• 文献检索
  • 文档翻译
  • 深度研究
  • 学术资讯
  • Suppr Zotero 插件Zotero 插件
  • 邀请有礼
  • 套餐&价格
  • 历史记录
应用&插件
Suppr Zotero 插件Zotero 插件浏览器插件Mac 客户端Windows 客户端微信小程序
定价
高级版会员购买积分包购买API积分包
服务
文献检索文档翻译深度研究API 文档MCP 服务
关于我们
关于 Suppr公司介绍联系我们用户协议隐私条款
关注我们

Suppr 超能文献

核心技术专利:CN118964589B侵权必究
粤ICP备2023148730 号-1Suppr @ 2026

文献检索

告别复杂PubMed语法,用中文像聊天一样搜索,搜遍4000万医学文献。AI智能推荐,让科研检索更轻松。

立即免费搜索

文件翻译

保留排版,准确专业,支持PDF/Word/PPT等文件格式,支持 12+语言互译。

免费翻译文档

深度研究

AI帮你快速写综述,25分钟生成高质量综述,智能提取关键信息,辅助科研写作。

立即免费体验

非酒精性脂肪性肝病患者全因死亡率和心血管死亡率的应激性高血糖比值呈U形关联:来自美国国家健康与营养检查调查(NHANES)数据库前瞻性队列研究的结果

U-shaped association of the stress hyperglycemia ratio for all-cause and cardiovascular mortality in patients with NAFLD: results from the NHANES database prospective cohort study.

作者信息

Dong Yitian, Ye Jiayuan, Li Hui, Kong Weiliang, Qian Guoqing, Xie Yilian

机构信息

Health Science Center, Ningbo University, Ningbo, Zhejiang, China.

Department of Infectious Diseases, Shangyu People's Hospital Of Shaoxing, Shaoxing, Zhejiang, China.

出版信息

BMC Gastroenterol. 2025 Jul 1;25(1):477. doi: 10.1186/s12876-025-04082-9.

DOI:10.1186/s12876-025-04082-9
PMID:40597658
原文链接:https://pmc.ncbi.nlm.nih.gov/articles/PMC12211404/
Abstract

OBJECTIVE

Stress hyperglycemia ratio (SHR), an index reflecting relative hyperglycemia under stress conditions, has been linked to adverse outcomes in various clinical settings. However, its prognostic significance in individuals with nonalcoholic fatty liver disease (NAFLD) remains poorly understood. This study aimed to examine the association between SHR and mortality risk in adults with NAFLD.

METHODS

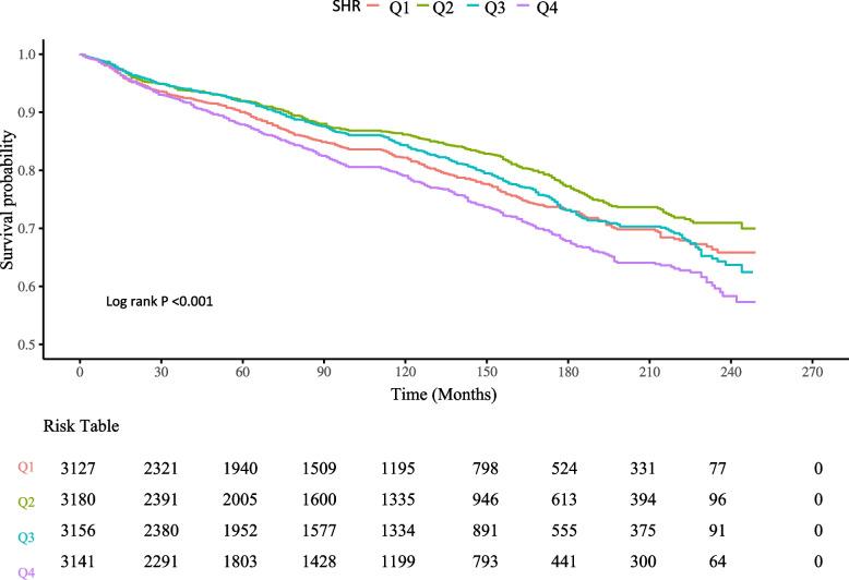
We analyzed 12,604 adults with NAFLD from the NHANES 1999-2018 database. Multivariable Cox proportional hazards models, restricted cubic spline (RCS) analysis, and Fine-Gray competing risk models were employed to evaluate associations between SHR and all-cause and cardiovascular mortality, RESULTS: During an overall mean follow-up time of 99.26 months, a U-shaped relationship was observed between SHR and all-cause mortality in adults aged 40-59 years and ≥ 60 years. Risk increased at both low and high SHR levels, with identified thresholds at 0.89 for middle-aged and 0.94 for older adults. No significant association was found with cardiovascular mortality. Findings were consistent across subgroups.

