Suppr超能文献

急性冠状动脉综合征患者五年预后的预测因素

Predictors of Five-Year Outcomes in Patients with Acute Coronary Syndromes.

作者信息

Di Vito Luca, Scalone Giancarla, Di Giusto Federico, Bruscoli Filippo, Silenzi Simona, Selimi Adelina, Massari Arianna, Delfino Domenico, Guerra Federico, Grossi Pierfrancesco

机构信息

Cardiology Unit, C. and G. Mazzoni Hospital, 63100 AST Ascoli Piceno, Italy.

Cardiology and Arrhythmology Clinic, Marche Polytechnic University of Ancona, 60121 Ancona, Italy.

出版信息

J Cardiovasc Dev Dis. 2025 Jun 18;12(6):234. doi: 10.3390/jcdd12060234.

Abstract

BACKGROUND

Residual risk after acute coronary syndromes (ACSs) continues to affect prognosis. We investigated the impact of female sex, non-ST-segment-elevation myocardial infarction (NSTEMI), diabetes mellitus (DM), and chronic kidney disease (CKD) on coronary atherosclerosis extent, culprit stenosis location, and bio-humoral data. The rate of both major adverse cardiovascular events (MACE) and non-fatal recurrent coronary events (RCE) was additionally evaluated.

METHODS

We enrolled 1404 ACS patients and followed them for up to 5 years. Coronary culprit and non-culprit stenoses were analyzed using angiography. Biohumoral data was assessed at admission and at 1 month and 12 months after discharge. Patients were compared based on sex, NSTEMI, DM, and CKD presence.

RESULTS

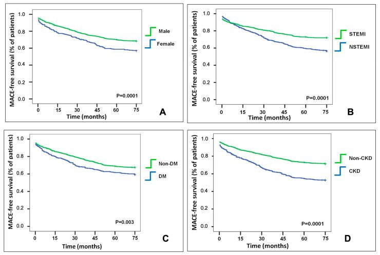
NSTEMI patients had a higher number of total coronary stenoses (3.5 vs. 3.3, = 0.013) and non-culprit stenoses (2.3 vs. 1.6, = 0.0001). Non-culprit percent stenosis was significantly greater in NSTEMI as compared to STEMI patients (57.9% vs. 47.1%, = 0.0001). DM patients had a higher frequency of bifurcation lesions (41% vs. 25%, = 0.0001). CKD patients showed a higher prevalence of left main disease (3.4% vs. 1.5%, = 0.038). Female patients had higher LDL-cholesterol values at 1 month and 12 months. NSTEMI, DM, and creatinine level were independent predictors of MACE. NSTEMI patients had an increased risk of non-fatal RCE.

CONCLUSIONS

NSTEMI, DM, and creatinine levels at admission were independent predictors of MACE in the first 5 years after an ACS.

摘要

背景

急性冠状动脉综合征(ACS)后的残余风险持续影响预后。我们研究了女性、非ST段抬高型心肌梗死(NSTEMI)、糖尿病(DM)和慢性肾脏病(CKD)对冠状动脉粥样硬化程度、罪犯病变狭窄部位及生物体液数据的影响。此外,还评估了主要不良心血管事件(MACE)和非致死性复发性冠状动脉事件(RCE)的发生率。

方法

我们纳入了1404例ACS患者,并对其进行了长达5年的随访。使用血管造影术分析冠状动脉罪犯病变和非罪犯病变狭窄情况。在入院时、出院后1个月和12个月评估生物体液数据。根据性别、NSTEMI、DM和CKD的存在情况对患者进行比较。

结果

NSTEMI患者的冠状动脉总狭窄数(3.5对3.3,P = 0.013)和非罪犯病变狭窄数(2.3对1.6,P = 0.0001)更多。与ST段抬高型心肌梗死(STEMI)患者相比,NSTEMI患者的非罪犯病变狭窄百分比显著更高(57.9%对47.1%,P = 0.0001)。DM患者分叉病变的发生率更高(41%对25%,P = 0.0001)。CKD患者左主干病变的患病率更高(3.4%对1.5%,P = 0.038)。女性患者在1个月和12个月时的低密度脂蛋白胆固醇值更高。NSTEMI、DM和肌酐水平是MACE的独立预测因素。NSTEMI患者发生非致死性RCE的风险增加。

结论

入院时的NSTEMI、DM和肌酐水平是ACS后前5年MACE的独立预测因素。

https://cdn.ncbi.nlm.nih.gov/pmc/blobs/c52d/12193916/5b7f874e3cda/jcdd-12-00234-g001.jpg

文献检索

告别复杂PubMed语法,用中文像聊天一样搜索,搜遍4000万医学文献。AI智能推荐,让科研检索更轻松。

立即免费搜索

文件翻译

保留排版,准确专业,支持PDF/Word/PPT等文件格式,支持 12+语言互译。

免费翻译文档

深度研究

AI帮你快速写综述,25分钟生成高质量综述,智能提取关键信息,辅助科研写作。

立即免费体验