• 文献检索
  • 文档翻译
  • 深度研究
  • 学术资讯
  • Suppr Zotero 插件Zotero 插件
  • 邀请有礼
  • 套餐&价格
  • 历史记录
应用&插件
Suppr Zotero 插件Zotero 插件浏览器插件Mac 客户端Windows 客户端微信小程序
定价
高级版会员购买积分包购买API积分包
服务
文献检索文档翻译深度研究API 文档MCP 服务
关于我们
关于 Suppr公司介绍联系我们用户协议隐私条款
关注我们

Suppr 超能文献

核心技术专利:CN118964589B侵权必究
粤ICP备2023148730 号-1Suppr @ 2026

文献检索

告别复杂PubMed语法,用中文像聊天一样搜索,搜遍4000万医学文献。AI智能推荐,让科研检索更轻松。

立即免费搜索

文件翻译

保留排版,准确专业,支持PDF/Word/PPT等文件格式,支持 12+语言互译。

免费翻译文档

深度研究

AI帮你快速写综述,25分钟生成高质量综述,智能提取关键信息,辅助科研写作。

立即免费体验

2019年异常死亡事件周边密西西比海峡搁浅的宽吻海豚的组织元素水平和重金属负荷

Tissue Element Levels and Heavy Metal Burdens in Bottlenose Dolphins That Stranded in the Mississippi Sound Surrounding the 2019 Unusual Mortality Event.

作者信息

Landrau-Giovannetti Nelmarie, Murray Ryanne, Reichley Stephen, Moore Debra, Madrigal Theresa, Brown Ashli, Meredith Ashley, Childers Christina, Sparks Darrell, Solangi Moby, Linhoss Anna, Peterman Beth, Lawrence Mark, Kaplan Barbara L F

机构信息

Global Center for Aquatic Health and Food Security, Mississippi State University, Mississippi State, MS 39762, USA.

Department of Pathobiology and Population Medicine, College of Veterinary Medicine, Mississippi State University, Mississippi State, MS 39762, USA.

出版信息

Toxics. 2025 Jun 18;13(6):511. doi: 10.3390/toxics13060511.

DOI:10.3390/toxics13060511
PMID:40559984
原文链接:https://pmc.ncbi.nlm.nih.gov/articles/PMC12197444/
Abstract

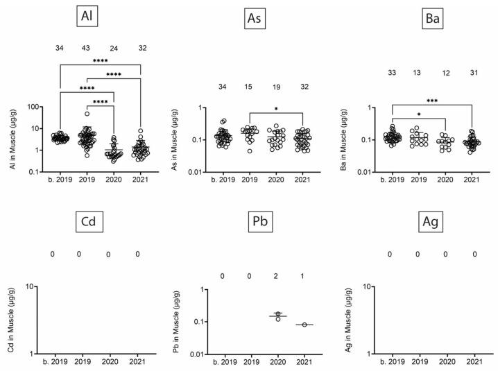
In 2019, an unusual mortality event (UME) affected bottlenose dolphins () in the Mississippi Sound (MSS) following an extended dual opening of the Bonnet Carré Spillway (BCS), which prevents flooding in New Orleans. This resulted in low salinity, skin lesions, and electrolyte imbalances in dolphins. Additionally, the influx likely altered the MSS's environmental chemical composition, including levels of heavy metals and metalloids; thus, we quantified heavy metals, metalloids, and essential elements in the tissues of dolphins that stranded in the MSS before and after the 2019 UME. We hypothesized that levels of heavy metals and metalloids (such as mercury (Hg), arsenic (As), lead (Pb), and cadmium (Cd)) would not show significant changes post-UME. Indeed, we found no major changes associated with the UME in most metals; sodium (Na) and magnesium (Mg) levels were lower in several tissues after 2019, which correlated with the average yearly salinity measured from the MSS. Toxic metals and metalloids were detectable with some changes over time; however, the selenium (Se):Hg molar ratio increased in some tissues post-2019. Additionally, we confirmed that Hg can bioaccumulate, with positive correlations between Hg levels and dolphin size as assessed by straight length. Overall, our findings indicate that freshwater incursions into the MSS can alter dolphin exposure to essential and toxic elements.

