• 文献检索
  • 文档翻译
  • 深度研究
  • 学术资讯
  • Suppr Zotero 插件Zotero 插件
  • 邀请有礼
  • 套餐&价格
  • 历史记录
应用&插件
Suppr Zotero 插件Zotero 插件浏览器插件Mac 客户端Windows 客户端微信小程序
定价
高级版会员购买积分包购买API积分包
服务
文献检索文档翻译深度研究API 文档MCP 服务
关于我们
关于 Suppr公司介绍联系我们用户协议隐私条款
关注我们

Suppr 超能文献

核心技术专利:CN118964589B侵权必究
粤ICP备2023148730 号-1Suppr @ 2026

文献检索

告别复杂PubMed语法,用中文像聊天一样搜索,搜遍4000万医学文献。AI智能推荐,让科研检索更轻松。

立即免费搜索

文件翻译

保留排版,准确专业,支持PDF/Word/PPT等文件格式,支持 12+语言互译。

免费翻译文档

深度研究

AI帮你快速写综述,25分钟生成高质量综述,智能提取关键信息,辅助科研写作。

立即免费体验

利用隐马尔可夫模型和电化学噪声信号处理对AA2055进行智能腐蚀监测

Smart Corrosion Monitoring in AA2055 Using Hidden Markov Models and Electrochemical Noise Signal Processing.

作者信息

Martinez-Ramos Cynthia, Gaona-Tiburcio Citlalli, Estupiñan-López Francisco, Cabral-Miramontes Jose, Maldonado-Bandala Erick, Nieves-Mendoza Demetrio, Baltazar-Zamora Miguel Angel, Landa-Ruiz Laura, Galvan-Martinez Ricardo, Almeraya-Calderón Facundo

机构信息

Universidad Autónoma de Nuevo León Centro de Investigación e Innovación en Ingeniería Aeronáutica (CIIIA), FIME, San Nicolás de los Garza 66455, Mexico.

Facultad de Ingeniería Civil, Universidad Veracruzana, Xalapa 91000, Mexico.

出版信息

Materials (Basel). 2025 Jun 17;18(12):2865. doi: 10.3390/ma18122865.

DOI:10.3390/ma18122865
PMID:40572998
原文链接:https://pmc.ncbi.nlm.nih.gov/articles/PMC12195176/
Abstract

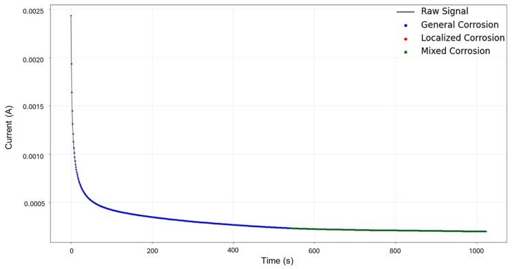
This work explores the application of Hidden Markov Models (HMMs) for the classification and reconstruction of corrosion mechanisms in the aerospace-grade aluminum alloy AA2055 from the signals obtained by electrochemical noise (EN) analysis. Using the PELT algorithm to segment the signal based on relevant changepoints, distinct corrosion states within the segments are isolated and identified, including general, localized, and mixed corrosion based on statistical signal features, which are used to create the probabilistic structure of HMMs through the initiation, transition, and emission matrices. This study utilized a dataset composed of five electrolyte groups, each containing ten EN signals with 1024 data points per signal, totaling 51,200 data points. The model demonstrates that even with variability in signal quality, meaningful reconstruction is achievable, especially when datasets include distinct transient behavior.

摘要

这项工作探索了隐马尔可夫模型(HMMs)在根据电化学噪声(EN)分析获得的信号对航空级铝合金AA2055的腐蚀机制进行分类和重构方面的应用。使用PELT算法基于相关变化点对信号进行分段,基于统计信号特征隔离并识别各段内不同的腐蚀状态,包括全面腐蚀、局部腐蚀和混合腐蚀,这些特征用于通过起始、转移和发射矩阵创建HMMs的概率结构。本研究使用了一个由五个电解质组组成的数据集,每个组包含十个EN信号,每个信号有1024个数据点,总计51200个数据点。该模型表明,即使信号质量存在差异,也能够实现有意义的重构,特别是当数据集包含明显的瞬态行为时。

