Wang Jiguang, Zhang Lunxiang, Hassanpouryouzband Aliakbar, Sun Xiang, Liu Yu, Zhao Jiafei, Song Yongchen
Key Laboratory of Ocean Energy Utilization and Energy Conservation of the Ministry of Education, Dalian University of Technology, Dalian, China.
School of GeoSciences, University of Edinburgh, Edinburgh, UK.
Nat Commun. 2025 Jul 1;16(1):5727. doi: 10.1038/s41467-025-60930-y.
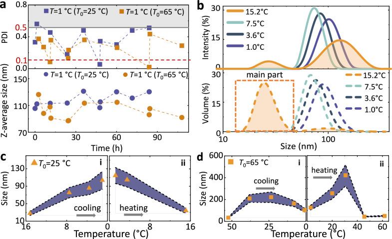
The ability to control molecular transport across immiscible liquid interfaces is critical for applications in manufacturing, biotechnology, and space research. Such transport mechanisms have garnered attention for their intriguing behavior and transformative potential in technology and science for a long time. Here, we demonstrate that unsteady temperature fields drive directional transport of water molecules across the oil-water interface, where weakened hydrogen bonding orients hydroxyl groups toward the oil phase. Through the Marangoni natural convection, water molecules migrate into the oil phase, forming stable nanoscale dispersions. We provide evidence that this transport is tunable via temperature gradients, offering a controllable pathway for mass transfer. This approach offers a potential, scalable, surfactant-free method for nanoemulsions production, with applications in drug delivery and advanced manufacturing. With surface tension as one of the driving forces, this phenomenon is equally valid in microgravity or zero-gravity environments. These findings advance the understanding of Marangoni natural convection and provide new insights into microscale fluid dynamics and spontaneous molecular migration at the oil-water interface.
控制分子在不混溶液体界面间传输的能力对于制造、生物技术和空间研究等应用至关重要。长期以来,这种传输机制因其引人入胜的行为以及在技术和科学领域的变革潜力而备受关注。在此,我们证明非稳态温度场驱动水分子跨油水界面进行定向传输,其中减弱的氢键使羟基朝向油相。通过马兰戈尼自然对流,水分子迁移到油相中,形成稳定的纳米级分散体。我们提供的证据表明,这种传输可通过温度梯度进行调节,为传质提供了一条可控途径。这种方法为纳米乳液的生产提供了一种潜在的、可扩展的、无表面活性剂的方法,可应用于药物递送和先进制造。由于表面张力是驱动力之一,这种现象在微重力或零重力环境中同样成立。这些发现增进了对马兰戈尼自然对流的理解,并为油水界面处的微观流体动力学和自发分子迁移提供了新的见解。