Suppr超能文献

华北平原冬小麦对长期水氮耦合的生长及生物量分配响应

Growth and Biomass Distribution Responses of to Long-Term Water-Nitrogen Coupling in the North China Plain.

作者信息

Wang Yafei, Liu Juntao, He Yuelin, Zhu Wei, Jia Liming, Xi Benye

机构信息

Key Laboratory of Silviculture and Conservation of the Ministry of Education, College of Forestry, Beijing Forestry University, Beijing 100083, China.

Guangdong Provincial Key Laboratory of Silviculture, Protection and Utilization/Guangdong Academy of Forestry, Guangzhou 510520, China.

出版信息

Plants (Basel). 2025 Jun 14;14(12):1833. doi: 10.3390/plants14121833.

Abstract

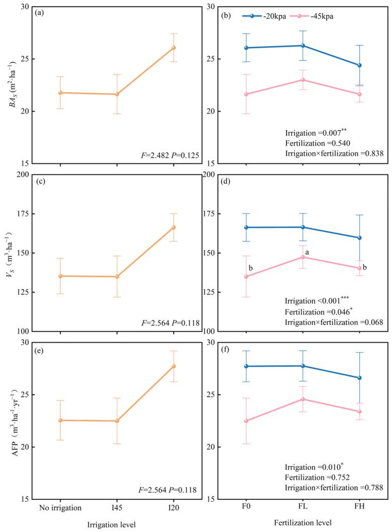
From 2016 to 2021, a field experiment was conducted in the North China Plain to study the long-term effects of drip irrigation and nitrogen coupling on the growth, biomass allocation, and irrigation water and fertilizer use efficiency of short-rotation triploid plantations. The experiment adopted a completely randomized block design, with one control (CK) and six water-nitrogen coupling treatments (IF, two irrigation levels × three nitrogen application levels). Data analysis was conducted using ANOVA, regression models, Spearman's correlation analysis, and path analysis. The results showed that the effects of water and nitrogen treatments on the annual increment of diameter at breast height (ΔDBH), annual increment of tree height (Δ), basal area of the stand (), stand volume (), and annual forest productivity (AFP) in short-rotation forestry exhibited a significant stand age effect. The coupling of water and nitrogen significantly promoted the DBH growth of 2-year-old trees ( < 0.05), but after 3 years of age, the promoting effect of water and nitrogen coupling gradually diminished. In the 6th year, the above-ground biomass of was 5.16 to 6.62 times the under-ground biomass under different treatments. Compared to the I45 treatment (irrigation at soil water potential of -45 kPa), the irrigation water use efficiency of the I20 treatment (-20 kPa) decreased by 88.79%. PFP showed a downward trend with the increase in fertilization amount, dropping by 130.95% and 132.86% under the I20 and I45 irrigation levels. Path analysis indicated that irrigation had a significant effect on the , , AFP, and TGB of 6-year-old ( < 0.05), with the universality of irrigation being higher than that of fertilization. It is recommended to implement phased water and fertilizer management for plantations in the North China Plain. During 1-3 years of tree age, adequate irrigation should be ensured and nitrogen fertilizer application increased. Between the ages of 4 and 6, irrigation and fertilization should be ceased to reduce resource wastage. This work provides scientific guidance for water and fertilizer management in short-rotation plantations.

摘要

2016年至2021年,在中国华北平原进行了一项田间试验,以研究滴灌与氮肥耦合对短轮伐期三倍体人工林生长、生物量分配以及灌溉水和肥料利用效率的长期影响。该试验采用完全随机区组设计,设置1个对照(CK)和6种水氮耦合处理(IF,2个灌溉水平×3个施氮水平)。数据分析采用方差分析、回归模型、Spearman相关性分析和通径分析。结果表明,水氮处理对短轮伐期林业中胸径年增量(ΔDBH)、树高年增量(Δ)、林分断面积()、林分蓄积量()和年森林生产力(AFP)的影响表现出显著的林龄效应。水氮耦合显著促进了2年生树木的胸径生长(<0.05),但3年生后,水氮耦合的促进作用逐渐减弱。在第6年,不同处理下地上生物量是地下生物量的5.16至6.62倍。与I45处理(土壤水势为-45 kPa时灌溉)相比,I20处理(-20 kPa)的灌溉水利用效率降低了88.79%。PFP随施肥量增加呈下降趋势,在I20和I45灌溉水平下分别下降了130.95%和132.86%。通径分析表明,灌溉对6年生的、、AFP和TGB有显著影响(<0.05),灌溉的普遍性高于施肥。建议对华北平原的人工林实施分阶段水肥管理。在树木1至3年生期间,应确保充足灌溉并增加氮肥施用量。在4至6年生期间,应停止灌溉和施肥以减少资源浪费。本研究为短轮伐期人工林的水肥管理提供了科学指导。

https://cdn.ncbi.nlm.nih.gov/pmc/blobs/fee6/12196843/2a83a8964e84/plants-14-01833-g001.jpg

文献AI研究员

20分钟写一篇综述,助力文献阅读效率提升50倍。

立即体验

用中文搜PubMed

大模型驱动的PubMed中文搜索引擎

马上搜索

文档翻译

学术文献翻译模型,支持多种主流文档格式。

立即体验