Suppr超能文献

局部类固醇注射对慢性足底筋膜炎的内镜下足底筋膜松解术是否具有预后价值?

Does local steroid injection have a prognostic value for endoscopic plantar fascia release in chronic plantar fasciopathy?

作者信息

Mohamed Mohamed A, Redwan Mohammed S, Noaman Hassan H, Elsayed Moustafa

机构信息

Department of Orthopaedics and Traumatology, Sohag Faculty of medicine, Sohag University, Sohag, Egypt.

出版信息

BMC Musculoskelet Disord. 2025 Jun 9;26(1):576. doi: 10.1186/s12891-025-08816-4.

Abstract

PURPOSE

To determine if previous local steroid injection can alter the patient response to endoscopic plantar fascia release.

METHODS

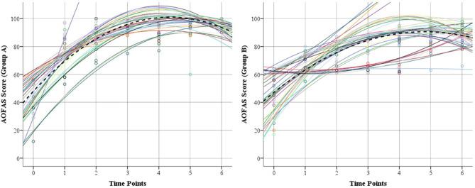
It is a prospective non-randomized comparative study of 100 adult patients, suffered from plantar fasciopathy for at least one year, and had reported either temporary or no response to two or more of conservative treatments, including local corticosteroid injection. Enrolled patients were non-randomly allocated by convenience sampling into two groups. The first 50 patients who reported improvement in response to local corticosteroid injection were allocated to Group (A) The first 50 patients who did not report any improvement after injection were allocated to group (B) Both groups underwent endoscopic plantar fascia release. Clinical evaluation was carried out using the visual analogue scale (VAS), American Orthopaedic Foot and Ankle-Hindfoot Scale (AOFAS) and Patient self-assessment (Roles and Maudsley score) preoperatively and at 4, 8 weeks, 3, 6, 12, and 24 months postoperatively.

RESULTS

Both groups showed a statistically significant improvement in VAS for heel pain, AOFAS score, and Roles and Maudsley score. Group A demonstrated significantly better VAS, AOFAS, and self-assessment scores than group B at different follow-up intervals. Furthermore, trajectory analysis showed faster pain relief and functional recovery was observed in group A compared to group B.

CONCLUSION

Patients who experienced temporary improvement after local corticosteroid injection had better clinical outcomes following endoscopic plantar fascia release.

CLINICAL TRIAL NUMBER

Not applicable.

摘要

目的

确定既往局部注射类固醇是否会改变患者对内镜下足底筋膜松解术的反应。

方法

这是一项对100例成年患者进行的前瞻性非随机对照研究,这些患者患有足底筋膜炎至少一年,并且对包括局部皮质类固醇注射在内的两种或更多种保守治疗报告有暂时反应或无反应。通过便利抽样将入选患者非随机分配到两组。对局部皮质类固醇注射有反应且报告症状改善的前50例患者被分配到A组;注射后未报告任何改善的前50例患者被分配到B组。两组均接受内镜下足底筋膜松解术。术前以及术后4周、8周、3个月、6个月、12个月和24个月,使用视觉模拟量表(VAS)、美国矫形足踝协会后足量表(AOFAS)和患者自我评估(Roles和Maudsley评分)进行临床评估。

结果

两组在足跟疼痛的VAS评分、AOFAS评分以及Roles和Maudsley评分方面均显示出统计学上的显著改善。在不同的随访间隔中,A组的VAS评分、AOFAS评分和自我评估评分均显著优于B组。此外,轨迹分析显示,与B组相比,A组的疼痛缓解更快,功能恢复更好。

结论

局部注射皮质类固醇后暂时改善的患者在内镜下足底筋膜松解术后具有更好的临床效果。

临床试验编号

不适用。

https://cdn.ncbi.nlm.nih.gov/pmc/blobs/b7d2/12150543/16abbc5263bc/12891_2025_8816_Fig1_HTML.jpg

文献检索

告别复杂PubMed语法,用中文像聊天一样搜索,搜遍4000万医学文献。AI智能推荐,让科研检索更轻松。

立即免费搜索

文件翻译

保留排版,准确专业,支持PDF/Word/PPT等文件格式,支持 12+语言互译。

免费翻译文档

深度研究

AI帮你快速写综述,25分钟生成高质量综述,智能提取关键信息,辅助科研写作。

立即免费体验