CONCLUSION

SHR showed a U-shaped association with all-cause mortality in middle-aged and older adults with NAFLD. Monitoring SHR may help identify high-risk individuals and guide clinical management.

摘要

目的

应激性高血糖比率(SHR)是反映应激状态下相对高血糖的一个指标,已被证明与各种临床环境中的不良预后相关。然而,其在非酒精性脂肪性肝病(NAFLD)患者中的预后意义仍知之甚少。本研究旨在探讨SHR与NAFLD成年患者死亡风险之间的关联。

方法

我们分析了1999 - 2018年美国国家健康与营养检查调查(NHANES)数据库中的12604例NAFLD成年患者。采用多变量Cox比例风险模型、限制性立方样条(RCS)分析和Fine - Gray竞争风险模型来评估SHR与全因死亡率和心血管死亡率之间的关联。

结果

在平均99.26个月的总体随访期内,40 - 59岁和≥60岁的成年人中,SHR与全因死亡率之间呈现U型关系。在SHR水平较低和较高时风险均增加,中年人的阈值为0.89,老年人的阈值为0.94。未发现与心血管死亡率有显著关联。各亚组的研究结果一致。

结论

在患有NAFLD的中年和老年成年人中,SHR与全因死亡率呈U型关联。监测SHR可能有助于识别高危个体并指导临床管理。

https://cdn.ncbi.nlm.nih.gov/pmc/blobs/422a/12211404/641c3757c6fe/12876_2025_4082_Fig4_HTML.jpg
https://cdn.ncbi.nlm.nih.gov/pmc/blobs/422a/12211404/cb78f8c1a18b/12876_2025_4082_Fig1_HTML.jpg
https://cdn.ncbi.nlm.nih.gov/pmc/blobs/422a/12211404/68115dc9e3a0/12876_2025_4082_Fig2_HTML.jpg
https://cdn.ncbi.nlm.nih.gov/pmc/blobs/422a/12211404/d8516f2f0e62/12876_2025_4082_Fig3_HTML.jpg
https://cdn.ncbi.nlm.nih.gov/pmc/blobs/422a/12211404/641c3757c6fe/12876_2025_4082_Fig4_HTML.jpg
https://cdn.ncbi.nlm.nih.gov/pmc/blobs/422a/12211404/cb78f8c1a18b/12876_2025_4082_Fig1_HTML.jpg
https://cdn.ncbi.nlm.nih.gov/pmc/blobs/422a/12211404/68115dc9e3a0/12876_2025_4082_Fig2_HTML.jpg
https://cdn.ncbi.nlm.nih.gov/pmc/blobs/422a/12211404/d8516f2f0e62/12876_2025_4082_Fig3_HTML.jpg
https://cdn.ncbi.nlm.nih.gov/pmc/blobs/422a/12211404/641c3757c6fe/12876_2025_4082_Fig4_HTML.jpg

