Suppr超能文献

特殊耐力系数有助于评估跑步表现。

Special endurance coefficients enable the evaluation of running performance.

作者信息

Blödorn Wolfgang, Döring Frank

机构信息

Institute of Human Nutrition and Food Science, Department of Molecular Prevention, Christian-Albrechts-University of Kiel, Heinrich Hecht-Platz 10, 24118, Kiel, Germany.

出版信息

Sci Rep. 2025 Jun 20;15(1):20184. doi: 10.1038/s41598-025-06009-6.

Abstract

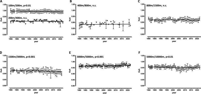
Running performance from sprint to long distance is largely determined by the interplay between basic speed and endurance. Existing power-law, physiological, and theoretical models describe and explain the characteristic decline in pace with increasing distance. However, normative and statistically validated measures that capture both the average and variability of pace decline across standard track distances remain incomplete. To address this gap, we analysed over 14,000 race times from competitive male runners and introduce the coefficient of special endurance (KsA), a novel metric that quantifies relative pace loss between adjacent race distances, from 100/200 to 5000/10,000 m. The KsA values obtained for seven distance pairs are nearly constant over decades in national runners, show low variability, and predict race times with less than one percent. The KsA-based reference ranges allow performance to be evaluated from the international to the regional level. This provides specific insight into runners' strengths, weaknesses and progression for individualizing training, selecting the most promising race distance, and identifying and developing talent. Overall, we provide empirically derived KsA values that serve as statistical norms for pace loss from 100 m to 10,000 m to evaluate running performance of males. The current approach should also be applicable to women, juniors, and road runners.

摘要

从短跑至长跑的跑步表现很大程度上取决于基本速度和耐力之间的相互作用。现有的幂律、生理学和理论模型描述并解释了随着距离增加配速的特征性下降。然而,能够捕捉标准跑道距离上配速下降的平均值和变异性的标准化且经过统计验证的指标仍不完整。为了填补这一空白,我们分析了超过14000名男性竞技跑步者的比赛成绩,并引入了专项耐力系数(KsA),这是一种新的指标,用于量化相邻比赛距离(从100/200米到5000/10000米)之间的相对配速损失。在几十年间,国内跑步者七个距离对的KsA值几乎恒定,变异性低,预测比赛成绩的误差小于1%。基于KsA的参考范围可用于评估从国际到地区层面的表现。这为个性化训练、选择最有潜力的比赛距离以及识别和培养人才提供了关于跑步者优势、劣势和进步情况的具体见解。总体而言,我们提供了基于经验得出的KsA值,作为100米至10000米配速损失的统计规范,以评估男性的跑步表现。目前的方法也应适用于女性、青少年和公路跑步者。

https://cdn.ncbi.nlm.nih.gov/pmc/blobs/e67e/12181339/2802ecc9c589/41598_2025_6009_Fig1_HTML.jpg

文献AI研究员

20分钟写一篇综述,助力文献阅读效率提升50倍。

立即体验

用中文搜PubMed

大模型驱动的PubMed中文搜索引擎

马上搜索

文档翻译

学术文献翻译模型,支持多种主流文档格式。

立即体验