,助力文献阅读效率提升50倍。

立即体验

用中文搜PubMed

大模型驱动的PubMed中文搜索引擎

马上搜索

文档翻译

学术文献翻译模型,支持多种主流文档格式。

立即体验