• 文献检索
  • 文档翻译
  • 深度研究
  • 学术资讯
  • Suppr Zotero 插件Zotero 插件
  • 邀请有礼
  • 套餐&价格
  • 历史记录
应用&插件
Suppr Zotero 插件Zotero 插件浏览器插件Mac 客户端Windows 客户端微信小程序
定价
高级版会员购买积分包购买API积分包
服务
文献检索文档翻译深度研究API 文档MCP 服务
关于我们
关于 Suppr公司介绍联系我们用户协议隐私条款
关注我们

Suppr 超能文献

核心技术专利:CN118964589B侵权必究
粤ICP备2023148730 号-1Suppr @ 2026

文献检索

告别复杂PubMed语法,用中文像聊天一样搜索,搜遍4000万医学文献。AI智能推荐,让科研检索更轻松。

立即免费搜索

文件翻译

保留排版,准确专业,支持PDF/Word/PPT等文件格式,支持 12+语言互译。

免费翻译文档

深度研究

AI帮你快速写综述,25分钟生成高质量综述,智能提取关键信息,辅助科研写作。

立即免费体验

通过对映选择性钴催化实现炔烃与环丁烯的路径发散偶联。

Pathway-divergent coupling of alkynes and cyclobutenes through enantioselective cobalt catalysis.

作者信息

Zhang Jiwu, Wu Meng, Zhang Zhihan, Chong Qinglei, Meng Fanke

机构信息

State Key Laboratory of Organometallic Chemistry, Center for Excellence in Molecular Synthesis, Shanghai Institute of Organic Chemistry, University of Chinese Academy of Sciences, Shanghai, China.

College of Chemistry, Central China Normal University, Wuhan, Hubei, China.

出版信息

Nat Commun. 2025 Jul 1;16(1):5995. doi: 10.1038/s41467-025-61019-2.

DOI:10.1038/s41467-025-61019-2
PMID:40595530
原文链接:https://pmc.ncbi.nlm.nih.gov/articles/PMC12216193/
Abstract

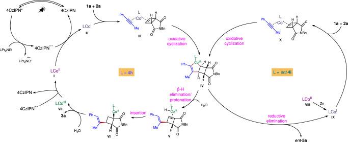
Development of catalytic enantioselective transformations through divergent pathways from a single set of starting materials provides one of the most straightforward and efficient strategies for rapid establishment of a library of molecules in chemical synthesis and drug discovery. Catalytic reactions that generate enantioenriched cyclobutenes and cyclobutanes which are not only important units in medicinal chemistry, natural products and material science, but also useful intermediates in organic synthesis are of importance in the field of catalysis. Here we report a cobalt-catalyzed protocol for pathway-divergent enantioselective coupling of alkynes and cyclobutenes. Such processes that begin with oxidative cyclization followed by protonation or reductive elimination accurately controlled by ligands produce densely functionalized cyclobutanes and cyclobutenes in up to 95% yield with >98:2 regio- and diastereoselectivity and >99.5:0.5 enantiomeric ratio. Mechanistic studies and DFT calculations reveal that the reaction pathways are manipulated precisely by ligands and elucidate the origin of stereoselectivity.

摘要

通过单一组起始原料的不同途径开发催化对映选择性转化,为在化学合成和药物发现中快速建立分子库提供了最直接有效的策略之一。生成对映体富集的环丁烯和环丁烷的催化反应不仅是药物化学、天然产物和材料科学中的重要单元,也是有机合成中的有用中间体,在催化领域具有重要意义。在此,我们报道了一种钴催化的炔烃与环丁烯的途径发散对映选择性偶联方法。此类过程始于氧化环化,随后进行质子化或还原消除,由配体精确控制,可产生官能团密集的环丁烷和环丁烯,产率高达95%,区域和非对映选择性>98:2,对映体比例>99.5:0.5。机理研究和密度泛函理论计算表明,反应途径由配体精确控制,并阐明了立体选择性的起源。