摘要

2019年,在邦尼特卡雷泄洪道(BCS)长期双孔开放后,一场异常死亡事件(UME)影响了密西西比海峡(MSS)的宽吻海豚。BCS可防止新奥尔良发生洪水。这导致海豚出现低盐度、皮肤损伤和电解质失衡。此外,淡水涌入可能改变了MSS的环境化学成分,包括重金属和类金属的含量;因此,我们对2019年UME前后搁浅在MSS的海豚组织中的重金属、类金属和必需元素进行了量化。我们假设重金属和类金属(如汞(Hg)、砷(As)、铅(Pb)和镉(Cd))的含量在UME后不会出现显著变化。事实上,我们发现大多数金属与UME没有重大关联;2019年后,几个组织中的钠(Na)和镁(Mg)含量较低,这与从MSS测量的年平均盐度相关。随着时间的推移,可检测到有毒金属和类金属有一些变化;然而,2019年后,一些组织中的硒(Se):汞摩尔比有所增加。此外,我们证实汞可以生物累积,汞含量与海豚体长之间存在正相关。总体而言,我们的研究结果表明,淡水涌入MSS会改变海豚对必需元素和有毒元素的接触情况。

https://cdn.ncbi.nlm.nih.gov/pmc/blobs/112d/12197444/54afcea10848/toxics-13-00511-g011.jpg
https://cdn.ncbi.nlm.nih.gov/pmc/blobs/112d/12197444/9f08560b2ac6/toxics-13-00511-g001.jpg
https://cdn.ncbi.nlm.nih.gov/pmc/blobs/112d/12197444/865e5c949919/toxics-13-00511-g002.jpg
https://cdn.ncbi.nlm.nih.gov/pmc/blobs/112d/12197444/a99ff20db59a/toxics-13-00511-g003.jpg
https://cdn.ncbi.nlm.nih.gov/pmc/blobs/112d/12197444/b69233bde2a2/toxics-13-00511-g004.jpg
https://cdn.ncbi.nlm.nih.gov/pmc/blobs/112d/12197444/38c5364e5972/toxics-13-00511-g005.jpg
https://cdn.ncbi.nlm.nih.gov/pmc/blobs/112d/12197444/f6e694057f26/toxics-13-00511-g006.jpg
https://cdn.ncbi.nlm.nih.gov/pmc/blobs/112d/12197444/aa8b78fa892d/toxics-13-00511-g007.jpg
https://cdn.ncbi.nlm.nih.gov/pmc/blobs/112d/12197444/95816b8a9b27/toxics-13-00511-g008.jpg
https://cdn.ncbi.nlm.nih.gov/pmc/blobs/112d/12197444/c9fbe5f17e1d/toxics-13-00511-g009.jpg
https://cdn.ncbi.nlm.nih.gov/pmc/blobs/112d/12197444/d3fd8d349765/toxics-13-00511-g010.jpg
https://cdn.ncbi.nlm.nih.gov/pmc/blobs/112d/12197444/54afcea10848/toxics-13-00511-g011.jpg
https://cdn.ncbi.nlm.nih.gov/pmc/blobs/112d/12197444/9f08560b2ac6/toxics-13-00511-g001.jpg
https://cdn.ncbi.nlm.nih.gov/pmc/blobs/112d/12197444/865e5c949919/toxics-13-00511-g002.jpg
https://cdn.ncbi.nlm.nih.gov/pmc/blobs/112d/12197444/a99ff20db59a/toxics-13-00511-g003.jpg
https://cdn.ncbi.nlm.nih.gov/pmc/blobs/112d/12197444/b69233bde2a2/toxics-13-00511-g004.jpg
https://cdn.ncbi.nlm.nih.gov/pmc/blobs/112d/12197444/38c5364e5972/toxics-13-00511-g005.jpg
https://cdn.ncbi.nlm.nih.gov/pmc/blobs/112d/12197444/f6e694057f26/toxics-13-00511-g006.jpg
https://cdn.ncbi.nlm.nih.gov/pmc/blobs/112d/12197444/aa8b78fa892d/toxics-13-00511-g007.jpg
https://cdn.ncbi.nlm.nih.gov/pmc/blobs/112d/12197444/95816b8a9b27/toxics-13-00511-g008.jpg
https://cdn.ncbi.nlm.nih.gov/pmc/blobs/112d/12197444/c9fbe5f17e1d/toxics-13-00511-g009.jpg
https://cdn.ncbi.nlm.nih.gov/pmc/blobs/112d/12197444/d3fd8d349765/toxics-13-00511-g010.jpg
https://cdn.ncbi.nlm.nih.gov/pmc/blobs/112d/12197444/54afcea10848/toxics-13-00511-g011.jpg

