Suppr超能文献

空位缺陷对MAPbI光电性能的影响

Vacancy Defects' Effects on the Optoelectronic Properties of MAPbI.

作者信息

Tang Wenchao, Ji Peiqi, Xu Ziyi, Xu Cuiping, Dai Jiaqi, Chen Xiyu, Xu Yawen, Cai Hongling, Zhang Fengming, Wu Xiaoshan

机构信息

National Laboratory of Solid State Microstructures, Department of Physics, Nanjing University, Nanjing 210093, China.

Institute of Materials Engineering, Nantong 226019, China.

出版信息

Materials (Basel). 2025 Jun 7;18(12):2694. doi: 10.3390/ma18122694.

Abstract

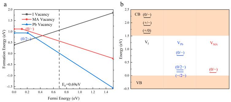
This work derived the relationship between the concentrations of Pb and I vacancies, along with MA vacancies, in MAPbI crystals and their effect on the short-circuit current of MAPbI-based solar photovoltaic devices. First principles calculations revealed that Pb and I vacancies introduce shallow defect levels near the Fermi level, acting as non-radiative recombination centers, which significantly influence the short-circuit current and open-circuit voltage. In contrast, MA vacancies have a negligible effect on the optoelectronic properties of MAPbI. Based on this correlation, we successfully elucidated the declining trend of the short-circuit current (J) in MAPbI-based devices with increasing Pb/I vacancy concentrations, while uncovering the microscopic mechanism responsible for the minor performance impact of MA vacancies.

摘要

这项工作推导了MAPbI晶体中Pb空位、I空位以及MA空位的浓度之间的关系,以及它们对基于MAPbI的太阳能光伏器件短路电流的影响。第一性原理计算表明,Pb空位和I空位在费米能级附近引入浅缺陷能级,充当非辐射复合中心,这对短路电流和开路电压有显著影响。相比之下,MA空位对MAPbI的光电性能影响可忽略不计。基于这种相关性,我们成功阐明了随着Pb/I空位浓度增加,基于MAPbI的器件中短路电流(J)的下降趋势,同时揭示了MA空位对性能影响较小的微观机制。

https://cdn.ncbi.nlm.nih.gov/pmc/blobs/599d/12193768/72f90547b61f/materials-18-02694-g001.jpg

文献AI研究员

20分钟写一篇综述,助力文献阅读效率提升50倍。

立即体验

用中文搜PubMed

大模型驱动的PubMed中文搜索引擎

马上搜索

文档翻译

学术文献翻译模型,支持多种主流文档格式。

立即体验