https://cdn.ncbi.nlm.nih.gov/pmc/blobs/c1a3/12216193/07acd14dcea3/41467_2025_61019_Fig8_HTML.jpg
https://cdn.ncbi.nlm.nih.gov/pmc/blobs/c1a3/12216193/789f211f4df6/41467_2025_61019_Fig1_HTML.jpg
https://cdn.ncbi.nlm.nih.gov/pmc/blobs/c1a3/12216193/c81502e7551e/41467_2025_61019_Fig2_HTML.jpg
https://cdn.ncbi.nlm.nih.gov/pmc/blobs/c1a3/12216193/9adccb7fb0f0/41467_2025_61019_Fig3_HTML.jpg
https://cdn.ncbi.nlm.nih.gov/pmc/blobs/c1a3/12216193/dbf310db1b3b/41467_2025_61019_Fig4_HTML.jpg
https://cdn.ncbi.nlm.nih.gov/pmc/blobs/c1a3/12216193/342b03128632/41467_2025_61019_Fig5_HTML.jpg
https://cdn.ncbi.nlm.nih.gov/pmc/blobs/c1a3/12216193/202d7528402c/41467_2025_61019_Fig6_HTML.jpg
https://cdn.ncbi.nlm.nih.gov/pmc/blobs/c1a3/12216193/04ebe7a1c763/41467_2025_61019_Fig7_HTML.jpg
https://cdn.ncbi.nlm.nih.gov/pmc/blobs/c1a3/12216193/07acd14dcea3/41467_2025_61019_Fig8_HTML.jpg
https://cdn.ncbi.nlm.nih.gov/pmc/blobs/c1a3/12216193/789f211f4df6/41467_2025_61019_Fig1_HTML.jpg
https://cdn.ncbi.nlm.nih.gov/pmc/blobs/c1a3/12216193/c81502e7551e/41467_2025_61019_Fig2_HTML.jpg
https://cdn.ncbi.nlm.nih.gov/pmc/blobs/c1a3/12216193/9adccb7fb0f0/41467_2025_61019_Fig3_HTML.jpg
https://cdn.ncbi.nlm.nih.gov/pmc/blobs/c1a3/12216193/dbf310db1b3b/41467_2025_61019_Fig4_HTML.jpg
https://cdn.ncbi.nlm.nih.gov/pmc/blobs/c1a3/12216193/342b03128632/41467_2025_61019_Fig5_HTML.jpg
https://cdn.ncbi.nlm.nih.gov/pmc/blobs/c1a3/12216193/202d7528402c/41467_2025_61019_Fig6_HTML.jpg
https://cdn.ncbi.nlm.nih.gov/pmc/blobs/c1a3/12216193/04ebe7a1c763/41467_2025_61019_Fig7_HTML.jpg
https://cdn.ncbi.nlm.nih.gov/pmc/blobs/c1a3/12216193/07acd14dcea3/41467_2025_61019_Fig8_HTML.jpg

相似文献

1
Pathway-divergent coupling of alkynes and cyclobutenes through enantioselective cobalt catalysis.通过对映选择性钴催化实现炔烃与环丁烯的路径发散偶联。
Nat Commun. 2025 Jul 1;16(1):5995. doi: 10.1038/s41467-025-61019-2.
2
Cobalt-Catalyzed Regio-, Diastereo-, and Enantioselective Reductive Coupling of Internal Alkynes with Cyclobutenes.钴催化的内炔烃与环丁烯的区域、非对映和对映选择性还原偶联反应
Org Lett. 2025 Jun 27;27(25):6670-6675. doi: 10.1021/acs.orglett.5c01695. Epub 2025 Jun 16.
3
The Role of Anions in Guanidinium-Catalyzed Chiral Cation Ion Pair Catalysis.阴离子在胍催化的手性阳离子离子对催化中的作用
Acc Chem Res. 2025 Jun 30. doi: 10.1021/acs.accounts.5c00283.
4
Fluorinated Radicals in Divergent Synthesis via Photoredox Catalysis.通过光氧化还原催化进行发散合成中的氟化自由基
Acc Chem Res. 2025 Jul 1;58(13):2046-2060. doi: 10.1021/acs.accounts.5c00239. Epub 2025 Jun 11.
5
Signs and symptoms to determine if a patient presenting in primary care or hospital outpatient settings has COVID-19.在基层医疗机构或医院门诊环境中,如果患者出现以下症状和体征,可判断其是否患有 COVID-19。
Cochrane Database Syst Rev. 2022 May 20;5(5):CD013665. doi: 10.1002/14651858.CD013665.pub3.
6
Organic Synthesis Away from Equilibrium: Contrathermodynamic Transformations Enabled by Excited-State Electron Transfer.远离平衡态的有机合成:由激发态电子转移实现的反热力学转变
Acc Chem Res. 2024 Jul 2;57(13):1827-1838. doi: 10.1021/acs.accounts.4c00227. Epub 2024 Jun 21.
7
Factors that impact on the use of mechanical ventilation weaning protocols in critically ill adults and children: a qualitative evidence-synthesis.影响重症成人和儿童机械通气撤机方案使用的因素:一项定性证据综合分析
Cochrane Database Syst Rev. 2016 Oct 4;10(10):CD011812. doi: 10.1002/14651858.CD011812.pub2.
8
Behavioral interventions to reduce risk for sexual transmission of HIV among men who have sex with men.降低男男性行为者中艾滋病毒性传播风险的行为干预措施。
Cochrane Database Syst Rev. 2008 Jul 16(3):CD001230. doi: 10.1002/14651858.CD001230.pub2.
9
Psychological interventions for adults who have sexually offended or are at risk of offending.针对有性犯罪行为或有性犯罪风险的成年人的心理干预措施。
Cochrane Database Syst Rev. 2012 Dec 12;12(12):CD007507. doi: 10.1002/14651858.CD007507.pub2.
10
Direct Reductive Transformation of Amides: From Methodology Development to Applications in Total Synthesis.酰胺的直接还原转化:从方法学开发到全合成中的应用
Acc Chem Res. 2025 Jul 3. doi: 10.1021/acs.accounts.5c00366.