相似文献

1
Tissue Element Levels and Heavy Metal Burdens in Bottlenose Dolphins That Stranded in the Mississippi Sound Surrounding the 2019 Unusual Mortality Event.2019年异常死亡事件周边密西西比海峡搁浅的宽吻海豚的组织元素水平和重金属负荷
Toxics. 2025 Jun 18;13(6):511. doi: 10.3390/toxics13060511.
2
Determination of PCB and PAH tissue levels in bottlenose dolphins that stranded in the Mississippi sound before and after the unusual mortality event in 2019.2019 年异常死亡事件前后在密西西比湾搁浅的宽吻海豚组织中 PCB 和 PAH 的检测。
Sci Total Environ. 2024 Dec 1;954:176747. doi: 10.1016/j.scitotenv.2024.176747. Epub 2024 Oct 6.
3
Selenium for preventing cancer.硒预防癌症。
Cochrane Database Syst Rev. 2018 Jan 29;1(1):CD005195. doi: 10.1002/14651858.CD005195.pub4.
4
Systemic treatments for metastatic cutaneous melanoma.转移性皮肤黑色素瘤的全身治疗
Cochrane Database Syst Rev. 2018 Feb 6;2(2):CD011123. doi: 10.1002/14651858.CD011123.pub2.
5
Role of Metals on SARS-CoV-2 Infection: a Review of Recent Epidemiological Studies.金属元素在 SARS-CoV-2 感染中的作用:对近期流行病学研究的综述。
Curr Environ Health Rep. 2023 Dec;10(4):353-368. doi: 10.1007/s40572-023-00409-4. Epub 2023 Sep 4.
6
Systematic review and meta-analysis links autism and toxic metals and highlights the impact of country development status: Higher blood and erythrocyte levels for mercury and lead, and higher hair antimony, cadmium, lead, and mercury.系统评价和荟萃分析将自闭症与有毒金属联系起来,并强调了国家发展状况的影响:血液和红细胞中的汞和铅含量更高,头发中的锑、镉、铅和汞含量更高。
Prog Neuropsychopharmacol Biol Psychiatry. 2017 Oct 3;79(Pt B):340-368. doi: 10.1016/j.pnpbp.2017.07.011. Epub 2017 Jul 14.
7
Systemic pharmacological treatments for chronic plaque psoriasis: a network meta-analysis.慢性斑块状银屑病的全身药理学治疗:一项网状Meta分析。
Cochrane Database Syst Rev. 2020 Jan 9;1(1):CD011535. doi: 10.1002/14651858.CD011535.pub3.
8
Direct composite resin fillings versus amalgam fillings for permanent posterior teeth.直接复合树脂充填与银汞合金充填用于永久性后牙。
Cochrane Database Syst Rev. 2021 Aug 13;8(8):CD005620. doi: 10.1002/14651858.CD005620.pub3.
9
Impacts of the Bonnet Carré Spillway on common bottlenose dolphins in the Mississippi Sound from 2010 to 2021.2010年至2021年邦尼特卡里溢洪道对密西西比海峡普通宽吻海豚的影响。
Sci Total Environ. 2025 Jan 1;958:177977. doi: 10.1016/j.scitotenv.2024.177977. Epub 2024 Dec 18.
10
Drugs for preventing postoperative nausea and vomiting in adults after general anaesthesia: a network meta-analysis.成人全身麻醉后预防术后恶心呕吐的药物:网状Meta分析
Cochrane Database Syst Rev. 2020 Oct 19;10(10):CD012859. doi: 10.1002/14651858.CD012859.pub2.

