Suppr超能文献

吸血蜱类六角硬蜱揭示了哺乳动物宿主的饮食稳定同位素特征。

The blood-sucking tick Ixodes hexagonus reveals dietary stable isotope signatures of mammalian hosts.

作者信息

Mortier Gaia G, Black Stuart, Kitchener Andrew C, Sainsbury Katherine A, McDonald Robbie A, Hantke Georg, Perotti M Alejandra

机构信息

Department of Geography and Environmental Science, University of Reading, Whiteknights, Reading, England.

National Museums Scotland, Chambers Street, Edinburgh EH1 1JF, Scotland and School of Geosciences, University of Edinburgh, Drummond Street, Edinburgh, United Kingdom.

出版信息

PLoS One. 2025 Jul 3;20(7):e0327245. doi: 10.1371/journal.pone.0327245. eCollection 2025.

Abstract

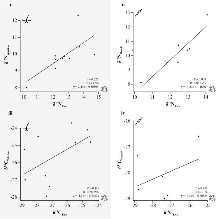
Ticks are obligate haematophagous ('blood-sucking') ectoparasites that are capable of retaining host dietary traces post-moult, providing an opportunity to investigate parasite-host interactions and explore their potential as non-invasive subsampling techniques. However, research on the preservation of biochemical host signatures within whole engorged parasites remains limited. Here, we examine stable isotope ratios of nitrogen (δ15N) and carbon (δ13C) across different tick tissues (exoskeleton vs. blood meal) and between whole ticks and one of their hosts, the European polecat Mustela putorius. Additionally, carbon and nitrogen weight percentages (wt%) are assessed to explore potential biochemical changes linked to blood meal digestion. Our findings showed that the isotopic composition of tick exoskeleton and blood meal differed significantly, with exoskeletons potentially reflecting a previous host. Whole engorged ticks showed a close δ15N relationship to their host, consistent with that of trophic enrichment, while the observed δ13C values were more variable. These findings enhance our understanding of how haematophagous parasites preserve host dietary signatures and, with further research, could support their use as a valuable alternative to invasive sampling methods, particularly when destructive sampling is not feasible.

摘要

蜱是专性吸血的体外寄生虫,能够在蜕皮后保留宿主饮食痕迹,为研究寄生虫与宿主的相互作用以及探索其作为非侵入性抽样技术的潜力提供了机会。然而,关于完整饱血寄生虫体内生化宿主特征保存的研究仍然有限。在这里,我们研究了不同蜱组织(外骨骼与血餐)之间以及完整蜱与其宿主之一欧洲艾鼬(Mustela putorius)之间氮(δ15N)和碳(δ13C)的稳定同位素比率。此外,还评估了碳和氮的重量百分比(wt%),以探索与血餐消化相关的潜在生化变化。我们的研究结果表明,蜱外骨骼和血餐的同位素组成存在显著差异,外骨骼可能反映了先前的宿主。完整饱血的蜱与宿主之间呈现出密切的δ15N关系,这与营养级富集一致,而观察到的δ13C值则更具变异性。这些发现增进了我们对吸血寄生虫如何保存宿主饮食特征的理解,并且通过进一步研究,可能支持将其用作侵入性抽样方法的有价值替代方法,特别是在无法进行破坏性抽样的情况下。

https://cdn.ncbi.nlm.nih.gov/pmc/blobs/b468/12225836/0baba51cbf0b/pone.0327245.g001.jpg

文献检索

告别复杂PubMed语法,用中文像聊天一样搜索,搜遍4000万医学文献。AI智能推荐,让科研检索更轻松。

立即免费搜索

文件翻译

保留排版,准确专业,支持PDF/Word/PPT等文件格式,支持 12+语言互译。

免费翻译文档

深度研究

AI帮你快速写综述,25分钟生成高质量综述,智能提取关键信息,辅助科研写作。

立即免费体验