Dong Hui, Wang Heng, Han Wenping, Niu Haigang
Fenyang College of Shanxi Medical University, Fengyang, China.
Food Laboratory of Zhong Yuan, Luohe, China.
Front Public Health. 2025 May 29;13:1600635. doi: 10.3389/fpubh.2025.1600635. eCollection 2025.
The global population aging trend has intensified concerns regarding pancreatic cancer (PC), a leading cause of cancer-related mortality with a 5-year survival rate of 13%. This study evaluates the global burden, temporal trends, and socioeconomic disparities of PC among individuals aged ≥55 years using the 2021 Global Burden of Disease (GBD) data.
Age-standardized incidence, prevalence, mortality, and disability-adjusted life years (DALYs) were analyzed across 204 countries. Joinpoint regression identified temporal trends (1990-2021), while Bayesian Age-Period-Cohort (BAPC) modeling projected future burden. Socioeconomic disparities were assessed via the Socio-demographic Index (SDI), and risk factor contributions were quantified using decomposition analysis.
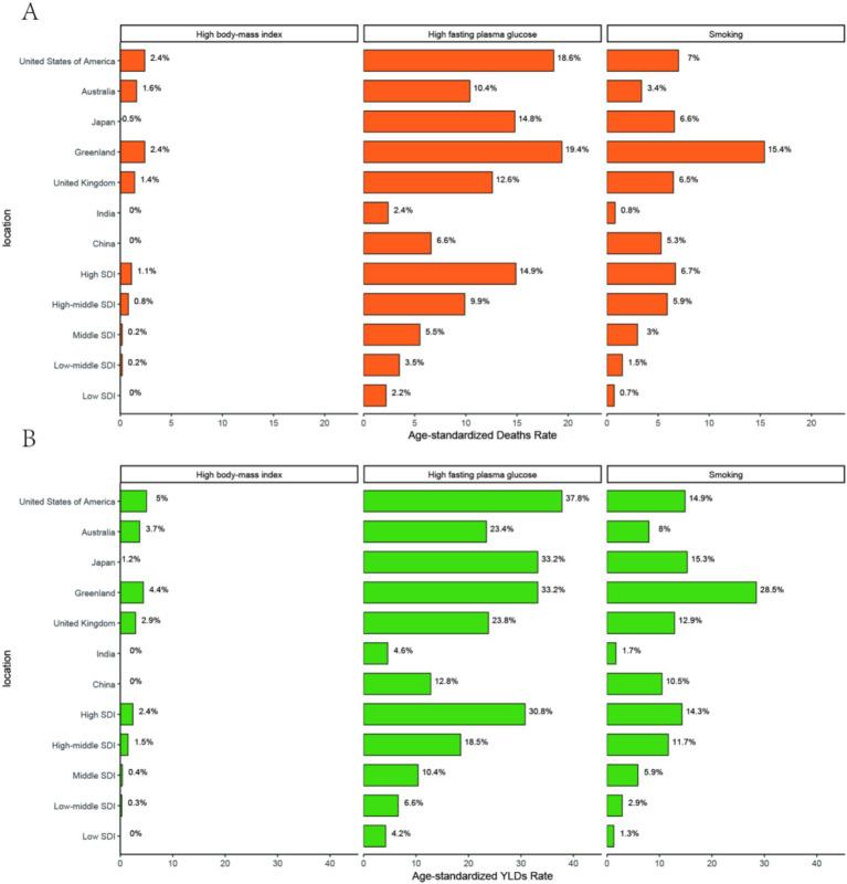
In 2021, Finland, Germany, and Japan exhibited the highest age-standardized PC prevalence (ASPR: 64.42-66.17 per 100,000 population), contrasting sharply with Mozambique (ASPR: 2.85 per 100,000 population). Mortality peaked in Greenland (age-standardized death rate, ASDR: 81.85 per 100,000 population) and Monaco (ASDR: 71.75 per 100,000 population). Males showed elevated burden across incidence, prevalence, and mortality (peak age: 70-74 years), with global trends persistently rising (average annual percentage change, AAPC >0, 1990-2021). China experienced a transient mortality decline (AAPC = -0.93, 2011-2015), linked to healthcare reforms. High SDI regions (e.g., Japan) faced amplified burdens driven by aging and metabolic risks, while smoking (15.4-28.5% of deaths and years lived with disability, YLDs) and hyperglycemia (37.8% of YLDs in the U.S.) dominated modifiable risks. Projections diverge significantly: China's age-standardized incidence rate (ASIR) burden is projected to increase from 27.96 (95% uncertainty interval, UI: 25.76, 30.16) in 2022 to 36.94 (UI: 0, 79.46) by 2045. In contrast, the global ASIR is expected to decline from 31.07 (UI: 30.06, 32.08) to 27.11 (UI: 8.73, 45.57).
Persistent socioeconomic and gender disparities underscore the need for targeted interventions, including tobacco control, glycemic management, and lifestyle modifications. Prioritizing aging populations in high-SDI regions and addressing underreported risks in low-SDI areas are critical for mitigating the growing PC burden.
全球人口老龄化趋势加剧了人们对胰腺癌(PC)的担忧,胰腺癌是癌症相关死亡的主要原因,5年生存率为13%。本研究利用2021年全球疾病负担(GBD)数据评估了全球55岁及以上人群中胰腺癌的负担、时间趋势和社会经济差异。
对204个国家的年龄标准化发病率、患病率、死亡率和伤残调整生命年(DALYs)进行了分析。Joinpoint回归确定了时间趋势(1990 - 2021年),而贝叶斯年龄-时期-队列(BAPC)模型预测了未来负担。通过社会人口指数(SDI)评估社会经济差异,并使用分解分析量化风险因素的贡献。
2021年,芬兰、德国和日本的年龄标准化胰腺癌患病率最高(每10万人中年龄标准化患病率:64.42 - 66.17),与莫桑比克形成鲜明对比(每10万人中年龄标准化患病率:2.85)。死亡率在格陵兰岛(年龄标准化死亡率,ASDR:每10万人中81.85)和摩纳哥(ASDR:每10万人中71.75)达到峰值。男性在发病率、患病率和死亡率方面的负担较高(峰值年龄:70 - 74岁),全球趋势持续上升(平均年度百分比变化,AAPC>0,1990 - 2021年)。中国经历了死亡率的短暂下降(AAPC = -0.93,2011 - 2015年),这与医疗改革有关。高SDI地区(如日本)由于老龄化和代谢风险面临更大的负担,而吸烟(占死亡和伤残调整生命年,YLDs的15.4 - 28.5%)和高血糖(在美国占YLDs的37.8%)是主要的可改变风险。预测结果差异显著:中国的年龄标准化发病率(ASIR)负担预计将从2022年的27.96(95%不确定区间,UI:25.76,30.16)增加到2045年的36.94(UI:0,79.46)。相比之下,全球ASIR预计将从31.07(UI:30.06,32.08)降至27.11(UI:8.73,45.57)。
持续存在的社会经济和性别差异凸显了针对性干预措施的必要性,包括烟草控制、血糖管理和生活方式改变。在高SDI地区优先关注老年人群体,并解决低SDI地区报告不足的风险,对于减轻日益增加的胰腺癌负担至关重要。