本文引用的文献

1
Photoredox/Cobalt-Catalyzed Chemo-, Regio-, Diastereo- and Enantioselective Reductive Coupling of 1,1-Disubstituted Allenes and Cyclobutenes.光氧化还原/钴催化的1,1-二取代丙二烯与环丁烯的化学、区域、非对映和对映选择性还原偶联反应
Angew Chem Int Ed Engl. 2025 Feb 3;64(6):e202416524. doi: 10.1002/anie.202416524. Epub 2025 Jan 10.
2
Enantioselective synthesis of chiral α,α-dialkyl indoles and related azoles by cobalt-catalyzed hydroalkylation and regioselectivity switch.通过钴催化的氢烷基化反应和区域选择性转换实现手性α,α-二烷基吲哚及相关唑类的对映选择性合成。
Nat Commun. 2024 May 6;15(1):3783. doi: 10.1038/s41467-024-48175-7.
3
Palladium-Catalyzed Divergent Enantioselective Functionalization of Cyclobutenes.
钯催化环丁烯的发散对映选择性官能团化反应
J Am Chem Soc. 2024 May 8;146(18):12691-12701. doi: 10.1021/jacs.4c02215. Epub 2024 Apr 27.
4
Pathway-divergent coupling of 1,3-enynes with acrylates through cascade cobalt catalysis.通过串联钴催化实现1,3-烯炔与丙烯酸酯的路径发散偶联。
Nat Commun. 2024 Apr 23;15(1):3427. doi: 10.1038/s41467-024-47719-1.
5
Hydrogen Source Tuned Regiodivergent Asymmetric Hydroalkylations of 2-Substituted 1,3-Dienes with Aldehydes by Cobalt-Catalysis.钴催化下2-取代1,3-二烯与醛的氢源调控区域发散性不对称氢烷基化反应
Angew Chem Int Ed Engl. 2024 Jun 3;63(23):e202403073. doi: 10.1002/anie.202403073. Epub 2024 May 2.
6
Cobalt-Catalyzed Regiodivergent and Enantioselective Intermolecular Coupling of 1,1-Disubstituted Allenes and Aldehydes.钴催化的 1,1-二取代烯丙基与醛的区域发散和对映选择性分子间偶联。
Angew Chem Int Ed Engl. 2023 May 2;62(19):e202219257. doi: 10.1002/anie.202219257. Epub 2023 Mar 22.
7
Cobalt-Catalyzed Diastereo- and Enantioselective Carbon-Carbon Bond Forming Reactions of Cyclobutenes.钴催化的环丁烯的非对映选择性和对映选择性碳-碳键形成反应。
J Am Chem Soc. 2023 Feb 15;145(6):3588-3598. doi: 10.1021/jacs.2c12475. Epub 2023 Feb 3.
8
Rhodium-Catalyzed Asymmetric Arylation of Cyclobutenone Ketals.铑催化的环丁烯酮缩酮不对称芳基化反应。
Angew Chem Int Ed Engl. 2023 Mar 20;62(13):e202217381. doi: 10.1002/anie.202217381. Epub 2023 Feb 17.
9
Chemodivergent, Regio- and Enantioselective Cycloaddition Reactions between 1,3-Dienes and Alkynes.1,3-二烯与炔烃的化学发散、区域和对映选择性环加成反应。
Angew Chem Int Ed Engl. 2023 Feb 13;62(8):e202216000. doi: 10.1002/anie.202216000. Epub 2023 Jan 16.
10
Regio- and Stereoselective Reductive Coupling of Alkynes and Crotononitrile.炔烃和巴豆腈的区域和立体选择性还原偶联。
J Am Chem Soc. 2022 Dec 21;144(50):23001-23009. doi: 10.1021/jacs.2c10021. Epub 2022 Dec 8.