Suppr超能文献

重症成年患者静脉注射克拉霉素的群体药代动力学研究。

Intravenous Clarithromycin in Critically Ill Adults: A Population Pharmacokinetic Study.

作者信息

Shah Reya V, Kipper Karin, Baker Emma H, Barker Charlotte I S, Oldfield Isobel, Davidson Harriet C, Swire Cleodie C, Philips Barbara J, Johnston Atholl, Rhodes Andrew, Sharland Mike, Standing Joseph F, Lonsdale Dagan O

机构信息

Institute for Infection and Immunity, City St George's, University of London, London SW17 0RE, UK.

Department of Clinical Pharmacology & Therapeutics, St George's University Hospitals NHS Foundation Trust, London SW17 0QT, UK.

出版信息

Antibiotics (Basel). 2025 May 30;14(6):559. doi: 10.3390/antibiotics14060559.

Abstract

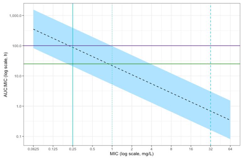
Clarithromycin is a commonly used macrolide antibiotic. Infection is a major source of mortality and morbidity in critical care units. Pharmacokinetics may vary during critical illness and suboptimal antimicrobial exposure has been shown to be associated with treatment failure. The pharmacokinetics of intravenous clarithromycin in critical illness have not previously been described. Pharmacokinetic, clinical and demographic data were collected from critically ill adults receiving intravenous clarithromycin. Drug concentrations were measured using high-performance liquid chromatography/mass spectrometry. Population pharmacokinetic analysis was performed using NONMEM version 7.5.1. Allometric weight scaling was added, and periods of renal replacement therapy were excluded a priori. Simulations of 10,000 patients were performed to assess pharmacokinetic-pharmacodynamic (PKPD) target attainment. The analysis included 121 samples taken from 19 participants. A two-compartment model was found to provide the best fit. The addition of covariates did not improve model fit. There was no evidence of auto-inhibition in this population. Population parameter estimates of clearance and volume of distribution were lower than previously reported, with high interindividual variability. Simulations suggested reasonable pharmacokinetic-pharmacodynamic (PKPD) target attainment with current dosing regimens for most organisms that clarithromycin is used to treat with known clinical breakpoints. To our knowledge, this is the first study to describe the pharmacokinetics of intravenous clarithromycin in humans. Although our simulations suggest reasonable target attainment, further investigation into appropriate PKPD targets and clinical breakpoints for clarithromycin may enable dosing optimisation in this population.

摘要

克拉霉素是一种常用的大环内酯类抗生素。感染是重症监护病房死亡和发病的主要原因。在危重病期间,药代动力学可能会有所不同,且抗菌药物暴露不足已被证明与治疗失败有关。此前尚未描述过静脉注射克拉霉素在危重病中的药代动力学。从接受静脉注射克拉霉素的成年危重病患者中收集药代动力学、临床和人口统计学数据。使用高效液相色谱/质谱法测量药物浓度。使用NONMEM 7.5.1版进行群体药代动力学分析。加入了体表面积法体重换算,并事先排除了肾脏替代治疗期。对10000名患者进行了模拟,以评估药代动力学-药效学(PKPD)目标达成情况。分析包括从19名参与者身上采集的121个样本。发现二室模型拟合效果最佳。加入协变量并没有改善模型拟合。在该人群中没有自抑制的证据。清除率和分布容积的群体参数估计值低于先前报道的值,个体间差异较大。模拟表明,对于大多数使用克拉霉素治疗且已知临床断点的病原体,当前给药方案能合理达成药代动力学-药效学(PKPD)目标。据我们所知,这是第一项描述静脉注射克拉霉素在人体中药代动力学的研究。尽管我们的模拟表明目标达成情况合理,但进一步研究克拉霉素合适的PKPD目标和临床断点可能有助于该人群的给药优化。

https://cdn.ncbi.nlm.nih.gov/pmc/blobs/005b/12189505/bb01120b5184/antibiotics-14-00559-g001.jpg

文献检索

告别复杂PubMed语法,用中文像聊天一样搜索,搜遍4000万医学文献。AI智能推荐,让科研检索更轻松。

立即免费搜索

文件翻译

保留排版,准确专业,支持PDF/Word/PPT等文件格式,支持 12+语言互译。

免费翻译文档

深度研究

AI帮你快速写综述,25分钟生成高质量综述,智能提取关键信息,辅助科研写作。

立即免费体验