Suppr超能文献

他汀类药物、依折麦布和贝特类药物单药治疗或联合治疗高脂血症的疗效和安全性:一项系统评价和网状Meta分析。

Efficacy and safety of statins, ezetimibe, and fibrates monotherapy or combination therapy for hyperlipidemia: a systematic review and network meta-analysis.

作者信息

Zhang Shujie, Sun Tingting, Song Lina, Jin Xiaodong, Li Bo

机构信息

School of Clinical Medicine, Shandong Second Medical University, Weifang, 261000, Shandong, China.

Department of Health Education, Maternal and Child, Health Care Hospital of Zibo, Zibo, China.

出版信息

Eur J Med Res. 2025 Jun 23;30(1):509. doi: 10.1186/s40001-025-02805-y.

Abstract

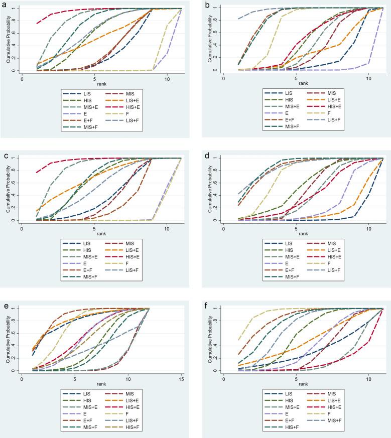
As commonly used lipid-lowering drugs, the efficacy and safety of statins, ezetimibe, and fibrates, either alone or in combination, have rarely been systematically evaluated. Therefore, we conducted a network meta-analysis to assess their efficacy and safety in patients with hyperlipidemia. In this study, we searched PubMed, the Cochrane Library, and Web of Science within our system. We included randomized controlled trials (RCTs) that compared the monotherapy or combination therapy of statins, ezetimibe, and fibrates for hyperlipidemia. Data analysis was performed using Stata 17.0 software. Each result is presented as the mean difference (MD) or odds ratio (OR) along with the 95% confidence interval (CI) and the surface under the cumulative ranking curve (SUCRA). A total of 30 studies, involving 10,219 patients, were included to analyze 12 different interventions. Combination therapy demonstrated superior therapeutic effects compared to monotherapy. Moderate-intensity statin + ezetimibe showed good efficacy and acceptable safety in reducing LDL cholesterol, while moderate-intensity statin + fibrate was a better choice for treating mixed dyslipidemia.

摘要

作为常用的降脂药物,他汀类药物、依折麦布和贝特类药物单独使用或联合使用时的疗效和安全性很少得到系统评估。因此,我们进行了一项网状荟萃分析,以评估它们在高脂血症患者中的疗效和安全性。在本研究中,我们在本系统内检索了PubMed、Cochrane图书馆和科学网。我们纳入了比较他汀类药物、依折麦布和贝特类药物单药治疗或联合治疗高脂血症的随机对照试验(RCT)。使用Stata 17.0软件进行数据分析。每个结果均以平均差(MD)或比值比(OR)以及95%置信区间(CI)和累积排序曲线下面积(SUCRA)表示。共纳入30项研究,涉及10219例患者,以分析12种不同的干预措施。联合治疗显示出优于单药治疗的疗效。中等强度他汀类药物+依折麦布在降低低密度脂蛋白胆固醇方面显示出良好的疗效和可接受的安全性,而中等强度他汀类药物+贝特类药物是治疗混合性血脂异常的更好选择。

https://cdn.ncbi.nlm.nih.gov/pmc/blobs/abdc/12183893/b90f0b1f122e/40001_2025_2805_Fig1_HTML.jpg

文献AI研究员

20分钟写一篇综述,助力文献阅读效率提升50倍。

立即体验

用中文搜PubMed

大模型驱动的PubMed中文搜索引擎

马上搜索

文档翻译

学术文献翻译模型,支持多种主流文档格式。

立即体验