Wang Chengna, Ma Wenxin, Qin Lingling, Wu Lili, Liu Tonghua
The Second Clinical Medical College of Beijing University of Chinese Medicine, Dongfang Hospital of Beijing University of Chinese Medicine, Beijing, China.
Key Laboratory of Health Cultivation of Traditional Chinese Medicine, the Ministry of Education, Beijing University of Chinese Medicine, Beijing, China.
Front Pharmacol. 2025 Jun 13;16:1528506. doi: 10.3389/fphar.2025.1528506. eCollection 2025.
To assess Xiaoyao-san (XYS) preparations' effectiveness in treating Hashimoto's thyroiditis.
Eight databases were searched for randomized controlled trials (RCTs) comparing XYS preparations to a low-iodine diet (LID), selenium yeast (SY), levothyroxine (LT4), or (OS) for HT treatment. The datasets from inception to September 2024. Two reviewers independently evaluated literature and research biases. Meta-analysis was done with Revman 5.4. The GRADE technique assessed evidence reliability. Robustness was assessed using sensitivity and trial sequential analysis (TSA).
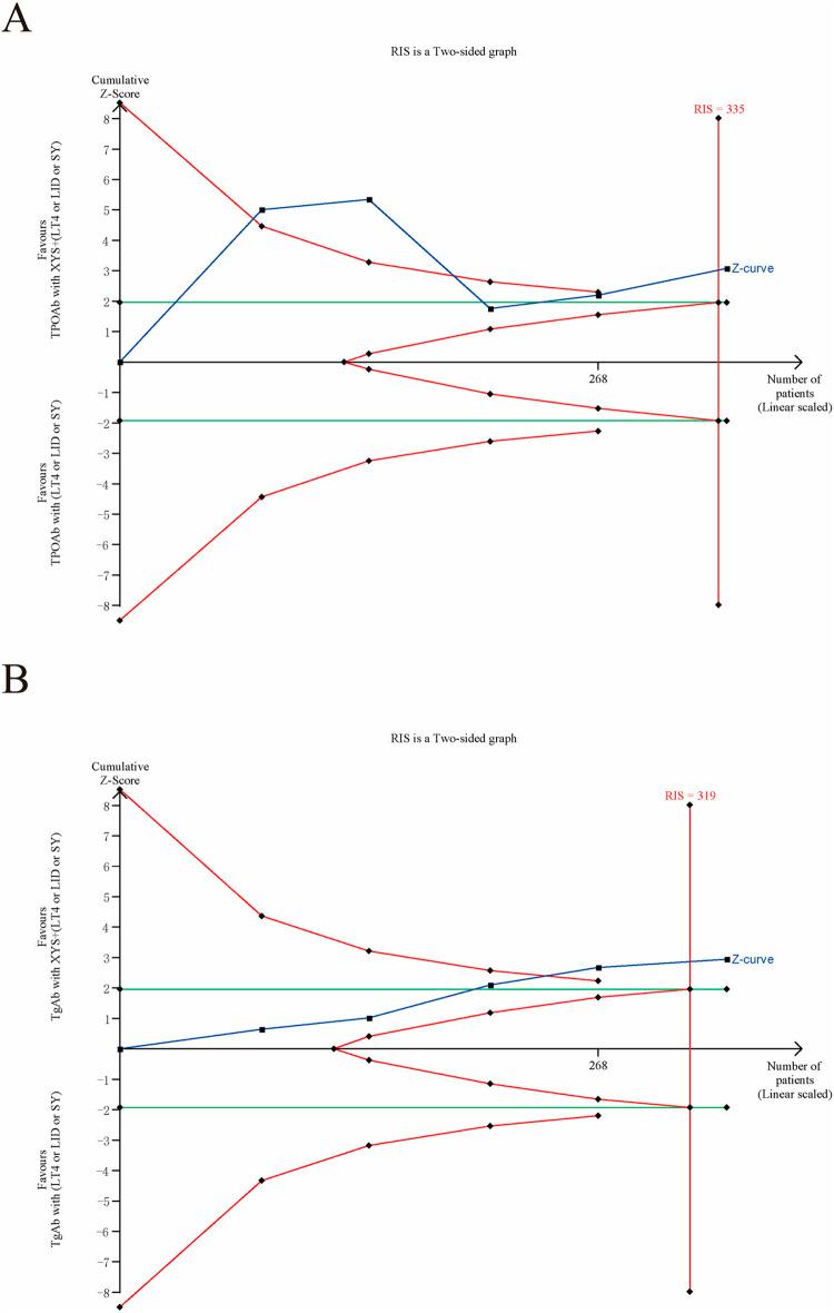
This study analyzed seven randomized controlled trials involving 612 patients. Meta-analysis demonstrated that XYS preparations significantly reduced TPOAb levels [SMD = -0.74, 95% CI (-1.02, -0.46), < 0.00001]. Combining LT4 with XYS preparations resulted in greater TPOAb reduction compared to LT4 alone [SMD = -0.77, 95% CI (-1.06, -0.47), < 0.00001] and was more effective in lowering TgAb levels [SMD = -0.66, 95% CI (-1.05, -0.26), = 0.001]. XYSJW outperformed OS in reducing TgAb [SMD = -0.35, 95% CI (-0.58, -0.10), = 0.005]. Four XYS preparations (XY, HHXY, GQXY, and DZXY) increased FT3 and FT4 levels [SMD = 0.13, 95% CI (0.01, 0.61), = 0.04; SMD = 0.58, 95% CI (0.12, 1.04), = 0.01] and decreased TSH [SMD = -0.76, 95% CI (-0.98, -0.54), < 0.00001]. Subgroup analysis indicated XY significantly improved FT3 and FT4 