Ali Haider, Riaz Laeeq, Malik Bilal Tariq, Shafique Muhammad Farhan, Koziel Slawomir
Electrical and Computer Engineering Department, COMSATS University Islamabad, Park Road, Islamabad, Pakistan.
Faculty of Electronics, Telecommunications, and Informatics, Gdansk University of Technology, 80-233, Gdansk, Poland.
Sci Rep. 2025 Jul 2;15(1):22986. doi: 10.1038/s41598-025-07696-x.
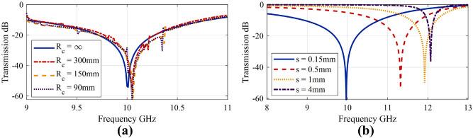
This paper presents a flexible and low-profile frequency selective metasurface (FSMS) resonating at 10 GHz. The proposed FSMS is a single-layer design with stable response under conformal applications. The inter-element capacitance has been enhanced by introducing lumped capacitors. This technique has significantly reduced the size of the unit element (UE) and enabled operation around the 2 GHz frequency band. The proposed capacitive-loaded structure is highly compact with a wideband transmission response featuring 95% fractional bandwidth (1.2 GHz to 3.1 GHz). The proposed FSMS design architecture is easy to reconfigure for any resonant frequency by tuning the inter-element capacitors. Its small size of 5.3 × 5.3 [Formula: see text] enables the design to be used effectively at S, C, and X-band wrapping applications, which is otherwise infeasible with larger UEs. In addition to miniaturization, the design offers high angular stability and polarization insensitivity for different wrapping angles.
本文介绍了一种在10 GHz频率下谐振的灵活且低剖面频率选择超表面(FSMS)。所提出的FSMS是一种单层设计,在共形应用下具有稳定的响应。通过引入集总电容增强了单元间电容。该技术显著减小了单元元件(UE)的尺寸,并实现了在2 GHz频段附近的工作。所提出的电容加载结构高度紧凑,具有95%分数带宽(1.2 GHz至3.1 GHz)的宽带传输响应。所提出的FSMS设计架构通过调整单元间电容,易于针对任何谐振频率进行重新配置。其5.3×5.3[公式:见原文]的小尺寸使该设计能够有效地用于S、C和X波段的包裹应用,而对于较大的UE来说,这在其他情况下是不可行的。除了小型化之外,该设计还为不同的包裹角度提供了高角度稳定性和极化不敏感性。