Suppr超能文献

用于预测负温养护条件下混凝土冻融损伤的机器学习模型

Machine Learning Models for Predicting Freeze-Thaw Damage of Concrete Under Subzero Temperature Curing Conditions.

作者信息

Zhao Yanhua, Yang Bo, Zhang Kai, Guo Aojun, Yu Yonghui, Chen Li

机构信息

Civil Engineering Department, Lanzhou Jiaotong University, Lanzhou 730070, China.

Key Laboratory of Desert and Desertification, Northwest Institute of Eco-Environment and Resources, Chinese Academy of Sciences, Lanzhou 730030, China.

出版信息

Materials (Basel). 2025 Jun 17;18(12):2856. doi: 10.3390/ma18122856.

Abstract

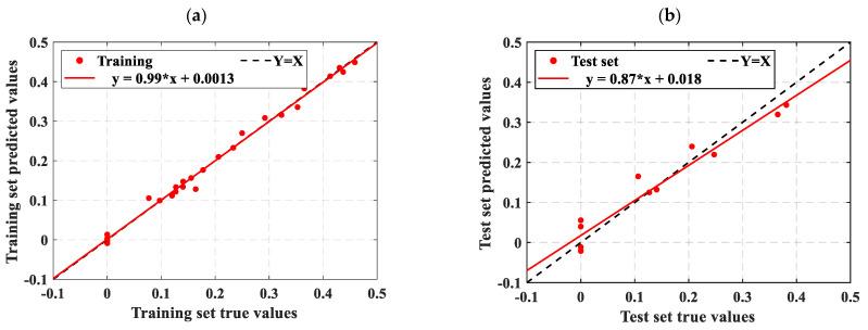
In high-elevation or high-latitude permafrost areas, persistent subzero temperatures significantly impact the freeze-thaw durability of concrete structures. Traditional methods for studying the frost resistance of concrete in permafrost regions do not provide a complete picture for predicting properties, and new approaches are needed using, for example, machine learning algorithms. This study utilizes four machine learning models-Support Vector Machine (SVM), extreme learning machine (ELM), long short-term memory (LSTM), and radial basis function neural network (RBFNN)-to predict freeze-thaw damage factors in concrete under low and subzero temperature conservation conditions. Building on the prediction results, the optimal model is refined to develop a new machine learning model: the Sparrow Search Algorithm-optimized Extreme Learning Machine (SSA-ELM). Furthermore, the SHapley Additive exPlanations (SHAP) value analysis method is employed to interpret this model, clarifying the relationship between factors affecting the freezing resistance of concrete and freeze-thaw damage factors. In conclusion, the empirical formula for concrete freeze-thaw damage is compared and validated against the prediction results from the SSA-ELM model. The study results indicate that the SSA-ELM model offers the most accurate predictions for concrete freeze-thaw resistance compared to the SVM, ELM, LSTM, and RBFNN models. SHAP value analysis quantitatively confirms that the number of freeze-thaw cycles is the most significant input parameter affecting the freeze-thaw damage coefficient of concrete. Comparative analysis shows that the accuracy of the SSA-ELMDE prediction set is improved by 15.46%, 9.19%, 21.79%, and 11.76%, respectively, compared with the prediction results of SVM, ELM, LSTM, and RBF. This parameter positively influences the prediction results for the freeze-thaw damage coefficient. Curing humidity has the least influence on the freeze-thaw damage factor of concrete. Comparing the prediction results with empirical formulas shows that the machine learning model provides more accurate predictions. This introduces a new approach for predicting the extent of freeze-thaw damage to concrete under low and subzero temperature conservation conditions.

摘要

在高海拔或高纬度的永久冻土地区,持续的零下温度会对混凝土结构的冻融耐久性产生显著影响。传统的研究冻土地区混凝土抗冻性的方法并不能全面地预测其性能,因此需要采用新的方法,例如使用机器学习算法。本研究利用四种机器学习模型——支持向量机(SVM)、极限学习机(ELM)、长短期记忆网络(LSTM)和径向基函数神经网络(RBFNN)——来预测低温和零下温度养护条件下混凝土的冻融损伤因子。基于预测结果,对最优模型进行优化,开发出一种新的机器学习模型:麻雀搜索算法优化的极限学习机(SSA - ELM)。此外,采用SHapley值加法解释(SHAP)值分析方法对该模型进行解释,阐明影响混凝土抗冻性的因素与冻融损伤因子之间的关系。最后,将混凝土冻融损伤的经验公式与SSA - ELM模型的预测结果进行比较和验证。研究结果表明,与SVM、ELM、LSTM和RBFNN模型相比,SSA - ELM模型对混凝土抗冻性的预测最为准确。SHAP值分析定量证实,冻融循环次数是影响混凝土冻融损伤系数的最显著输入参数。对比分析表明,与SVM、ELM、LSTM和RBF的预测结果相比,SSA - ELMDE预测集的准确率分别提高了15.46%、9.19%、21.79%和11.76%。该参数对冻融损伤系数的预测结果有积极影响。养护湿度对混凝土冻融损伤因子的影响最小。将预测结果与经验公式进行比较表明,机器学习模型提供了更准确的预测。这为预测低温和零下温度养护条件下混凝土的冻融损伤程度引入了一种新方法。

https://cdn.ncbi.nlm.nih.gov/pmc/blobs/7385/12194813/c0cd64cb9fd9/materials-18-02856-g001.jpg

文献检索

告别复杂PubMed语法,用中文像聊天一样搜索,搜遍4000万医学文献。AI智能推荐,让科研检索更轻松。

立即免费搜索

文件翻译

保留排版,准确专业,支持PDF/Word/PPT等文件格式,支持 12+语言互译。

免费翻译文档

深度研究

AI帮你快速写综述,25分钟生成高质量综述,智能提取关键信息,辅助科研写作。

立即免费体验