https://cdn.ncbi.nlm.nih.gov/pmc/blobs/8c24/12195176/7020ef57dd3e/materials-18-02865-g013.jpg
https://cdn.ncbi.nlm.nih.gov/pmc/blobs/8c24/12195176/36850805f881/materials-18-02865-g002.jpg
https://cdn.ncbi.nlm.nih.gov/pmc/blobs/8c24/12195176/80ca4840fe3c/materials-18-02865-g003.jpg
https://cdn.ncbi.nlm.nih.gov/pmc/blobs/8c24/12195176/e30b6b524020/materials-18-02865-g004.jpg
https://cdn.ncbi.nlm.nih.gov/pmc/blobs/8c24/12195176/e55d3fddaa43/materials-18-02865-g005.jpg
https://cdn.ncbi.nlm.nih.gov/pmc/blobs/8c24/12195176/c8adc6720a5a/materials-18-02865-g006.jpg
https://cdn.ncbi.nlm.nih.gov/pmc/blobs/8c24/12195176/1abb40ecb90c/materials-18-02865-g007.jpg
https://cdn.ncbi.nlm.nih.gov/pmc/blobs/8c24/12195176/df13bff6a51c/materials-18-02865-g008.jpg
https://cdn.ncbi.nlm.nih.gov/pmc/blobs/8c24/12195176/bde31675b153/materials-18-02865-g009.jpg
https://cdn.ncbi.nlm.nih.gov/pmc/blobs/8c24/12195176/654def6462d9/materials-18-02865-g010.jpg
https://cdn.ncbi.nlm.nih.gov/pmc/blobs/8c24/12195176/4a30165401b0/materials-18-02865-g011.jpg
https://cdn.ncbi.nlm.nih.gov/pmc/blobs/8c24/12195176/958a86786be4/materials-18-02865-g014.jpg
https://cdn.ncbi.nlm.nih.gov/pmc/blobs/8c24/12195176/a74c48027749/materials-18-02865-g015.jpg
https://cdn.ncbi.nlm.nih.gov/pmc/blobs/8c24/12195176/7dbaaaf8a186/materials-18-02865-g016.jpg
https://cdn.ncbi.nlm.nih.gov/pmc/blobs/8c24/12195176/ad12ac795b4a/materials-18-02865-g017.jpg
https://cdn.ncbi.nlm.nih.gov/pmc/blobs/8c24/12195176/9ba9e18775f9/materials-18-02865-g018.jpg
https://cdn.ncbi.nlm.nih.gov/pmc/blobs/8c24/12195176/d509e4379dbb/materials-18-02865-g019.jpg
https://cdn.ncbi.nlm.nih.gov/pmc/blobs/8c24/12195176/2928744f4bc2/materials-18-02865-g020.jpg
https://cdn.ncbi.nlm.nih.gov/pmc/blobs/8c24/12195176/665dc63859d4/materials-18-02865-g021.jpg
https://cdn.ncbi.nlm.nih.gov/pmc/blobs/8c24/12195176/356baad952b8/materials-18-02865-g001.jpg
https://cdn.ncbi.nlm.nih.gov/pmc/blobs/8c24/12195176/d3f958ad2cff/materials-18-02865-g012.jpg
https://cdn.ncbi.nlm.nih.gov/pmc/blobs/8c24/12195176/7020ef57dd3e/materials-18-02865-g013.jpg
https://cdn.ncbi.nlm.nih.gov/pmc/blobs/8c24/12195176/36850805f881/materials-18-02865-g002.jpg
https://cdn.ncbi.nlm.nih.gov/pmc/blobs/8c24/12195176/80ca4840fe3c/materials-18-02865-g003.jpg
https://cdn.ncbi.nlm.nih.gov/pmc/blobs/8c24/12195176/e30b6b524020/materials-18-02865-g004.jpg
https://cdn.ncbi.nlm.nih.gov/pmc/blobs/8c24/12195176/e55d3fddaa43/materials-18-02865-g005.jpg
https://cdn.ncbi.nlm.nih.gov/pmc/blobs/8c24/12195176/c8adc6720a5a/materials-18-02865-g006.jpg
https://cdn.ncbi.nlm.nih.gov/pmc/blobs/8c24/12195176/1abb40ecb90c/materials-18-02865-g007.jpg
https://cdn.ncbi.nlm.nih.gov/pmc/blobs/8c24/12195176/df13bff6a51c/materials-18-02865-g008.jpg
https://cdn.ncbi.nlm.nih.gov/pmc/blobs/8c24/12195176/bde31675b153/materials-18-02865-g009.jpg
https://cdn.ncbi.nlm.nih.gov/pmc/blobs/8c24/12195176/654def6462d9/materials-18-02865-g010.jpg
https://cdn.ncbi.nlm.nih.gov/pmc/blobs/8c24/12195176/4a30165401b0/materials-18-02865-g011.jpg
https://cdn.ncbi.nlm.nih.gov/pmc/blobs/8c24/12195176/958a86786be4/materials-18-02865-g014.jpg
https://cdn.ncbi.nlm.nih.gov/pmc/blobs/8c24/12195176/a74c48027749/materials-18-02865-g015.jpg
https://cdn.ncbi.nlm.nih.gov/pmc/blobs/8c24/12195176/7dbaaaf8a186/materials-18-02865-g016.jpg
https://cdn.ncbi.nlm.nih.gov/pmc/blobs/8c24/12195176/ad12ac795b4a/materials-18-02865-g017.jpg
https://cdn.ncbi.nlm.nih.gov/pmc/blobs/8c24/12195176/9ba9e18775f9/materials-18-02865-g018.jpg
https://cdn.ncbi.nlm.nih.gov/pmc/blobs/8c24/12195176/d509e4379dbb/materials-18-02865-g019.jpg
https://cdn.ncbi.nlm.nih.gov/pmc/blobs/8c24/12195176/2928744f4bc2/materials-18-02865-g020.jpg
https://cdn.ncbi.nlm.nih.gov/pmc/blobs/8c24/12195176/665dc63859d4/materials-18-02865-g021.jpg
https://cdn.ncbi.nlm.nih.gov/pmc/blobs/8c24/12195176/356baad952b8/materials-18-02865-g001.jpg
https://cdn.ncbi.nlm.nih.gov/pmc/blobs/8c24/12195176/d3f958ad2cff/materials-18-02865-g012.jpg
https://cdn.ncbi.nlm.nih.gov/pmc/blobs/8c24/12195176/7020ef57dd3e/materials-18-02865-g013.jpg