levels, but XYS preparations combined with LT4 did not enhance FT3/FT4 restoration. XYSJW also did not reduce TSH more effectively than OS. Evidence quality was low or very low. TSA confirmed the pooled effect estimates, with cumulative z-curves for TPOAb, TgAb, and TSH surpassing the benefit threshold.
Combination therapy with XYS preparations and LT4 may reduce TPOAb, TgAb, and TSH levels in HT patients. XY combined with LID or SY therapy is more effective at restoring FT3 and FT4 levels. While XYSJW outperforms OS preparations in lowering TgAb levels, it may not surpass OS in restoring thyroid hormone levels. Most studies reviewed are of low quality. XYS preparations appear to modulate cytokines by targeting immune markers and reducing inflammation, but their safety profile remains unclear, requiring further robust evidence.
clinicaltrials.gov, identifier CRD42023472233.
评估逍遥散(XYS)制剂治疗桥本甲状腺炎的有效性。
检索八个数据库,查找比较XYS制剂与低碘饮食(LID)、硒酵母(SY)、左甲状腺素(LT4)或安慰剂(OS)治疗桥本甲状腺炎的随机对照试验(RCT)。数据集涵盖从起始至2024年9月。两名评价者独立评估文献和研究偏倚。使用Revman 5.4进行荟萃分析。采用GRADE技术评估证据可靠性。使用敏感性分析和试验序贯分析(TSA)评估稳健性。
本研究分析了7项涉及612例患者的随机对照试验。荟萃分析表明,XYS制剂显著降低TPOAb水平[标准化均数差(SMD)=-0.74,95%置信区间(CI)(-1.02,-0.46),P<0.00001]。与单独使用LT4相比,LT4联合XYS制剂能更显著降低TPOAb水平[SMD=-0.77,95%CI(-1.06,-0.47),P<0.00001],且在降低TgAb水平方面更有效[SMD=-0.66,95%CI(-1.05,-0.26),P=0.001]。逍遥丸(XYSJW)在降低TgAb方面优于安慰剂[SMD=-0.35,95%CI(-0.58,-0.10),P=0.005]。四种XYS制剂(逍遥丸(XY)、和黄逍遥丸(HHXY)、桂附逍遥丸(GQXY)和丹栀逍遥丸(DZXY))可提高FT3和FT4水平[SMD=0.13,95%CI(0.01,0.61),P=0.04;SMD=0.58,95%CI(0.12,1.04),P=0.01]并降低TSH水平[SMD=-0.76,95%CI(-0.98,-0.54),P<0.00001]。亚组分析表明,XY显著提高FT3和FT4水平,但XYS制剂联合LT4并未增强FT3/FT4的恢复。XYSJW在降低TSH方面也不比OS更有效。证据质量低或非常低。TSA证实了汇总效应估计值,TPOAb、TgAb和TSH的累积z曲线超过了获益阈值。
XYS制剂与LT4联合治疗可能降低桥本甲状腺炎患者的TPOAb、TgAb和TSH水平。XY联合LID或SY治疗在恢复FT3和FT4水平方面更有效。虽然XYSJW在降低TgAb水平方面优于OS制剂,但在恢复甲状腺激素水平方面可能不超过OS。大多数纳入综述的研究质量较低。XYS制剂似乎通过靶向免疫标志物和减轻炎症来调节细胞因子,但其安全性尚不清楚,需要进一步确凿的证据。
clinicaltrials.gov,标识符CRD42023472233