相似文献

1
U-shaped association of the stress hyperglycemia ratio for all-cause and cardiovascular mortality in patients with NAFLD: results from the NHANES database prospective cohort study.非酒精性脂肪性肝病患者全因死亡率和心血管死亡率的应激性高血糖比值呈U形关联:来自美国国家健康与营养检查调查(NHANES)数据库前瞻性队列研究的结果
BMC Gastroenterol. 2025 Jul 1;25(1):477. doi: 10.1186/s12876-025-04082-9.
2
Elevated pulse wave velocity as a marker of arterial stiffness and its association with mortality in US adults.脉搏波速度升高作为动脉僵硬度的标志物及其与美国成年人死亡率的关联。
Sci Rep. 2025 Jul 2;15(1):23026. doi: 10.1038/s41598-025-07198-w.
3
Creatinine-to-cystatin C ratio and all-cause and cardiovascular mortality in U.S. adults with nonalcoholic fatty liver disease: a nationwide cohort study.美国非酒精性脂肪性肝病成年人中肌酐与胱抑素C比值及全因死亡率和心血管死亡率:一项全国性队列研究
Front Nutr. 2025 Jun 3;12:1587757. doi: 10.3389/fnut.2025.1587757. eCollection 2025.
4
Association of neutrophil-to-albumin ratio with all-cause and cardiovascular mortality in community-dwelling individuals with chronic kidney disease: evidence from the NHANES 1999-2018.慢性肾脏病社区居民中性粒细胞与白蛋白比值与全因死亡率和心血管死亡率的关联:来自1999 - 2018年美国国家健康与营养检查调查的证据
BMC Cardiovasc Disord. 2025 Jul 3;25(1):457. doi: 10.1186/s12872-025-04935-x.
5
U-shaped relationship between the non-HDL to HDL cholesterol ratio and mortality in hypertensive individuals in the study from NHANES database.来自美国国家健康与营养检查调查(NHANES)数据库的研究中,高血压患者非高密度脂蛋白与高密度脂蛋白胆固醇比值和死亡率之间的U型关系。
Sci Rep. 2025 Jul 1;15(1):20657. doi: 10.1038/s41598-025-07141-z.
6
Value of the conicity index as an indicator of abdominal obesity in predicting cardiovascular disease and all-cause mortality risk in patients with diabetes based on NHANES data from 1999-2018.基于1999 - 2018年美国国家健康与营养检查调查(NHANES)数据,圆锥指数作为腹部肥胖指标在预测糖尿病患者心血管疾病和全因死亡风险中的价值。
Am J Med Sci. 2025 Jul;370(1):74-82. doi: 10.1016/j.amjms.2025.04.014. Epub 2025 Apr 29.
7
NHANES 2005-2018 data reveal high albumin-bilirubin scores are associated with depression.2005 - 2018年美国国家健康和营养检查调查(NHANES)数据显示,高白蛋白胆红素评分与抑郁症有关。
BMC Psychiatry. 2025 Jul 1;25(1):660. doi: 10.1186/s12888-025-07082-x.
8
Non-linear correlation between the ratio of high-density lipoprotein cholesterol to C-reactive protein and all-cause mortality in adults: an extensive study based on nationwide data.成人高密度脂蛋白胆固醇与C反应蛋白比值和全因死亡率之间的非线性相关性:一项基于全国数据的广泛研究。
Popul Health Metr. 2025 Jul 1;23(1):32. doi: 10.1186/s12963-025-00396-8.
9
Endothelial activation and stress index is a reliable predictor for the prevalence and mortality outcomes of stroke.内皮激活与应激指数是中风患病率和死亡率结果的可靠预测指标。
Sci Rep. 2025 Jul 2;15(1):23285. doi: 10.1038/s41598-025-06595-5.
10
Pan-immune-inflammation value and mortality in the US adult MASLD: a nonlinear NHANES analysis.美国成人非酒精性脂肪性肝炎的全免疫炎症值与死亡率:一项非线性国家健康与营养检查调查分析
BMC Gastroenterol. 2025 Jul 1;25(1):460. doi: 10.1186/s12876-025-04064-x.