本文引用的文献

1
Determination of PCB and PAH tissue levels in bottlenose dolphins that stranded in the Mississippi sound before and after the unusual mortality event in 2019.2019 年异常死亡事件前后在密西西比湾搁浅的宽吻海豚组织中 PCB 和 PAH 的检测。
Sci Total Environ. 2024 Dec 1;954:176747. doi: 10.1016/j.scitotenv.2024.176747. Epub 2024 Oct 6.
2
Mercury and Selenium Accumulation in the Tissues of Stranded Bottlenose Dolphins () in Northeast Florida, 2013-2021.2013 - 2021年佛罗里达州东北部搁浅宽吻海豚()组织中的汞和硒积累情况
Animals (Basel). 2024 May 25;14(11):1571. doi: 10.3390/ani14111571.
3
Trophic transfer and biomagnification potential of environmental contaminants (heavy metals) in aquatic ecosystems.
水生生态系统中环境污染物(重金属)的营养转移和生物放大潜力。
Environ Pollut. 2024 Jan 1;340(Pt 1):122815. doi: 10.1016/j.envpol.2023.122815. Epub 2023 Oct 27.
4
High aluminum content in bone of marine mammals and its relation with source levels and origin.海洋哺乳动物骨骼中的高铝含量及其与源水平和来源的关系。
Environ Pollut. 2023 Aug 15;331(Pt 1):121936. doi: 10.1016/j.envpol.2023.121936. Epub 2023 May 30.
5
The potential use of skin and liver as biomarkers to estimate mercury in the brain, kidney, and muscle of bottlenose dolphins (Tursiops truncatus).将皮肤和肝脏用作生物标志物来估算宽吻海豚(瓶鼻海豚)大脑、肾脏和肌肉中汞含量的潜在用途。
Mar Pollut Bull. 2023 Jun;191:114903. doi: 10.1016/j.marpolbul.2023.114903. Epub 2023 Apr 14.
6
Elements in muscle tissue of three dolphin species from the east coast of South Africa.南非东海岸三种海豚肌肉组织中的元素。
Mar Pollut Bull. 2023 Mar;188:114707. doi: 10.1016/j.marpolbul.2023.114707. Epub 2023 Feb 17.
7
Selenium and mercury concentrations, Se:Hg molar ratios and their effect on the antioxidant system in wild mammals.野生哺乳动物体内的硒和汞浓度、硒与汞的摩尔比及其对抗氧化系统的影响。
Environ Pollut. 2023 Apr 1;322:121234. doi: 10.1016/j.envpol.2023.121234. Epub 2023 Feb 7.
8
Seasonal changes of trace elements, nutrients, dissolved organic matter, and coastal acidification over the largest oyster reef in the Western Mississippi Sound, USA.美国密西西比河西湾最大牡蛎礁的微量元素、营养物、溶解有机物和沿海酸化的季节性变化。
Environ Monit Assess. 2022 Dec 5;195(1):175. doi: 10.1007/s10661-022-10719-z.
9
Essential metals in health and disease.必需微量元素与健康和疾病。
Chem Biol Interact. 2022 Nov 1;367:110173. doi: 10.1016/j.cbi.2022.110173. Epub 2022 Sep 22.
10
Effect of trophic position on mercury concentrations in bottlenose dolphins (Tursiops truncatus) from the northern Gulf of Mexico.营养级位置对墨西哥湾北部宽吻海豚(Tursiops truncatus)体内汞浓度的影响。
Environ Res. 2022 Mar;204(Pt B):112124. doi: 10.1016/j.envres.2021.112124. Epub 2021 Sep 24.