Suppr超能文献

美国成年人非高密度脂蛋白胆固醇与高密度脂蛋白胆固醇比值(NHHR)和尿白蛋白肌酐比值(ACR)之间的关联:2005 - 2018年美国国家健康与营养检查调查(NHANES)

Association between non-high-density lipoprotein cholesterol to high-density lipoprotein cholesterol ratio (NHHR) and urinary albumin-creatinine ratio (ACR) in US adults: NHANES 2005-2018.

作者信息

Yong Chaoying, He Hongbin, Zhou Chaohui, Zhang Xiaoqin, Li Tian, Dong Juan, Zhang Yingjuan

机构信息

Department of Nephrology, Panzhihua Central Hospital, Panzhihua, China.

出版信息

PLoS One. 2025 Jun 10;20(6):e0325843. doi: 10.1371/journal.pone.0325843. eCollection 2025.

Abstract

PURPOSE

The ratio of non-high-density lipoprotein cholesterol (NHDL-C) to high-density lipoprotein cholesterol (HDL-C), referred to as NHHR, is an emerging lipid parameter. The relationship between NHHR and the urinary albumin-creatinine ratio (ACR) remains unclear. Therefore, our aim is to explore the potential correlation between NHHR and ACR.

METHODS

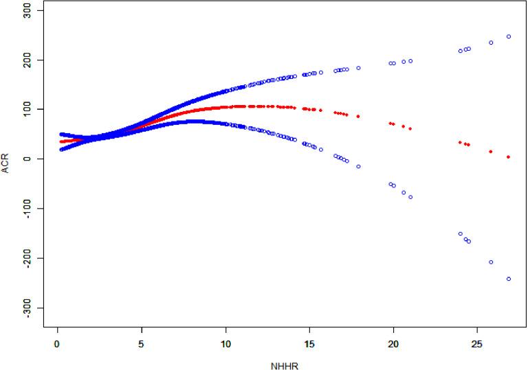
Data for this study were sourced from the 2005-2018 National Health and Nutrition Examination Survey (NHANES). Participants under 20 years, pregnant individuals, and those missing NHHR or ACR data were excluded. NHHR, calculated as the difference between total cholesterol (TC) and HDL-C divided by HDL-C, was assessed. Our analysis of the NHHR-ACR association involved multivariable linear regression, smoothed curve fitting, and subgroup analysis.

RESULTS

A total of 34,734 participants were included, with a mean age of 49.81 ± 17.66 years. The prevalence of albuminuria was 12.66%. Multivariable regression analysis indicated a significant and independent positive association between NHHR and ACR after fully adjustment [β (95% CI): 7.19 (4.54, 9.85), p < 0.0001], particularly among female participants, individuals aged 60 or older, those of Mexican American or Non-Hispanic Black ethnicity, individuals with obesity, hypertension or diabetes.

CONCLUSION

Our findings demonstrate a positive correlation between NHHR and elevated ACR in US adults, implying that lowering NHHR may serve as a preventive and palliative strategy for albuminuria.

摘要

目的

非高密度脂蛋白胆固醇(NHDL-C)与高密度脂蛋白胆固醇(HDL-C)的比值,即非高密度脂蛋白胆固醇/高密度脂蛋白胆固醇比值(NHHR),是一个新出现的血脂参数。NHHR与尿白蛋白肌酐比值(ACR)之间的关系尚不清楚。因此,我们的目的是探讨NHHR与ACR之间的潜在相关性。

方法

本研究的数据来源于2005 - 2018年美国国家健康与营养检查调查(NHANES)。排除20岁以下的参与者、孕妇以及缺少NHHR或ACR数据的参与者。计算NHHR,即总胆固醇(TC)与HDL-C的差值除以HDL-C。我们对NHHR与ACR关联的分析包括多变量线性回归、平滑曲线拟合和亚组分析。

结果

共纳入34734名参与者,平均年龄为49.81±17.66岁。蛋白尿的患病率为12.66%。多变量回归分析表明,在完全调整后,NHHR与ACR之间存在显著且独立的正相关[β(95%CI):7.19(4.54,9.85),p < 0.0001],特别是在女性参与者、60岁及以上的个体、墨西哥裔美国人或非西班牙裔黑人、肥胖、高血压或糖尿病患者中。

结论

我们的研究结果表明,在美国成年人中,NHHR与升高的ACR之间存在正相关,这意味着降低NHHR可能是预防和缓解蛋白尿的一种策略。

https://cdn.ncbi.nlm.nih.gov/pmc/blobs/8b64/12151393/7e5e9de82657/pone.0325843.g001.jpg

文献AI研究员

20分钟写一篇综述,助力文献阅读效率提升50倍。

立即体验

用中文搜PubMed

大模型驱动的PubMed中文搜索引擎

马上搜索

文档翻译

学术文献翻译模型,支持多种主流文档格式。

立即体验