本文引用的文献

1
Experimental Models to Investigate PNPLA3 in Liver Steatosis.用于研究PNPLA3在肝脂肪变性中作用的实验模型。
Liver Int. 2025 May;45(5):e70091. doi: 10.1111/liv.70091.
2
The association between stress-induced hyperglycemia ratio and cardiovascular events as well as all-cause mortality in patients with chronic kidney disease and diabetic nephropathy.应激性高血糖比率与慢性肾脏病和糖尿病肾病患者心血管事件及全因死亡率之间的关联。
Cardiovasc Diabetol. 2025 Feb 6;24(1):55. doi: 10.1186/s12933-025-02610-1.
3
Stress hyperglycaemia ratio is an independent predictor of in-hospital heart failure among patients with anterior ST-segment elevation myocardial infarction.
应激性高血糖比值是前壁ST段抬高型心肌梗死患者院内发生心力衰竭的独立预测因素。
BMC Cardiovasc Disord. 2024 Dec 28;24(1):751. doi: 10.1186/s12872-024-04362-4.
4
The association between stress hyperglycemia ratio and nonalcoholic fatty liver disease among U.S. adults: A population-based study.美国成年人应激性高血糖比率与非酒精性脂肪性肝病之间的关联:一项基于人群的研究。
Nutr Metab Cardiovasc Dis. 2025 May;35(5):103780. doi: 10.1016/j.numecd.2024.10.018. Epub 2024 Oct 28.
5
Cardiovascular risk in US adults with nonalcoholic steatohepatitis (NASH) vs. matched non-NASH controls, National Health and Nutrition Examination Survey, 2017-2020.美国非酒精性脂肪性肝炎(NASH)患者与匹配的非 NASH 对照者的心血管风险,全国健康和营养调查,2017-2020 年。
PLoS One. 2024 Aug 27;19(8):e0309617. doi: 10.1371/journal.pone.0309617. eCollection 2024.
6
The prognostic value of the stress hyperglycemia ratio for all-cause and cardiovascular mortality in patients with diabetes or prediabetes: insights from NHANES 2005-2018.应激性高血糖比值对糖尿病或糖尿病前期患者全因和心血管死亡率的预后价值:来自 NHANES 2005-2018 的见解。
Cardiovasc Diabetol. 2024 Feb 28;23(1):84. doi: 10.1186/s12933-024-02172-8.
7
Fatty liver index (FLI): more than a marker of hepatic steatosis.脂肪肝指数(FLI):不仅仅是肝脂肪变性的标志物。
J Physiol Biochem. 2024 Feb;80(1):11-26. doi: 10.1007/s13105-023-00991-z. Epub 2023 Oct 25.
8
Impact of stress hyperglycemia ratio on mortality in patients with critical acute myocardial infarction: insight from american MIMIC-IV and the chinese CIN-II study.应激性高血糖比值对危重症急性心肌梗死患者死亡率的影响:来自美国 MIMIC-IV 和中国 CIN-II 研究的观察。
Cardiovasc Diabetol. 2023 Oct 21;22(1):281. doi: 10.1186/s12933-023-02012-1.
9
The burden of nonalcoholic fatty liver disease (NAFLD) is rapidly growing in every region of the world from 1990 to 2019.从 1990 年到 2019 年,全球各地区非酒精性脂肪性肝病(NAFLD)的负担正在迅速增加。
Hepatol Commun. 2023 Oct 2;7(10). doi: 10.1097/HC9.0000000000000251. eCollection 2023 Oct 1.
10
The impact of the stress hyperglycemia ratio on mortality and rehospitalization rate in patients with acute decompensated heart failure and diabetes.应激性高血糖比值对急性失代偿性心力衰竭合并糖尿病患者死亡率和再住院率的影响。
Cardiovasc Diabetol. 2023 Jul 26;22(1):189. doi: 10.1186/s12933-023-01908-2.