Suppr超能文献

一项关于杜仲叶提取物对慢性肾病患者和非慢性肾病患者血压、氧化应激及心钠素(ANP)影响的探索性单臂临床试验。

An Exploratory Single-Arm Clinical Trial on Eucommia Ulmoides Leaf Extract Effects on Blood Pressure, Oxidative Stress, and Atrial Natriuretic Peptide (ANP) in Individuals With and Without Chronic Kidney Disease.

作者信息

Satonaka Hiroshi, Yokoyama Shohei, Ishimitsu Akira, Takahashi Chisato, Rai Tatemitsu, Nagata Daisuke, Ishimitsu Toshihiko, Tojo Akihiro

机构信息

Division of Nephrology, Department of Internal Medicine, Jichi Medical University, 3311-1, Yakushi-ji, Shimotsuke-shi, Tochigi 329-0498, Japan.

Department of Nephrology and Hypertension, Dokkyo Medical University, 880, Kitakobayashi, Mibu, Shimotsuga-gun, Tochigi 321-0293, Japan.

出版信息

Int J Nephrol. 2025 Jun 19;2025:5598055. doi: 10.1155/ijne/5598055. eCollection 2025.

Abstract

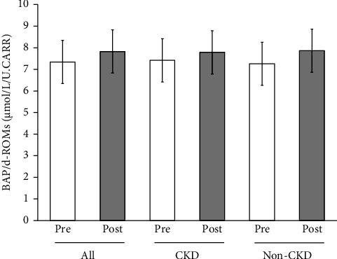
Eucommia ulmoides (Tochu) has been shown to possess a variety of beneficial effects on profiles affecting the onset of lifestyle- or aging-related diseases, such as hypertension, diabetes, dyslipidemia, or obesity. This exploratory single-arm clinical study was conducted on a total of 17 participants including those with mild chronic kidney disease (CKD) ( = 9), who were administered a tablet product containing Tochu leaf extract for a short period (median: 33 days), to investigate its effects on blood pressure or related clinical markers. Mean systolic blood pressure (SBP) of all the participants significantly decreased from 128.3 ± 12.3 mmHg at the start to 123.8 ± 10.2 mmHg at the end of the administration ( < 0.05). Analysis of CKD patients alone, however, revealed that SBP, to a greater extent, decreased from 130.7 ± 12.9 mmHg to 121.2 ± 10.7 mmHg ( < 0.01), while the change in non-CKD patients was not significant. Furthermore, SBP decrease in CKD patients with hypertension ( = 7) alone was also significant and comparable. Mean blood oxidative stress index of all participants was decreased from 300.2 ± 76.7 U.CARR to 285.9 ± 63.0 U.CARR ( < 0.05), while median atrial natriuretic peptide (ANP) of all the participants was increased from 8.1 (5.0-9.6) pg/mL to 8.8 (5.8-12.1) pg/mL ( < 0.05). Our findings suggested that Tochu-derived components may have potential therapeutic benefit at earlier stages in CKD, which could fill the gaps in currently underserved opportunities for prevention or intervention. UMIN Clinical Trials Registry: UMIN000050727.

摘要

杜仲已被证明对影响生活方式或衰老相关疾病(如高血压、糖尿病、血脂异常或肥胖症)发病的各项指标具有多种有益作用。本探索性单臂临床研究共纳入了17名参与者,包括轻度慢性肾脏病(CKD)患者(n = 9),给予他们服用含杜仲叶提取物的片剂产品,为期较短(中位数:33天),以研究其对血压或相关临床指标的影响。所有参与者的平均收缩压(SBP)在给药开始时为128.3±12.3 mmHg,给药结束时显著降至123.8±10.2 mmHg(P < 0.05)。然而,单独分析CKD患者发现,SBP在更大程度上从130.7±12.9 mmHg降至121.2±10.7 mmHg(P < 0.01),而非CKD患者的变化不显著。此外,仅高血压CKD患者(n = 7)的SBP下降也很显著且具有可比性。所有参与者的平均血液氧化应激指数从300.2±76.7 U.CARR降至285.9±63.0 U.CARR(P < 0.05),而所有参与者的中位数心房利钠肽(ANP)从8.1(5.0 - 9.6)pg/mL增至8.8(5.8 - 12.1)pg/mL(P < 0.05)。我们的研究结果表明,杜仲衍生成分可能在CKD的早期阶段具有潜在治疗益处,这可以填补目前预防或干预方面服务不足的空白。UMIN临床试验注册编号:UMIN000050727。

https://cdn.ncbi.nlm.nih.gov/pmc/blobs/5079/12202076/486f296de4b0/IJN2025-5598055.001.jpg

文献检索

告别复杂PubMed语法,用中文像聊天一样搜索,搜遍4000万医学文献。AI智能推荐,让科研检索更轻松。

立即免费搜索

文件翻译

保留排版,准确专业,支持PDF/Word/PPT等文件格式,支持 12+语言互译。

免费翻译文档

深度研究

AI帮你快速写综述,25分钟生成高质量综述,智能提取关键信息,辅助科研写作。

立即免费体验