Suppr超能文献

前列腺癌患者中[18F]PSMA - 1007摄取变异性的评估。

Evaluation of [18F]PSMA-1007 uptake variability in patients with prostate cancer.

作者信息

Trägårdh Elin, Larsson Måns, Minarik David, Enqvist Olof, Edenbrandt Lars

机构信息

Department of Clinical Physiology and Nuclear Medicine, Skåne University Hospital, Malmö, Sweden.

Department of Translational Medicine and Wallenberg Center for Molecular Medicine, Lund University, Malmö, Sweden.

出版信息

Clin Physiol Funct Imaging. 2025 Jul;45(4):e70016. doi: 10.1111/cpf.70016.

Abstract

BACKGROUND

The biodistribution of PSMA-ligands is of interest in radionuclide therapy planning. We investigated the variability of [F]PSMA-1007 uptake in organs at risk and in relation to tumour burden in prostate cancer patients.

METHODS

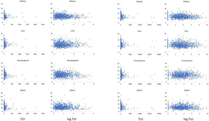
A total of 1086 patients who underwent PSMA PET-CT for staging or recurrence of prostate cancer were included. Total lesion volume (TLV) and total lesion uptake (TLU) were calculated from manual segmentations. The mean standardized uptake value (SUV) in the organs at risk kidneys, liver, parotid glands and spleen was obtained. Correlations between TLV/TLU and SUV in normal tissues were calculated using Spearman rank correlation. SUV in normal tissues was stratified into groups based on TLV.

RESULTS

The median (IQR) SUV of the kidneys, liver, parotid glands, and spleen was 13.1 (IQR 4.6), 11.8 (4.4), 18.6 (6.8) and 11.3 (5.8), respectively. The median TLV was 3.8 cm (9.7) and median TLU was 31.2 cm (106.3). There was no significant correlation between TLV or TLU and SUV for the liver, parotid glands, or spleen, but a weak negative correlation between TLV/TLU and SUV in the kidneys (r = -0.011, p = 0.0005; r = -0.09, p = 0.003). There was a tendency towards a lower SUV in the kidneys and parotid glands in patients with a very high TLV.

CONCLUSIONS

There was a large uptake variability in organs at risk, which demonstrates the need for individual pretherapy dosimetry. There may be a tumour sink effect in the kidneys and parotid glands in patients with a very high TLV.

摘要

背景

在放射性核素治疗计划中,PSMA配体的生物分布备受关注。我们研究了前列腺癌患者中[F]PSMA - 1007在危险器官中的摄取变异性及其与肿瘤负荷的关系。

方法

共纳入1086例因前列腺癌分期或复发而接受PSMA PET - CT检查的患者。通过手动分割计算总病变体积(TLV)和总病变摄取量(TLU)。获取肾脏、肝脏、腮腺和脾脏等危险器官的平均标准化摄取值(SUV)。使用Spearman等级相关性计算正常组织中TLV/TLU与SUV之间的相关性。根据TLV将正常组织中的SUV分层分组。

结果

肾脏、肝脏、腮腺和脾脏的SUV中位数(IQR)分别为13.1(IQR 4.6)、11.8(4.4)、18.6(6.8)和11.3(5.8)。TLV中位数为3.8 cm(9.7),TLU中位数为31.2 cm(106.3)。肝脏、腮腺或脾脏的TLV或TLU与SUV之间无显著相关性,但肾脏中TLV/TLU与SUV之间存在弱负相关性(r = -0.011,p = 0.0005;r = -0.09,p = 0.003)。TLV非常高的患者,其肾脏和腮腺的SUV有降低趋势。

结论

危险器官存在较大的摄取变异性,这表明需要进行个体化的治疗前剂量测定。TLV非常高的患者,其肾脏和腮腺可能存在肿瘤吸收效应。

https://cdn.ncbi.nlm.nih.gov/pmc/blobs/441b/12167615/375a23fd2ba4/CPF-45-0-g001.jpg

文献AI研究员

20分钟写一篇综述,助力文献阅读效率提升50倍。

立即体验

用中文搜PubMed

大模型驱动的PubMed中文搜索引擎

马上搜索

文档翻译

学术文献翻译模型,支持多种主流文档格式。

立即体验