Suppr超能文献

遗传和密码子使用分析揭示了汉城病毒的进化。

Genetic and codon usage analyses reveal the evolution of the seoul virus.

作者信息

Wei Yamei, Cai Yanan, Han Xu, Han Zhanying, Zhang Yanbo, Xu Yonggang, Jiang Caixiao, Li Qi

机构信息

School of Public Health, Hebei Medical University, Shijiazhuang, Hebei, China.

Institute for Viral Disease Control and Prevention, Hebei Provincial Centre for Disease Control and Prevention, Shijiazhuang, Hebei, China.

出版信息

Front Genet. 2025 Jun 12;16:1544577. doi: 10.3389/fgene.2025.1544577. eCollection 2025.

Abstract

INTRODUCTION

Seoul virus (, SEOV), a member of the , causes hemorrhagic fever with renal syndrome (HFRS) through rodent hosts. However, its molecular evolutionary dynamics and codon usage patterns remain poorly understood.

METHODS

This study integrated coding sequences from GenBank and previously acquired SEOV strains to systematically analyze genetic evolution and codon usage bias.

RESULTS

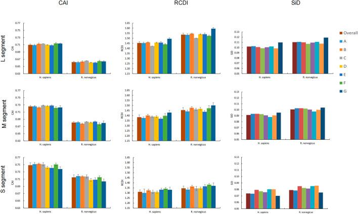
It revealed that SEOV evolved seven clades (A-G) with distinct amino acid variation sites and geographic clustering. Recombination events were identified during evolution, alongside purifying and positive selection on specific sites (e.g., codon 259 in the S segment and codon 11 in the M segment). The three viral segments (L, M, and S) exhibited weak codon usage bias, predominantly driven by natural selection, with host adaptation significantly influencing evolutionary trajectories. The S segment demonstrated the strongest pathogenicity due to its closer codon usage alignment with ( and (), whereas the L segment showed the lowest host adaptation. Divergent codon preferences among clades highlighted adaptive strategies in host-virus interactions.

CONCLUSION

These findings elucidate the evolutionary mechanisms of SEOV and provide a theoretical foundation for live attenuated vaccine design and region-specific viral control strategies.

摘要

引言

汉城病毒(SEOV)是汉坦病毒属的成员之一,通过啮齿动物宿主引发肾综合征出血热(HFRS)。然而,其分子进化动力学和密码子使用模式仍知之甚少。

方法

本研究整合了来自GenBank的编码序列和先前获得的SEOV毒株,以系统分析遗传进化和密码子使用偏好。

结果

研究发现SEOV进化出七个分支(A - G),具有不同的氨基酸变异位点和地理聚类。在进化过程中识别出重组事件,同时在特定位点(例如S片段中的密码子259和M片段中的密码子11)存在纯化选择和正选择。病毒的三个片段(L、M和S)表现出较弱的密码子使用偏好,主要由自然选择驱动,宿主适应性对进化轨迹有显著影响。S片段因其密码子使用与人类宿主(人和)更接近而表现出最强的致病性,而L片段显示出最低的宿主适应性。各分支之间不同的密码子偏好突出了宿主 - 病毒相互作用中的适应性策略。

结论

这些发现阐明了SEOV的进化机制,为减毒活疫苗设计和区域特异性病毒控制策略提供了理论基础。

https://cdn.ncbi.nlm.nih.gov/pmc/blobs/e089/12198216/215f94a69f91/fgene-16-1544577-g001.jpg

文献AI研究员

20分钟写一篇综述,助力文献阅读效率提升50倍。

立即体验

用中文搜PubMed

大模型驱动的PubMed中文搜索引擎

马上搜索

文档翻译

学术文献翻译模型,支持多种主流文档格式。

立即体验