Suppr超能文献

颈动脉斑块的超高分辨率和双能计算机断层扫描通过新型容积分析区分有症状和无症状患者。

Ultra-high-resolution and dual-energy computed tomography of carotid artery plaques differentiate symptomatic and asymptomatic patients by novel volumetric analysis.

作者信息

Macharzina Roland-Richard, Stemmler Simon, Vach Werner, Winker Thomas, Taron Jana, Schlett Christopher L, Weinbeck Michael, Siepe Matthias, Czerny Martin, Bamberg Fabian, Zeller Thomas, Westermann Dirk, Soschynski Martin

机构信息

Department of Cardiology and Angiology, University Heart Center Freiburg-Bad Krozingen, Bad Krozingen, Germany.

Department of Anesthesiology, University Medical Center Hamburg-Eppendorf, Hamburg, Germany.

出版信息

Interdiscip Cardiovasc Thorac Surg. 2025 Jul 3;40(7). doi: 10.1093/icvts/ivaf158.

Abstract

OBJECTIVES

The indication for carotid endarterectomy (CEA) mainly relies on the degree of stenosis and neurological symptoms. Plaque vulnerability has been associated with stroke risk, but identification on single-energy computed tomography (CT) has yielded heterogeneous results and is not routinely applied to clinical diagnostics. Hence, we intended to analyse CEA specimens for vulnerability features using dual-source CT and correlate these features with the presence of preprocedural symptoms.

METHODS

CT was performed on 187 carotid plaque specimens using ultra-high-resolution and dual-energy imaging on a dual-source scanner. Plaques were separated into calcified versus non-calcified volumes and analysed concerning HU-density, calcifications and volumetric dual-energy indices (DEIs). Comparative statistical analysis of plaque characteristics was performed with respect to the presence of neurological symptoms.

RESULTS

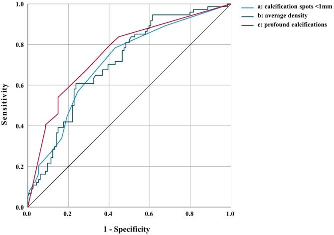
The degree of stenosis of symptomatic and asymptomatic plaques was indifferent (69.2 ± 12.3% vs 66.3 ± 13.7%). The highest diagnostic accuracies were obtained by the % calcified volume (AUC 0.63 (0.54-0.71)), average whole plaque HU (AUC 0.71 (0.64-0.79)), profound calcification (AUC 0.74 (0.66-0.81)), calcification spots <1 mm (AUC 0.71 (0.63-0.79)) and spotty calcification (AUC 0.74 (0.66-0.82)). The diagnostic accuracy for symptomatic plaques was insignificant using average non-calcified plaque HU (AUC 0.59 (0.48-0.65)), but significant using average non-calcified plaque DEI (AUC 0.66 (0.58-0.74)).

CONCLUSIONS

Symptomatic plaques were identified best by measuring density of the whole, calcified or non-calcified plaque and via spotty, profoundly localized and less dense calcification. A volumetric DEI identifies symptomatic plaques with non-calcified plaque characteristics more accurately than single-energy CT. Future clinical studies are necessary to confirm these findings in patients.

摘要

目的

颈动脉内膜切除术(CEA)的指征主要取决于狭窄程度和神经症状。斑块易损性与中风风险相关,但在单能计算机断层扫描(CT)上的识别结果不一,且未常规应用于临床诊断。因此,我们旨在使用双源CT分析CEA标本的易损特征,并将这些特征与术前症状的存在情况相关联。

方法

使用双源扫描仪对187个颈动脉斑块标本进行超高分辨率和双能成像CT检查。将斑块分为钙化体积和非钙化体积,并分析其HU密度、钙化情况和体积双能指数(DEIs)。对斑块特征进行比较统计分析,以评估神经症状的存在情况。

结果

有症状和无症状斑块的狭窄程度无差异(69.2±12.3%对66.3±13.7%)。钙化体积百分比(AUC 0.63(0.54 - 0.71))、整个斑块平均HU(AUC 0.71(0.64 - 0.79))、深度钙化(AUC 0.74(0.66 - 0.81))、<1mm钙化斑(AUC 0.71(0.63 - 0.79))和斑点状钙化(AUC 0.74(0.66 - 0.82))的诊断准确性最高。使用非钙化斑块平均HU诊断有症状斑块的准确性不显著(AUC 0.59(0.48 - 0.65)),但使用非钙化斑块平均DEI诊断准确性显著(AUC 0.66(0.58 - 0.74))。

结论

通过测量整个、钙化或非钙化斑块的密度以及斑点状、深度局限和密度较低的钙化情况,能最好地识别有症状斑块。体积DEI比单能CT更准确地识别具有非钙化斑块特征的有症状斑块。未来有必要进行临床研究以在患者中证实这些发现。

https://cdn.ncbi.nlm.nih.gov/pmc/blobs/8fb9/12270255/04e27344f5d7/ivaf158f5.jpg

文献检索

告别复杂PubMed语法,用中文像聊天一样搜索,搜遍4000万医学文献。AI智能推荐,让科研检索更轻松。

立即免费搜索

文件翻译

保留排版,准确专业,支持PDF/Word/PPT等文件格式,支持 12+语言互译。

免费翻译文档

深度研究

AI帮你快速写综述,25分钟生成高质量综述,智能提取关键信息,辅助科研写作。

立即免费体验