相似文献

1
Smart Corrosion Monitoring in AA2055 Using Hidden Markov Models and Electrochemical Noise Signal Processing.利用隐马尔可夫模型和电化学噪声信号处理对AA2055进行智能腐蚀监测
Materials (Basel). 2025 Jun 17;18(12):2865. doi: 10.3390/ma18122865.
2
Cost-effectiveness of using prognostic information to select women with breast cancer for adjuvant systemic therapy.利用预后信息为乳腺癌患者选择辅助性全身治疗的成本效益
Health Technol Assess. 2006 Sep;10(34):iii-iv, ix-xi, 1-204. doi: 10.3310/hta10340.
3
A rapid and systematic review of the clinical effectiveness and cost-effectiveness of paclitaxel, docetaxel, gemcitabine and vinorelbine in non-small-cell lung cancer.对紫杉醇、多西他赛、吉西他滨和长春瑞滨在非小细胞肺癌中的临床疗效和成本效益进行的快速系统评价。
Health Technol Assess. 2001;5(32):1-195. doi: 10.3310/hta5320.
4
Health professionals' experience of teamwork education in acute hospital settings: a systematic review of qualitative literature.医疗专业人员在急症医院环境中团队合作教育的经验:对定性文献的系统综述
JBI Database System Rev Implement Rep. 2016 Apr;14(4):96-137. doi: 10.11124/JBISRIR-2016-1843.
5
A systematic review and economic evaluation of epoetin alpha, epoetin beta and darbepoetin alpha in anaemia associated with cancer, especially that attributable to cancer treatment.促红细胞生成素α、促红细胞生成素β和达比加群酯治疗癌症相关性贫血(尤其是癌症治疗所致贫血)的系统评价与经济学评估
Health Technol Assess. 2007 Apr;11(13):1-202, iii-iv. doi: 10.3310/hta11130.
6
Magnetic resonance perfusion for differentiating low-grade from high-grade gliomas at first presentation.首次就诊时磁共振灌注成像用于鉴别低级别与高级别胶质瘤
Cochrane Database Syst Rev. 2018 Jan 22;1(1):CD011551. doi: 10.1002/14651858.CD011551.pub2.
7
The clinical effectiveness and cost-effectiveness of enzyme replacement therapy for Gaucher's disease: a systematic review.戈谢病酶替代疗法的临床疗效和成本效益:一项系统评价。
Health Technol Assess. 2006 Jul;10(24):iii-iv, ix-136. doi: 10.3310/hta10240.
8
Falls prevention interventions for community-dwelling older adults: systematic review and meta-analysis of benefits, harms, and patient values and preferences.社区居住的老年人跌倒预防干预措施:系统评价和荟萃分析的益处、危害以及患者的价值观和偏好。
Syst Rev. 2024 Nov 26;13(1):289. doi: 10.1186/s13643-024-02681-3.
9
Surveillance of Barrett's oesophagus: exploring the uncertainty through systematic review, expert workshop and economic modelling.巴雷特食管的监测:通过系统评价、专家研讨会和经济模型探索不确定性
Health Technol Assess. 2006 Mar;10(8):1-142, iii-iv. doi: 10.3310/hta10080.
10
The clinical effectiveness and cost-effectiveness of cardiac resynchronisation (biventricular pacing) for heart failure: systematic review and economic model.心脏再同步治疗(双心室起搏)用于心力衰竭的临床疗效及成本效益:系统评价与经济学模型
Health Technol Assess. 2007 Nov;11(47):iii-iv, ix-248. doi: 10.3310/hta11470.

本文引用的文献

1
Electrochemical Noise Analysis: An Approach to the Effectivity of Each Method in Different Materials.电化学噪声分析:一种评估不同材料中各方法有效性的方法。
Materials (Basel). 2024 Aug 12;17(16):4013. doi: 10.3390/ma17164013.
2
HMM-ModE--improved classification using profile hidden Markov models by optimising the discrimination threshold and modifying emission probabilities with negative training sequences.HMM-ModE——通过优化判别阈值并利用负训练序列修改发射概率,使用轮廓隐马尔可夫模型改进分类。
BMC Bioinformatics. 2007 Mar 27;8:104. doi: 10.1186/1471-2105-8-104.
3
Efficient estimation of emission probabilities in profile hidden Markov models.
轮廓隐马尔可夫模型中发射概率的有效估计
Bioinformatics. 2003 Dec 12;19(18):2359-68. doi: 10.1093/bioinformatics/btg328.